



Запись на курс подготовки к ЕГЭ 2026
при создании подборки использовались материалы И.С. Ермолаева из ВК сообщества examtop
При сгорании 17,5 г органического вещества получили 28 л (н.у.) углекислого газа и 22,5 мл воды. Плотность паров этого вещества (н.у.) составляет 3,125 г/л. Известно также, что это вещество было получено в результате дегидратации третичного спирта.
На основании данных условия задания:
1) проведите необходимые вычисления (указывайте единицы измерения искомых физических величин) и установите молекулярную формулу органического вещества;
2) составьте возможную структурную формулу этого вещества, которая однозначно отражает порядок связи атомов в его молекуле
3) Напишите уравнение реакции получения данного вещества дегидратацией соответствующего третичного спирта.
Дано:
m(вещества) = 17,5 г
V(CO2) = 28 л (н.у.)
m(H2O) = 22,5 г
ρ(паров) = 3,125 г/л
M(вещества) = ρ · Vm = 3,125 г/л · 22,4 л/моль = 70 г/моль
n(CO2) = 28 л / 22,4 л/моль = 1,25 моль
n(H2O) = 22,5 г / 18 г/моль = 1,25 моль
n(C) = n(CO2) = 1,25 моль
n(H) = 2·n(H2O) = 2·1,25 = 2,5 моль
m(C) = 1,25 моль · 12 г/моль = 15 г
m(H) = 2,5 моль · 1 г/моль = 2,5 г
m(O) = 17,5 г — 15 г — 2,5 г = 0 г
n(C) : n(H) = 1,25 : 2,5 = 1 : 2
Простейшая формула: CH2 (M = 14 г/моль)
Найдем во сколько раз истинная молярная масса вещества больше, чем чем молярная масса простейшей:
70/14 = 5, следовательно:
Молекулярная формула: C5H10
Структурная формула:
(CH3)2C=CH-CH3
При сгорании 20 г органического вещества нециклического строения получили 66 г углекислого газа и 18 мл воды. Известно, что 1 моль этого органического вещества в присутствии катализатора присоединяет только 1 моль воды и данное вещество реагирует с аммиачным раствором оксида серебра.
На основании данных условия задания:
1) проведите необходимые вычисления (указывайте единицы измерения искомых физических величин) и установите молекулярную формулу органического вещества;
2) составьте возможную структурную формулу этого вещества, которая однозначно отражает порядок связи атомов в его молекуле;
3) напишите уравнение реакции данного вещества с аммиачным раствором оксида серебра.
Дано:
m(вещества) = 20 г
m(CO2) = 66 г
m(H2O) = 18 г
n(CO2) = 66 г / 44 г/моль = 1,5 моль
n(H2O) = 18 г / 18 г/моль = 1 моль
n(C) = n(CO2) = 1,5 моль
n(H) = 2·n(H2O) = 2·1 = 2 моль
m(C) = 1,5 моль · 12 г/моль = 18 г
m(H) = 2 моль · 1 г/моль = 2 г
Проверка: 18 + 2 = 20 г
n(C) : n(H) = 1,5 : 2 = 3 : 4
Простейшая формула: C3H4
Молекулярная формула: C3H4
Структурная формула:
CH3-C≡CH
Уравнение реакции:
CH3-C≡CH + [Ag(NH3)2]OH → CH3-C≡CAg↓ + NH3 + H2O
При сгорании 27,6 г органического вещества получили 26,88 л (н.у.) углекислого газа и 32,4 г воды. Известно, что это вещество реагирует с оксидом меди(II).
На основании данных условия задания:
1) проведите необходимые вычисления (указывайте единицы измерения искомых физических величин) и установите молекулярную формулу органического вещества;
2) составьте возможную структурную формулу этого вещества, которая однозначно отражает порядок связи атомов в его молекуле;
3) напишите уравнение реакции данного вещества с оксидом меди(II).
Дано:
m(вещества) = 27,6 г
V(CO2) = 26,88 л (н.у.)
m(H2O) = 32,4 г
n(CO2) = 26,88 л / 22,4 л/моль = 1,2 моль
n(H2O) = 32,4 г / 18 г/моль = 1,8 моль
n(C) = n(CO2) = 1,2 моль
n(H) = 2·n(H2O) = 2·1,8 = 3,6 моль
m(C) = 1,2 моль · 12 г/моль = 14,4 г
m(H) = 3,6 моль · 1 г/моль = 3,6 г
m(O) = 27,6 г — 14,4 г — 3,6 г = 9,6 г
n(O) = 9,6 г / 16 г/моль = 0,6 моль
n(C) : n(H) : n(O) = 1,2 : 3,6 : 0,6 = 2 : 6 : 1
Простейшая формула: C2H6O
Молекулярная формула: C2H6O
Структурная формула:
CH3-CH2-OH
Уравнение реакции:
CH3-CH2-OH + CuO → CH3-CHO + Cu + H2O
При сгорании 9 г органического вещества получили 10,08 л (н.у.) углекислого газа и 10,8 г воды. Известно, что это вещество может быть получено из соответствующего альдегида в одну стадию.
На основании данных условия задания:
1) проведите необходимые вычисления (указывайте единицы измерения искомых физических величин) и установите молекулярную формулу органического вещества;
2) составьте возможную структурную формулу этого вещества, которая однозначно отражает порядок связи атомов в его молекуле
3) Напишите уравнение реакции получения данного вещества из соответствующего альдегида.
Дано:
m(вещества) = 9 г
V(CO2) = 10,08 л (н.у.)
m(H2O) = 10,8 г
n(CO2) = 10,08 л / 22,4 л/моль = 0,45 моль
n(H2O) = 10,8 г / 18 г/моль = 0,6 моль
n(C) = n(CO2) = 0,45 моль
n(H) = 2·n(H2O) = 2·0,6 = 1,2 моль
m(C) = 0,45 моль · 12 г/моль = 5,4 г
m(H) = 1,2 моль · 1 г/моль = 1,2 г
m(O) = 9 г — 5,4 г — 1,2 г = 2,4 г
n(O) = 2,4 г / 16 г/моль = 0,15 моль
n(C) : n(H) : n(O) = 0,45 : 1,2 : 0,15 = 3 : 8 : 1
Простейшая формула: C3H8O
Молекулярная формула: C3H8O
Структурная формула:
CH3-CH2-CH2-OH
Уравнение реакции:
При сгорании 48 г органического вещества получили 105,6 г углекислого газа и 57,6 мл воды. Известно, что это вещество преимущественно образуется при гидратации соответствующего непредельного углеводорода.
На основании данных условия задания:
1) проведите необходимые вычисления (указывайте единицы измерения искомых физических величин) и установите молекулярную формулу органического вещества;
2) составьте возможную структурную формулу этого вещества, которая однозначно отражает порядок связи атомов в его молекуле
3) Напишите уравнение реакции получения данного вещества гидратацией соответствующего непредельного углеводорода.
Дано:
m(вещества) = 48 г
m(CO2) = 105,6 г
m(H2O) = 57,6 г
n(CO2) = 105,6 г / 44 г/моль = 2,4 моль
n(H2O) = 57,6 г / 18 г/моль = 3,2 моль
n(C) = n(CO2) = 2,4 моль
n(H) = 2·n(H2O) = 2·3,2 = 6,4 моль
m(C) = 2,4 моль · 12 г/моль = 28,8 г
m(H) = 6,4 моль · 1 г/моль = 6,4 г
m(O) = 48 г — 28,8 г — 6,4 г = 12,8 г
n(O) = 12,8 г / 16 г/моль = 0,8 моль
n(C) : n(H) : n(O) = 2,4 : 6,4 : 0,8 = 3 : 8 : 1
Простейшая формула: C3H8O
Молекулярная формула: C3H8O
Структурная формула:
CH3-CH(OH)-CH3
Уравнение реакции:
CH3–CH=CH2 + H2O ⇄ CH3–CH(OH)–CH3 (H+, t).
При сгорании органического вещества, не содержащего кислорода, получили 61,6 г углекислого газа, 10,8 г воды и 4,48 л (н.у.) хлороводорода. Известно, что это вещество может быть получено взаимодействием соответствующего углеводорода с хлором на свету.
На основании данных условия задания:
1) проведите необходимые вычисления (указывайте единицы измерения искомых физических величин) и установите молекулярную формулу органического вещества;
2) составьте возможную структурную формулу этого вещества, которая однозначно отражает порядок связи атомов в его молекуле
3) Напишите уравнение реакции получения данного вещества взаимодействием соответствующего углеводорода с хлором на свету.
ν(CO2) = m(CO2) / M(CO2) = 61,6 / 44 = 1,4 моль
ν(H2O) = m(H2O) / M(H2O) = 10,8 / 18 = 0,6 моль
ν(HCl) = V(HCl) / Vm = 4,48 / 22,4 = 0,2 моль
ν(C) = ν(CO2) = 1,4 моль
ν(H) = 2·ν(H2O) + ν(HCl) = 2·0,6 + 0,2 = 1,4 моль
ν(Cl) = ν(HCl) = 0,2 моль
ν(C):ν(H):ν(Cl) = 1,4 : 1,4 : 0,2 = 7 : 7 : 1
Простейшая формула искомого вещества: [C7H7Cl]
Исходя из выраженного дефицита молекулы в водороде можно сделать вывод, что искомое вещество содержит бензольное кольцо. Подходит фенилхлорметан.
Таким образом молекулярная формула: C7H7Cl
При сгорании некоторого амина получили 40,32 л (н.у.) углекислого газа, 48,6 г воды и 6,72 л (н.у.) азота. Известно, что в молекуле этого амина нет атомов водорода, связанных с атомами азота.
На основании данных условия задания:
1) проведите необходимые вычисления (указывайте единицы измерения искомых физических величин) и установите молекулярную формулу органического вещества;
2) составьте возможную структурную формулу этого вещества, которая однозначно отражает порядок связи атомов в его молекуле;
3) напишите уравнение реакции избытка данного амина с серной кислотой.
1. Расчёты:
ν(CO2) = V(CO2) / Vm = 40,32 л / 22,4 л/моль = 1,8 моль
ν(H2O) = m(H2O) / M(H2O) = 48,6 г / 18 г/моль = 2,7 моль
ν(N2) = V(N2) / Vm = 6,72 л / 22,4 л/моль = 0,3 моль
ν(C) = ν(CO2) = 1,8 моль
ν(H) = 2·ν(H2O) = 2·2,7 моль = 5,4 моль
ν(N) = 2·ν(N2) = 2·0,3 моль = 0,6 моль
ν(C) : ν(H) : ν(N) = 1,8 : 5,4 : 0,6 = 3 : 9 : 1
Простейшая (и молекулярная) формула: C3H9N
2. Структурная формула:
3. Уравнение реакции избытка амина с серной кислотой:
При сгорании 6,15 г органического вещества, не содержащего кислорода, получили углекислый газ, 2,7 мл воды и 1,12 л (н.у.) бромоводорода. Известно, что это вещество преимущественно образуется при взаимодействии соответствующего углеводорода с бромом на свету.
На основании данных условия задания:
1) проведите необходимые вычисления (указывайте единицы измерения искомых физических величин) и установите молекулярную формулу органического вещества;
2) составьте возможную структурную формулу этого вещества, которая однозначно отражает порядок связи атомов в его молекуле;
3) напишите уравнение реакции получения данного вещества взаимодействием соответствующего углеводорода с бромом на свету.
ν(H2O) = 2,7 г / 18 г/моль = 0,15 моль
ν(HBr) = 1,12 л / 22,4 л/моль = 0,05 моль
ν(H) = 2·ν(H2O) + ν(HBr) = 2·0,15 моль + 0,05 моль = 0,35 моль
m(H) = 0,35 моль·1 г/моль = 0,35 г
ν(Br) = ν(HBr) = 0,05 моль
m(Br) = 0,05 моль·80 г/моль = 4,0 г
m(C) = 6,15 г − 0,35 г − 4,0 г = 1,8 г
ν(C) = 1,8 г / 12 г/моль = 0,15 моль
ν(CO2) = ν(C) = 0,15 моль
V(CO2) = 0,15 моль·22,4 л/моль = 3,36 л
ν(C) : ν(H) : ν(Br) = 0,15 : 0,35 : 0,05 = (0,15 / 0,05) : (0,35 / 0,05) : (0,05 / 0,05) = 3 : 7 : 1
Простейшая формула: C3H7Br
M(в-ва) = 3·12 + 7·1 + 80 = 123 г/моль
ν(в-ва) = 6,15 г / 123 г/моль = 0,05 моль
Молекулярная формула: C3H7Br
Структурная формула:
Уравнение реакции:
Некоторое органическое соединение содержит 69,6% кислорода по массе. Молярная масса этого соединения в 1,586 раза больше молярной массы воздуха. Известно также, что это вещество способно вступать в реакцию этерификации с пропанолом-2. При сгорании 6,15 г органического вещества, не содержащего кислорода, получили углекислый газ, 2,7 мл воды и 1,12 л (н.у.) бромоводорода. Известно, что это вещество преимущественно образуется при взаимодействии соответствующего углеводорода с бромом на свету.
На основании данных условия задания:
1) проведите необходимые вычисления (указывайте единицы измерения искомых физических величин) и установите молекулярную формулу органического вещества;
2) составьте возможную структурную формулу этого вещества, которая однозначно отражает порядок связи атомов в его молекуле;
3) Напишите уравнение реакции этого вещества с пропанолом-2.
M(воздуха) = 29 г/моль
M(вещества) = 1,586·29 г/моль = 46 г/моль
ω(O) = 69,6 %
m(O) в 1 моль вещества = 0,696·46 г = 32 г
ν(O) = 32 г / 16 г/моль = 2 моль
Общая формула: CxHyO2
M = 12x + y + 32 = 46 г/моль
12x + y = 14
x = 1; y = 2
Простейшая формула: CH2O2
Молекулярная формула: CH2O2
Структурная формула:
Уравнение реакции этерификации с пропанолом-2:
При сгорании 4,48 л (н.у.) газообразного органического вещества получили 35,2 г углекислого газа и 10,8 мл воды. Плотность этого вещества составляет 2,41 г/л (н.у.). Известно также, что это вещество не реагирует с аммиачным раствором оксида серебра, а при реакции его с избытком бромной воды происходит присоединение атомов брома только ко вторичным атомам углерода.
На основании данных условия задания:
1) проведите необходимые вычисления (указывайте единицы измерения искомых физических величин) и установите молекулярную формулу органического вещества;
2) составьте возможную структурную формулу этого вещества, которая однозначно отражает порядок связи атомов в его молекуле;
3) напишите уравнение реакции этого вещества с избытком бромной воды.
m = ρ·V = 2,41 г/л · 4,48 л = 10,8 г
ν(вещества) = 4,48 л / 22,4 л/моль = 0,2 моль
ν(CO2) = 35,2 г / 44 г/моль = 0,8 моль
ν(H2O) = 10,8 г / 18 г/моль = 0,6 моль
ν(C) = ν(CO2) = 0,8 моль
ν(H) = 2·ν(H2O) = 2·0,6 = 1,2 моль
Количество моль C на 1 моль вещества: 0,8 / 0,2 = 4
Количество моль H на 1 моль вещества: 1,2 / 0,2 = 6
M(вещества) = m / ν = 10,8 г / 0,2 моль = 54 г/моль
M = 12·4 + 1·6 + 16·z = 54 ⇒ 48 + 6 + 16z = 54 ⇒ 16z = 0 ⇒ z = 0
Молекулярная формула: C4H6
Структурная формула:
CH3–C≡C–CH3
Уравнение реакции:
При сгорании 8,64 г органического вещества получили 21,12 г углекислого газа и 8,64 г воды. Известно, что это вещество не реагирует с гидроксидом меди(II) и может быть получено в результате окисления соответствующего спирта оксидом меди(II).
На основании данных условия задания:
1) проведите необходимые вычисления (указывайте единицы измерения искомых физических величин) и установите молекулярную формулу органического вещества;
2) составьте возможную структурную формулу этого вещества, которая однозначно отражает порядок связи атомов в его молекуле;
3) Напишите уравнение реакции получения данного вещества окислением соответствующего спирта оксидом меди(II)
ν(CO2) = 21,12 г / 44 г/моль = 0,48 моль
ν(H2O) = 8,64 г / 18 г/моль = 0,48 моль
ν(C) = ν(CO2) = 0,48 моль
ν(H) = 2·ν(H2O) = 2·0,48 моль = 0,96 моль
ν(C) : ν(H) = 0,48 : 0,96 = 1 : 2 ⇒ формула CxH2xO
M(CxH2xO) = 14x + 16 г/моль
ν(вещества) = 8,64 г /(14x + 16) г/моль
ν(вещества) = ν(C) / x = 0,48/x моль
8,64 / (14x + 16) = 0,48 / x
8,64x = 0,48·(14x + 16)
8,64x = 6,72x + 7,68
1,92x = 7,68
x = 4
Молекулярная формула: C4H8O
Структурная формула:
Уравнение реакции получения:
При сгорании 43,4 г органического вещества получили 61,6 г углекислого газа и 37,8 мл воды. Известно, что это вещество может быть получено окислением соответствующего углеводорода водным раствором перманганата калия на холоду.
На основании данных условия задания:
1) проведите необходимые вычисления (указывайте единицы измерения искомых физических величин) и установите молекулярную формулу органического вещества;
2) составьте возможную структурную формулу этого вещества, которая однозначно отражает порядок связи атомов в его молекуле;
3) Напишите уравнение реакции получения данного вещества окислением соответствующего углеводорода водным раствором перманганата калия на холоду.
ν(CO2) = 61,6 г / 44 г/моль = 1,4 моль
ν(H2O) = 37,8 г / 18 г/моль = 2,1 моль
ν(C) = ν(CO2) = 1,4 моль
ν(H) = 2 · ν(H2O) = 2 · 2,1 моль = 4,2 моль
m(C) = 1,4 моль · 12 г/моль = 16,8 г
m(H) = 4,2 моль · 1 г/моль = 4,2 г
m(O) = 43,4 г − 16,8 г − 4,2 г = 22,4 г
ν(O) = 22,4 г / 16 г/моль = 1,4 моль
ν(C) : ν(H) : ν(O) = 1,4 : 4,2 : 1,4 = 1 : 3 : 1
Простейшая формула: CH3O
Формула диола (продукта мягкого окисления алкена): C2H6O2
M(C2H6O2) = 2·12 + 6·1 + 2·16 = 62 г/моль
ν(вещества) = 43,4 г / 62 г/моль = 0,7 моль
ν(C) расчётное: 2 · 0,7 моль = 1,4 моль (совпадает)
Молекулярная формула вещества: C2H6O2
Структурная формула:
Уравнение реакции получения:
При сгорании 18,8 г органического вещества получили 26,88 л (н.у.) углекислого газа и 10,8 мл воды. Известно, что это вещество реагирует как с гидроксидом натрия, так и с бромной водой.
На основании данных условия задания:
1) проведите необходимые вычисления (указывайте единицы измерения искомых физических величин) и установите молекулярную формулу органического вещества;
2) составьте возможную структурную формулу этого вещества, которая однозначно отражает порядок связи атомов в его молекуле;
3) напишите уравнение реакции данного вещества с бромной водой.
ν(CO2) = 26,88 л / 22,4 л/г·моль = 1,2 моль
m(H2O) = 10,8 мл · 1 г/мл = 10,8 г
ν(H2O) = 10,8 г / 18 г/моль = 0,6 моль
ν(C) = ν(CO2) = 1,2 моль
ν(H) = 2·ν(H2O) = 2·0,6 = 1,2 моль
m(C) = 1,2 моль·12 г/моль = 14,4 г
m(H) = 1,2 моль·1 г/моль = 1,2 г
m(O) = 18,8 г − 14,4 г − 1,2 г = 3,2 г
ν(O) = 3,2 г / 16 г/моль = 0,2 моль
ν(C) : ν(H) : ν(O) = 1,2 : 1,2 : 0,2 = 6 : 6 : 1
Простейшая формула: CHO
Молекулярная формула: C6H6O
Структурная формула:
Уравнение реакции с бромной водой:
При сгорании 5,4 г органического вещества получили 15,4 г углекислого газа и 3,6 г воды. Известно, что это вещество реагирует с раствором гидроксида натрия, а при реакции его с бромной водой образуется трибромпроизводное этого вещества.
На основании данных условия задания:
1) проведите необходимые вычисления (указывайте единицы измерения искомых физических величин) и установите молекулярную формулу органического вещества;
2) составьте возможную структурную формулу этого вещества, которая однозначно отражает порядок связи атомов в его молекуле;
3) Напишите уравнение реакции данного вещества с бромной водой.
ν(CO2) = 15,4 г / 44 г/моль = 0,35 моль
ν(H2O) = 3,6 г / 18 г/моль = 0,2 моль
ν(C) = 0,35 моль
ν(H) = 2·0,2 моль = 0,4 моль
m(C) = 0,35 моль·12 г/моль = 4,2 г
m(H) = 0,4 моль·1 г/моль = 0,4 г
m(O) = 5,4 г − 4,2 г − 0,4 г = 0,8 г
ν(O) = 0,8 г / 16 г/моль = 0,05 моль
ν(C) : ν(H) : ν(O) = 0,35 : 0,4 : 0,05 = 7 : 8 : 1
Простейшая формула: C7H8O
Молекулярная формула: C7H8O
Структурная формула:
Уравнение реакции:
Некоторое органическое соединение содержит 62,1% углерода и 27,6% кислорода по массе. Известно, что это соединение может быть получено в результате термического разложения кальциевой соли соответствующей карбоновой кислоты.
На основании данных условия задания:
1) проведите необходимые вычисления (указывайте единицы измерения искомых физических величин) и установите молекулярную формулу органического вещества;
2) составьте возможную структурную формулу этого вещества, которая однозначно отражает порядок связи атомов в его молекуле;
3) напишите уравнение реакции получения данного вещества термическим разложением кальциевой соли соответствующей карбоновой кислоты.
Примем m(вещества) = 100 г
m(C) = 62,1 г; m(O) = 27,6 г; m(H) = 100 г − 62,1 г − 27,6 г = 10,3 г
ν(C) = 62,1 г / 12 г/моль = 5,175 моль
ν(O) = 27,6 г / 16 г/моль = 1,725 моль
ν(H) = 10,3 г / 1 г/моль = 10,3 моль
ν(C) : ν(H) : ν(O) = 5,175 : 10,3 : 1,725 = 3 : 6 : 1
Молекулярная формула: C3H6O
Структурная формула:
Уравнение реакции:
Некоторое органическое соединение содержит 40,0% углерода и 53,3% кислорода по массе. Известно, что это соединение реагирует с оксидом меди(II).
На основании данных условия задания:
1) проведите необходимые вычисления (указывайте единицы измерения искомых физических величин) и установите молекулярную формулу органического вещества;
2) составьте возможную структурную формулу этого вещества, которая однозначно отражает порядок связи атомов в его молекуле;
3) напишите уравнение реакции этого вещества с оксидом меди(II).
Примем m(вещества) = 100 г
m(C) = 40,0 г; m(O) = 53,3 г; m(H) = 100 − 40,0 − 53,3 = 6,7 г
ν(C) = 40,0 г / 12 г/моль = 3,33 моль
ν(O) = 53,3 г / 16 г/моль ≈ 3,33 моль
ν(H) = 6,7 г / 1 г/моль = 6,7 моль
ν(C) : ν(H) : ν(O) = 3,33 : 6,7 : 3,33 = 1 : 2 : 1
Простейшая формула: CH2O
Молекулярная формула: C2H4O2
Структурная формула: CH3COOH
Уравнение реакции с CuO:
2CH3COOH + CuO → (CH3COO)Cu + H2O
При сгорании 11,6 г органического вещества получили 13,44 л (н.у.) углекислого газа и 10,8 мл воды. Плотность паров этого вещества – 2,59 г/л (н.у.). Известно, что это вещество реагирует с гидроксидом меди(II).
На основании данных условия задания:
1) проведите необходимые вычисления (указывайте единицы измерения искомых физических величин) и установите молекулярную формулу органического вещества;
2) составьте возможную структурную формулу этого вещества, которая однозначно отражает порядок связи атомов в его молекуле;
3) напишите уравнение реакции данного вещества с гидроксидом меди(II).
m(вещества) = 11,6 г
V(CO2) = 13,44 л
m(H2O) = 10,8 г
ν(CO2) = 13,44 л / 22,4 л/моль = 0,6 моль
ν(H2O) = 10,8 г / 18 г/моль = 0,6 моль
ν(C) = ν(CO2) = 0,6 моль
ν(H) = 2·ν(H2O) = 2·0,6 = 1,2 моль
m(C) = 0,6 моль·12 г/моль = 7,2 г
m(H) = 1,2 моль·1 г/моль = 1,2 г
m(O) = 11,6 г − 7,2 г − 1,2 г = 3,2 г
ν(O) = 3,2 г / 16 г/моль = 0,2 моль
ν(C) : ν(H) : ν(O) = 0,6 : 1,2 : 0,2 = 3 : 6 : 1
Простейшая формула: C3H6O
ρ = 2,59 г/л
M = ρ·Vмол = 2,59 г/л · 22,4 л/моль = 58 г/моль
M(простейшей) = 3·12 + 6·1 + 16 = 58 г/моль
Молекулярная формула: C3H6O
Структурная формула:
Уравнение реакции:
При сгорании 12 г газообразного органического вещества получили 17,6 г углекислого газа и 7,2 г воды. Известно, что это вещество способно вступать в реакцию восстановления с водородом.
На основании данных условия задания:
1) проведите необходимые вычисления (указывайте единицы измерения искомых физических величин) и установите молекулярную формулу органического вещества;
2) составьте возможную структурную формулу этого вещества, которая однозначно отражает порядок связи атомов в его молекуле;
3) Напишите уравнение реакции данного вещества с водородом.
ν(CO2) = 17,6 г / 44 г/моль = 0,4 моль
ν(H2O) = 7,2 г / 18 г/моль = 0,4 моль
ν(C) = 0,4 моль
ν(H) = 2·0,4 моль = 0,8 моль
m(C) = 0,4 моль·12 г/моль = 4,8 г
m(H) = 0,8 моль·1 г/моль = 0,8 г
m(O) = 12 г − 4,8 г − 0,8 г = 6,4 г
ν(O) = 6,4 г / 16 г/моль = 0,4 моль
ν(C) : ν(H) : ν(O) = 0,4 : 0,8 : 0,4 = 1 : 2 : 1
Простейшая формула: CH2O
Молекулярная формула: CH2O
Структурная формула: H–CHO
H–CHO + H2 → CH3OH
При сгорании 24 г органического вещества получили 17,92 л (н.у.) углекислого газа и 14,4 г воды. Известно, что это вещество не окисляется аммиачным раствором оксида серебра, но реагирует с карбонатом кальция.
На основании данных условия задания:
1) проведите необходимые вычисления (указывайте единицы измерения искомых физических величин) и установите молекулярную формулу органического вещества;
2) составьте возможную структурную формулу этого вещества, которая однозначно отражает порядок связи атомов в его молекуле;
3) напишите уравнение реакции данного вещества с карбонатом кальция.
ν(CO2) = 17,92 л / 22,4 л/моль = 0,8 моль
ν(H2O) = 14,4 г / 18 г/моль = 0,8 моль
ν(C) = ν(CO2) = 0,8 моль
ν(H) = 2·ν(H2O) = 2·0,8 = 1,6 моль
m(C) = 0,8 моль·12 г/моль = 9,6 г
m(H) = 1,6 моль·1 г/моль = 1,6 г
m(O) = 24 г − 9,6 г − 1,6 г = 12,8 г
ν(O) = 12,8 г / 16 г/моль = 0,8 моль
ν(C) : ν(H) : ν(O) = 0,8 : 1,6 : 0,8 = 1 : 2 : 1
Простейшая формула: CH2O
Общая формула кислоты: CnH2nO2
ν(O) : ν(C) = 2 : n = 1 : 1 ⇒ n = 2
Молекулярная формула: C2H4O2
Структурная формула: CH3–COOH
2CH3COOH + CaCO3 → (CH3COO)2Ca + CO2 + H2O
При сгорании 9 г органического вещества получили 13,2 г углекислого газа и 5,4 г воды. Известно, что это вещество не взаимодействует с карбонатом кальция, но реагирует с водным раствором гидроксида натрия.
На основании данных условия задания:
1) проведите необходимые вычисления (указывайте единицы измерения искомых физических величин) и установите молекулярную формулу органического вещества;
2) составьте возможную структурную формулу этого вещества, которая однозначно отражает порядок связи атомов в его молекуле;
3) напишите уравнение реакции данного вещества с водным раствором гидроксида натрия.
ν(CO2) = 13,2 г / 44 г/моль = 0,3 моль
ν(H2O) = 5,4 г / 18 г/моль = 0,3 моль
ν(C) = ν(CO2) = 0,3 моль
ν(H) = 2·ν(H2O) = 2·0,3 = 0,6 моль
m(C) = 0,3 моль·12 г/моль = 3,6 г
m(H) = 0,6 моль·1 г/моль = 0,6 г
m(O) = 9 г − 3,6 г − 0,6 г = 4,8 г
ν(O) = 4,8 г / 16 г/моль = 0,3 моль
ν(C) : ν(H) : ν(O) = 0,3 : 0,6 : 0,3 = 1 : 2 : 1
Простейшая формула: CH2O
Молекулярная формула: C2H4O2
Структурная формула: H–COO–CH3
Уравнение реакции:
H–COO–CH3 + NaOH → HCOONa + CH3OH
При сгорании 8,8 г органического вещества получили 17,6 г углекислого газа и 7,2 г воды. Известно, что это вещество реагирует с аммиачным раствором оксида серебра.
На основании данных условия задания:
1) проведите необходимые вычисления (указывайте единицы измерения искомых физических величин) и установите молекулярную формулу органического вещества;
2) составьте возможную структурную формулу этого вещества, которая однозначно отражает порядок связи атомов в его молекуле;
3) напишите уравнение реакции этого вещества с аммиачным раствором оксида серебра.
ν(CO2) = 17,6 г / 44 г/моль = 0,4 моль
ν(H2O) = 7,2 г / 18 г/моль = 0,4 моль
ν(C) = ν(CO2) = 0,4 моль
ν(H) = 2·ν(H2O) = 2·0,4 = 0,8 моль
m(C) = 0,4 моль·12 г/моль = 4,8 г
m(H) = 0,8 моль·1 г/моль = 0,8 г
m(O) = 8,8 г − 4,8 г − 0,8 г = 3,2 г
ν(O) = 3,2 г / 16 г/моль = 0,2 моль
ν(C) : ν(H) : ν(O) = 0,4 : 0,8 : 0,2 = 2 : 4 : 1
Простейшая формула: C2H4O
M(C2H4O) = 2·12 + 4·1 + 16 = 44 г/моль
ν(вещества) = 8,8 г / 44 г/моль = 0,2 моль
Молекулярная формула: C2H4O
Структурная формула: CH3–CHO
Уравнение реакции:
CH3–CHO + 2[Ag(NH3)2]OH → CH3–COONH4 + 2Ag + 3NH3 + H2O
При сгорании 18 г органического вещества, не содержащего кислорода, получили углекислый газ, 25,2 мл воды и 4,48 л азота (н.у.). Известно, что это вещество реагирует с иодметаном и не может быть получено восстановлением соответствующего нитросоединения.
При сгорании 8,8 г органического вещества получили 17,6 г углекислого газа и 7,2 г воды. Известно, что это вещество реагирует с аммиачным раствором оксида серебра.
На основании данных условия задания:
1) проведите необходимые вычисления (указывайте единицы измерения искомых физических величин) и установите молекулярную формулу органического вещества;
2) составьте возможную структурную формулу этого вещества, которая однозначно отражает порядок связи атомов в его молекуле;
3) напишите уравнение реакции данного вещества с йодметаном.
m(вещества) = 18 г
m(H2O) = 25,2 мл · 1 г/мл = 25,2 г
ν(H2O) = 25,2 г / 18 г/моль = 1,4 моль
ν(H) = 2·1,4 = 2,8 моль
V(N2) = 4,48 л
ν(N2) = 4,48 л / 22,4 л/моль = 0,2 моль
ν(N) = 2·0,2 = 0,4 моль
Пусть ν(CO2) = x моль ⇒ ν(C) = x моль
m(C) = 12x г
m(H) = 2,8 моль·1 г/моль = 2,8 г
m(N) = 0,4 моль·14 г/моль = 5,6 г
12x + 2,8 + 5,6 = 18 ⇒ 12x = 9,6 ⇒ x = 0,8 моль
ν(C) = 0,8 моль
ν(C) : ν(H) : ν(N) = 0,8 : 2,8 : 0,4
Делим на 0,4: 2 : 7 : 1
Простейшая и молекулярная формула: C2H7N
Структурная формула: CH3–NH–CH3
Уравнение реакции:
CH3–NH–CH3 + CH3I → [(CH3)3NH]+I—
При сгорании органического вещества, не содержащего кислорода, получили 6,72 л (н.у.) углекислого газа, 3,6 г воды и 7,3 г хлороводорода. Известно, что это вещество может быть получено взаимодействием соответствующего ациклического углеводорода с хлорной водой.
На основании данных условия задания:
1) проведите необходимые вычисления (указывайте единицы измерения искомых физических величин) и установите молекулярную формулу органического вещества;
2) составьте возможную структурную формулу этого вещества, которая однозначно отражает порядок связи атомов в его молекуле;
3) напишите уравнение реакции получения данного вещества взаимодействием соответствующего углеводорода с хлорной водой.
ν(CO2) = 6,72 л / 22,4 л/моль = 0,3 моль
ν(H2O) = 3,6 г / 18 г/моль = 0,2 моль
ν(HCl) = 7,3 г / 36,5 г/моль = 0,2 моль
ν(C) = ν(CO2) = 0,3 моль
ν(H) = 2·ν(H2O) + ν(HCl) = 2·0,2 + 0,2 = 0,6 моль
ν(Cl) = ν(HCl) = 0,2 моль
ν(C) : ν(H) : ν(Cl) = 0,3 : 0,6 : 0,2 = 3 : 6 : 2
Простейшая формула: C3H6Cl2
Молекулярная формула: C3H6Cl2
Структурная формула: CH3–CHCl–CH2Cl
Уравнение реакции:
CH3–CH=CH2 + Cl2 → CH3–CHCl–CH2Cl
При сгорании 32,4 г органического вещества получили 47,04 л (н.у.) углекислого газа и 21,6 г воды. Известно, что это вещество не взаимодействует с водным раствором гидроксида натрия, но реагирует с уксусной кислотой.
На основании данных условия задания:
1) проведите необходимые вычисления (указывайте единицы измерения искомых физических величин) и установите молекулярную формулу органического вещества;
2) составьте возможную структурную формулу этого вещества, которая однозначно отражает порядок связи атомов в его молекуле;
3) напишите уравнение реакции этого вещества с уксусной кислотой.
ν(CO2) = 47,04 л / 22,4 л/моль = 2,1 моль
ν(H2O) = 21,6 г / 18 г/моль = 1,2 моль
ν(C) = ν(CO2) = 2,1 моль
ν(H) = 2·ν(H2O) = 2·1,2 = 2,4 моль
m(C) = 2,1·12 = 25,2 г
m(H) = 2,4·1 = 2,4 г
m(O) = 32,4 г − 25,2 г − 2,4 г = 4,8 г
ν(O) = 4,8 г / 16 г/моль = 0,3 моль
ν(C) : ν(H) : ν(O) = 2,1 : 2,4 : 0,3 = 7 : 8 : 1
Простейшая формула: C7H8O
M(C7H8O) = 7·12 + 8·1 + 16 = 108 г/моль
ν(вещества) = 32,4 г / 108 г/моль = 0,3 моль
Молекулярная формула: C7H8O
Структурная формула:

Уравнение реакции:

При сгорании 10,4 г органического вещества нециклического строения получили 35,2 г углекислого газа и 7,2 г воды. Известно, что 1 моль этого органического вещества в присутствии катализатора присоединяет только 1 моль воды и данное вещество реагирует с аммиачным раствором оксида серебра.
На основании данных условия задания:
1) проведите необходимые вычисления (указывайте единицы измерения искомых физических величин) и установите молекулярную формулу органического вещества;
2) составьте возможную структурную формулу этого вещества, которая однозначно отражает порядок связи атомов в его молекуле;
3) напишите уравнение реакции данного вещества с аммиачным раствором оксида серебра.
ν(CO2) = 35,2 г / 44 г/моль = 0,8 моль
ν(H2O) = 7,2 г / 18 г/моль = 0,4 моль
ν(C) = ν(CO2) = 0,8 моль
ν(H) = 2·ν(H2O) = 2·0,4 = 0,8 моль
m(C) = 0,8 моль·12 г/моль = 9,6 г
m(H) = 0,8 моль·1 г/моль = 0,8 г
m(вещества) = 10,4 г; m(C) + m(H) = 9,6 г + 0,8 г = 10,4 г ⇒ O нет
ν(C) : ν(H) = 0,8 : 0,8 = 1 : 1
Простейшая формула: CH
Соединение нециклическое, содержит одну кратную связь (присоединяет только 1 моль H2O), при простейщей формуле CH это соответствует молекулярной формуле C2H2
Молекулярная формула: C2H2
Структурная формула: H–C≡C–H
Уравнение реакции с аммиачным раствором оксида серебра (образование ацетилида серебра):
HC≡CH + 2[Ag(NH3)2]OH → AgC≡CAg↓ + 4NH3 + 2H2O
Некоторое органическое соединение, не содержащее кислорода, содержит 77,42% углерода и 15,05% азота по массе. Известно, что это вещество может быть получено восстановлением соответствующего нитросоединения водородом в присутствии катализатора.
На основании данных условия задания:
1) проведите необходимые вычисления (указывайте единицы измерения искомых физических величин) и установите молекулярную формулу органического вещества;
2) составьте возможную структурную формулу этого вещества, которая однозначно отражает порядок связи атомов в его молекуле;
3) напишите уравнение реакции получения данного вещества восстановлением соответствующего нитросоединения водородом в присутствии катализатора.
Примем m(вещества) = 100 г
m(C) = 77,42 г; m(N) = 15,05 г; m(H) = 100 − 77,42 − 15,05 = 7,53 г
ν(C) = 77,42 г / 12 г/моль ≈ 6,45 моль
ν(N) = 15,05 г / 14 г/моль ≈ 1,08 моль
ν(H) = 7,53 г / 1 г/моль = 7,53 моль
Делим на наименьшее (≈1,075 моль):
ν(C) : ν(H) : ν(N) ≈ 6,00 : 7,00 : 1,00
Простейшая формула: C6H7N
Молекулярная формула: C6H7N
Структурная формула:
C6H5–NH2
Уравнение реакции:
C6H5NO2 + 3H2 → C6H5NH2 + 2H2O
При сгорании 36,6 г органического вещества получили 47,04 л углекислого газа (н.у.) и 16,2 г воды. Известно, что это вещество может взаимодействовать как с кальцием, так и с оксидом кальция.
На основании данных условия задания:
1) проведите необходимые вычисления (указывайте единицы измерения искомых физических величин) и установите молекулярную формулу органического вещества;
2) составьте возможную структурную формулу этого вещества, которая однозначно отражает порядок связи атомов в его молекуле;
3) напишите уравнение реакции данного вещества с оксидом кальция.
ν(CO2) = 47,04 л / 22,4 л/моль = 2,1 моль
ν(H2O) = 16,2 г / 18 г/моль = 0,9 моль
ν(C) = ν(CO2) = 2,1 моль
ν(H) = 2·ν(H2O) = 2·0,9 = 1,8 моль
m(C) = 2,1 моль·12 г/моль = 25,2 г
m(H) = 1,8 моль·1 г/моль = 1,8 г
m(O) = 36,6 г − 25,2 г − 1,8 г = 9,6 г
ν(O) = 9,6 г / 16 г/моль = 0,6 моль
ν(C) : ν(H) : ν(O) = 2,1 : 1,8 : 0,6 = 7 : 6 : 2
Простейшая формула: C7H6O2
Структурная формула: C6H5–COOH
Уравнение реакции с CaO:
2C6H5COOH + CaO → (C6H5COO)2Ca + H2O
При сгорании 32 г органического вещества нециклического строения получили 105,6 г углекислого газа и 28,8 г воды. Известно, что 1 моль этого органического вещества в присутствии катализатора присоединяет только 1 моль воды и данное вещество реагирует с аммиачным раствором оксида серебра.
На основании данных условия задания:
1) проведите необходимые вычисления (указывайте единицы измерения искомых физических величин) и установите молекулярную формулу органического вещества;
2) составьте возможную структурную формулу этого вещества, которая однозначно отражает порядок связи атомов в его молекуле;
3) напишите уравнение реакции данного вещества с аммиачным раствором оксида серебра.
ν(CO2) = 105,6 г / 44 г/моль = 2,4 моль
ν(H2O) = 28,8 г / 18 г/моль = 1,6 моль
ν(C) = ν(CO2) = 2,4 моль
ν(H) = 2·ν(H2O) = 2·1,6 = 3,2 моль
m(C) = 2,4 моль·12 г/моль = 28,8 г
m(H) = 3,2 моль·1 г/моль = 3,2 г
m(вещества) = 32 г ⇒ m(O) = 32 − 28,8 − 3,2 = 0 г
ν(C) : ν(H) = 2,4 : 3,2
Делим на 0,8: 2,4 : 3,2 = 3 : 4
Простейшая формула: C3H4
M(C3H4) = 3·12 + 4·1 = 40 г/моль
ν(вещества) = 32 г / 40 г/моль = 0,8 моль
ν(C) = 0,8·3 = 2,4 моль; ν(H) = 0,8·4 = 3,2 моль (совпадает)
Молекулярная формула: C3H4
Степень ненасыщенности: (2·3 + 2 − 4) / 2 = (6 + 2 − 4) / 2 = 4 / 2 = 2 (одна тройная связь)
Структурная формула: CH3–C≡CH
Уравнение реакции:
CH3–C≡CH + [Ag(NH3)2]OH → CH3–C≡CAg↓ + NH3 + H2O
При сгорании 5,4 г органического вещества нециклического строения получили 8,96 л (н.у.) углекислого газа и 5,4 г воды. Известно, что 1 моль этого органического вещества в присутствии катализатора присоединяет только 1 моль воды и данное вещество не реагирует с аммиачным раствором оксида серебра.
На основании данных условия задания:
1) проведите необходимые вычисления (указывайте единицы измерения искомых физических величин) и установите молекулярную формулу органического вещества;
2) составьте возможную структурную формулу этого вещества, которая однозначно отражает порядок связи атомов в его молекуле;
3) напишите уравнение реакции гидратации органического вещества.
ν(CO2) = 8,96 л / 22,4 л/моль = 0,4 моль
ν(H2O) = 5,4 г / 18 г/моль = 0,3 моль
ν(C) = ν(CO2) = 0,4 моль
ν(H) = 2·ν(H2O) = 2·0,3 = 0,6 моль
m(C) = 0,4·12 = 4,8 г
m(H) = 0,6·1 = 0,6 г
m(вещества) = 5,4 г; m(C) + m(H) = 4,8 г + 0,6 г = 5,4 г
ν(C) : ν(H) = 0,4 : 0,6 = 2 : 3
Простейшая формула: C2H3
Степень ненасыщенности: (2·2 + 2 − 3) / 2 = 3 / 2
Молекулярная формула: C4H6
M = 4·12 + 6·1 = 54 г/моль
ν(вещества) = 5,4 г / 54 г/моль = 0,1 моль
Структурная формула: CH3–C≡C–CH3
Уравнение реакции гидратации:

При сгорании 37,8 г органического вещества нециклического строения получили 123,2 г углекислого газа и 37,8 г воды. Известно, что в результате присоединения 1 моль брома к 1 моль этого вещества преимущественно образуется соединение, содержащее атомы брома, связанные с первичными атомами углерода.
На основании данных условия задания:
1) проведите необходимые вычисления (указывайте единицы измерения искомых физических величин) и установите молекулярную формулу органического вещества;
2) составьте возможную структурную формулу этого вещества, которая однозначно отражает порядок связи атомов в его молекуле;
3) напишите уравнение реакции 1 моль этого вещества с 1 моль брома.
ν(CO2) = 123,2 г / 44 г·моль−1 = 2,8 моль
ν(H2O) = 37,8 г / 18 г·моль−1 = 2,1 моль
ν(C) = ν(CO2) = 2,8 моль
ν(H) = 2·ν(H2O) = 2·2,1 = 4,2 моль
m(C) = 2,8 моль·12 г·моль−1 = 33,6 г
m(H) = 4,2 моль·1 г·моль−1 = 4,2 г
m(вещества) = 37,8 г; m(C) + m(H) = 33,6 г + 4,2 г = 37,8 г ⇒ кислорода нет
ν(C) : ν(H) = 2,8 : 4,2 = 2 : 3
Простейшая формула: C2H3
Молекулярная формула: C4H6
Структурная формула: CH2=CH–CH=CH2
Уравнение реакции с бромом (1,4-присоединение):
CH2=CH–CH=CH2 + Br2 → BrCH2–CH=CH–CH2Br
При сгорании 18,4 г органического вещества получили 17,92 л углекислого газа (н.у.) и 21,6 г воды. Известно, что это вещество вступает в реакцию замещения с хлороводородом.
На основании данных условия задания:
1) проведите необходимые вычисления (указывайте единицы измерения искомых физических величин) и установите молекулярную формулу органического вещества;
2) составьте возможную структурную формулу этого вещества, которая однозначно отражает порядок связи атомов в его молекуле;
3) напишите уравнение реакции этого вещества с хлороводородом.
ν(CO2) = 17,92 л / 22,4 л/моль = 0,8 моль
ν(H2O) = 21,6 г / 18 г/моль = 1,2 моль
ν(C) = ν(CO2) = 0,8 моль
ν(H) = 2·ν(H2O) = 2·1,2 = 2,4 моль
m(C) = 0,8·12 = 9,6 г
m(H) = 2,4·1 = 2,4 г
m(O) = 18,4 г − 9,6 г − 2,4 г = 6,4 г
ν(O) = 6,4 г / 16 г/моль = 0,4 моль
ν(C) : ν(H) : ν(O) = 0,8 : 2,4 : 0,4 = 2 : 6 : 1
Простейшая формула: C2H6O
Молекулярная формула: C2H6O
Структурная формула: CH3–CH2–OH
Уравнение реакции: CH3–CH2–OH + HCl → CH3–CH2–Cl + H2O
При сгорании 4,7 г органического вещества получили 6,72 л (н.у.) углекислого газа и 2,7 г воды. Известно, что это вещество реагирует и с гидроксидом натрия, и с натрием.
На основании данных условия задания:
1) проведите необходимые вычисления (указывайте единицы измерения искомых физических величин) и установите молекулярную формулу органического вещества;
2) составьте возможную структурную формулу этого вещества, которая однозначно отражает порядок связи атомов в его молекуле;
3) напишите уравнение реакции данного вещества с гидроксидом натрия.
ν(CO2) = 6,72 л / 22,4 л/моль = 0,3 моль
ν(H2O) = 2,7 г / 18 г/моль = 0,15 моль
ν(C) = ν(CO2) = 0,3 моль
ν(H) = 2·ν(H2O) = 2·0,15 = 0,3 моль
m(C) = 0,3 моль·12 г/моль = 3,6 г
m(H) = 0,3 моль·1 г/моль = 0,3 г
m(O) = 4,7 г − 3,6 г − 0,3 г = 0,8 г
ν(O) = 0,8 г / 16 г/моль = 0,05 моль
ν(C) : ν(H) : ν(O) = 0,3 : 0,3 : 0,05 = 6 : 6 : 1
Простейшая формула: C6H6O
M(C6H6O) = 6·12 + 6·1 + 16 = 94 г/моль
ν(вещества) = 4,7 г / 94 г/моль = 0,05 моль
Молекулярная формула: C6H6O
Структурная формула: C6H5–OH
Уравнение реакции: C6H5OH + NaOH → C6H5ONa + H2O
При сгорании 15,68 л (н.у.) газообразного органического вещества получили 123,2 г углекислого газа и 37,8 г воды. Плотность паров этого вещества (н.у.) составляет 2,4107 г/л. Известно также, что это вещество не реагирует с аммиачным раствором оксида серебра, а 1 моль этого вещества может присоединить в присутствии катализатора только 1 моль воды.
На основании данных условия задания:
1) проведите необходимые вычисления (указывайте единицы измерения искомых физических величин) и установите молекулярную формулу органического вещества;
2) составьте возможную структурную формулу этого вещества, которая однозначно отражает порядок связи атомов в его молекуле;
3) напишите уравнение реакции этого вещества с водой.
ν(CO2) = 123,2 г / 44 г/моль = 2,8 моль
ν(H2O) = 37,8 г / 18 г/моль = 2,1 моль
ν(C) = ν(CO2) = 2,8 моль
ν(H) = 2·ν(H2O) = 2·2,1 = 4,2 моль
m(C) = 2,8 моль·12 г/моль = 33,6 г
m(H) = 4,2 моль·1 г/моль = 4,2 г
m(вещества) = 2,4107 г/л · 15,68 л ≈ 37,8 г
m(C) + m(H) = 33,6 г + 4,2 г = 37,8 г ⇒ O нет
ν(C) : ν(H) = 2,8 : 4,2 = 2 : 3
Простейшая формула: C2H3
M = 2,4107 г/л · 22,4 л/моль ≈ 54 г/моль
M(C2H3) = 2·12 + 3·1 = 27 г/моль
54 / 27 = 2 ⇒ молекулярная формула: C4H6
Структурная формула: CH3–C≡C–CH3
Уравнение реакции:

При сжигании образца органического вещества массой 2,04 г получили 2,24 л (н.у.) углекислого газа и 1,8 г воды. Известно, что данное вещество вступает в реакцию с раствором гидроксида бария при нагревании, один из продуктов этой реакции имеет состав C6H10O4Ba.
На основании данных условия задания:
1) проведите необходимые вычисления (указывайте единицы измерения искомых физических величин) и установите молекулярную формулу органического вещества;
2) составьте возможную структурную формулу этого вещества, которая однозначно отражает порядок связи атомов в его молекуле;
3) напишите уравнение реакции данного вещества с раствором гидроксида бария при нагревании.
ν(CO2) = 2,24 л / 22,4 л/моль = 0,1 моль
ν(H2O) = 1,8 г / 18 г/моль = 0,1 моль
ν(C) = ν(CO2) = 0,1 моль
ν(H) = 2·ν(H2O) = 2·0,1 = 0,2 моль
m(C) = 0,1 моль·12 г/моль = 1,2 г
m(H) = 0,2 моль·1 г/моль = 0,2 г
m(O) = 2,04 г − 1,2 г − 0,2 г = 0,64 г
ν(O) = 0,64 г / 16 г/моль = 0,04 моль
ν(C) : ν(H) : ν(O) = 0,1 : 0,2 : 0,04 = 5 : 10 : 2
Простейшая формула: C5H10O2
Молекулярная формула совпадает с простейшей: C5H10O2
Структурная формула:

Уравнение реакции с Ba(OH)2 при нагревании:

При сжигании образца некоторого органического соединения массой 14,8 г получено 35,2 г углекислого газа и 18,0 г воды. Известно, что относительная плотность паров этого вещества по водороду равна 37. В ходе исследования химических свойств этого вещества установлено, что при взаимодействии этого вещества с оксидом меди(II) образуется кетон.
На основании данных условия задания:
1) проведите необходимые вычисления (указывайте единицы измерения искомых физических величин) и установите молекулярную формулу органического вещества;
2) составьте возможную структурную формулу этого вещества, которая однозначно отражает порядок связи атомов в его молекуле;
3) напишите уравнение реакции этого вещества с оксидом меди(II).
ν(CO2) = 35,2 г / 44 г/моль = 0,8 моль
ν(H2O) = 18,0 г / 18 г/моль = 1,0 моль
ν(C) = ν(CO2) = 0,8 моль
ν(H) = 2·ν(H2O) = 2·1,0 = 2,0 моль
m(C) = 0,8 моль·12 г/моль = 9,6 г
m(H) = 2,0 моль·1 г/моль = 2,0 г
m(O) = 14,8 г − 9,6 г − 2,0 г = 3,2 г
ν(O) = 3,2 г / 16 г/моль = 0,2 моль
ν(C) : ν(H) : ν(O) = 0,8 : 2,0 : 0,2 = 4 : 10 : 1
Простейшая формула: C4H10O
Молекулярная формула: C4H10O
Структурная формула: CH3–CH(OH)–CH2–CH3
Уравнение реакции:

При сгорании 8,4 г органического вещества, молекула которого содержит один третичный атом углерода, получили 13,44 л углекислого газа (н.у.) и 10,8 г воды. Относительная плотность паров этого вещества по воздуху равна 2,897. Известно, что это вещество не взаимодействует с водой, реагирует с бромом на свету.
На основании данных условия задания:
1) проведите необходимые вычисления (указывайте единицы измерения искомых физических величин) и установите молекулярную формулу органического вещества;
2) составьте возможную структурную формулу этого вещества, которая однозначно отражает порядок связи атомов в его молекуле;
3) напишите уравнение реакции вещества с бромом.
ν(CO2) = 13,44 л / 22,4 л/моль = 0,6 моль
ν(H2O) = 10,8 г / 18 г/моль = 0,6 моль
ν(C) = ν(CO2) = 0,6 моль
ν(H) = 2·ν(H2O) = 2·0,6 = 1,2 моль
m(C) = 0,6 моль·12 г/моль = 7,2 г
m(H) = 1,2 моль·1 г/моль = 1,2 г
m(вещества) = 8,4 г; m(C) + m(H) = 7,2 г + 1,2 г = 8,4 г ⇒ O нет
ν(C) : ν(H) = 0,6 : 1,2 = 1 : 2
Простейшая формула: CH2
M(вещества) = Dвозд·M(воздуха) = 2,897·29 г/моль ≈ 84 г/моль
M(CH2) = 14 г/моль; 84 / 14 = 6 ⇒ молекулярная формула: C6H12
Структурная формула: 
Уравнение реакции с бромом на свету: 
Углеводород, в молекуле которого отсутствуют третичные и четвертичные атомы углерода, содержит 85,7% углерода по массе. Относительная плотность паров этого вещества по метану равна 5,25. Известно, что данное вещество вступает с хлором только в реакцию замещения.
При сгорании 8,4 г органического вещества, молекула которого содержит один третичный атом углерода, получили 13,44 л углекислого газа (н.у.) и 10,8 г воды. Относительная плотность паров этого вещества по воздуху равна 2,897. Известно, что это вещество не взаимодействует с водой, реагирует с бромом на свету.
На основании данных условия задания:
1) проведите необходимые вычисления (указывайте единицы измерения искомых физических величин) и установите молекулярную формулу органического вещества;
2) составьте возможную структурную формулу этого вещества, которая однозначно отражает порядок связи атомов в его молекуле;
3) напишите уравнение реакции этого вещества с хлором.
m(вещества) = 100 г
m(C) = 85,7 г; m(H) = 14,3 г
ν(C) = 85,7 г / 12 г/моль ≈ 7,14 моль
ν(H) = 14,3 г / 1 г/моль = 14,3 моль
ν(C) : ν(H) ≈ 7,14 : 14,3 ≈ 1 : 2
Простейшая формула: CH2
DCH4 = 5,25
M(вещества) = 5,25 · 16 г/моль = 84 г/моль
M(CH2) = 14 г/моль
84 г/моль / 14 г/моль = 6
Молекулярная формула: C6H12
Структурная формула: 
Уравнение реакции:

При сгорании 1,59 г органического вещества получили 4,62 г углекислого газа и 810 мг воды. Известно, что это вещество реагирует с аммиачным раствором оксида серебра.
На основании данных условия задания:
1) проведите необходимые вычисления (указывайте единицы измерения искомых физических величин) и установите молекулярную формулу органического вещества;
2) составьте возможную структурную формулу этого вещества, которая однозначно отражает порядок связи атомов в его молекуле;
3) напишите уравнение реакции этого вещества с аммиачным раствором оксида серебра.
ν(CO2) = 4,62 г / 44 г/моль = 0,105 моль
ν(H2O) = 0,81 г / 18 г/моль = 0,045 моль
ν(C) = ν(CO2) = 0,105 моль
ν(H) = 2·ν(H2O) = 2·0,045 = 0,09 моль
m(C) = 0,105 моль·12 г/моль = 1,26 г
m(H) = 0,09 моль·1 г/моль = 0,09 г
m(O) = 1,59 г − 1,26 г − 0,09 г = 0,24 г
ν(O) = 0,24 г / 16 г/моль = 0,015 моль
ν(C) : ν(H) : ν(O) = 0,105 : 0,09 : 0,015 = 7 : 6 : 1
Простейшая формула: C7H6O
Молекулярная формула: C7H6O
Структурная формула: 
Уравнение реакции:

При сгорании 2,65 г органического вещества получили 4,48 л углекислого газа (н.у.) и 2,25 г воды. Известно, что при окислении этого вещества сернокислым раствором перманганата калия образуется одноосновная кислота и выделяется углекислый газ.
На основании данных условия задания:
1) проведите необходимые вычисления (указывайте единицы измерения искомых физических величин) и установите молекулярную формулу органического вещества;
2) составьте возможную структурную формулу этого вещества, которая однозначно отражает порядок связи атомов в его молекуле;
3) напишите уравнение реакции окисления этого вещества сернокислым раствором перманганата калия.
ν(CO2) = 4,48 л / 22,4 л/моль = 0,2 моль
ν(H2O) = 2,25 г / 18 г/моль = 0,125 моль
ν(C) = ν(CO2) = 0,2 моль
ν(H) = 2·ν(H2O) = 2·0,125 = 0,25 моль
m(C) = 0,2·12 = 2,4 г
m(H) = 0,25·1 = 0,25 г
m(O) = 2,65 г − 2,4 г − 0,25 г = 0 г
ν(C) : ν(H) = 0,2 : 0,25 = 4 : 5
Простейшая формула: C4H5
Молекулярная формула: C8H10
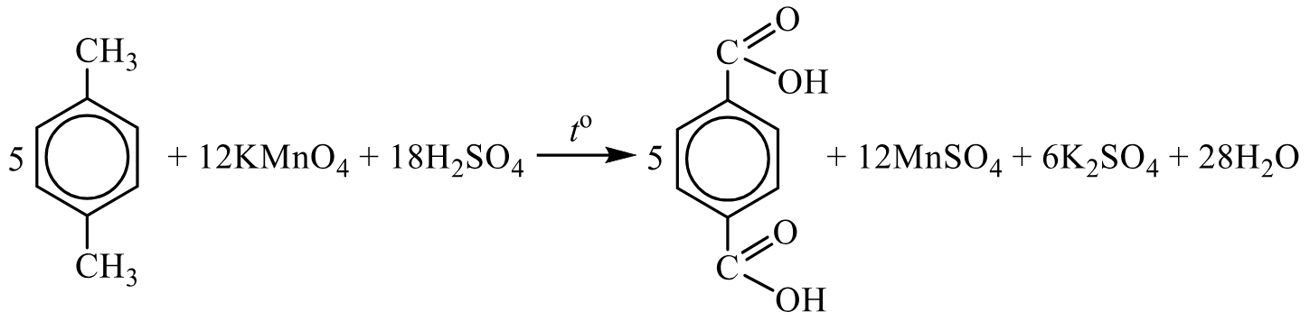
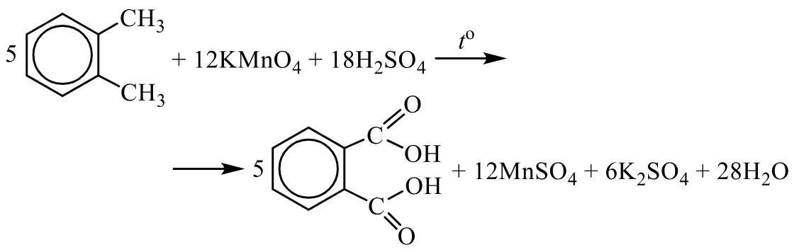
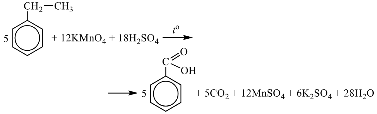
Структурная формула: C6H5–CH2–CH3
Уравнение реакции:
5C6H5CH2CH3 + 12KMnO4 + 18H2SO4 → 5C6H5COOH + 5CO2 + 6K2SO4 + 12MnSO4 + 28H2O
Органическое вещество А содержит 13,58% азота, 8,80% водорода и 31,03% кислорода по массе и образуется при взаимодействии органического вещества Б с этанолом в молярном соотношении 1 : 1. Известно, что вещество Б имеет природное происхождение и способно взаимодействовать как с кислотами, так и со щелочами.
При сгорании 1,59 г органического вещества получили 4,62 г углекислого газа и 810 мг воды. Известно, что это вещество реагирует с аммиачным раствором оксида серебра.
На основании данных условия задания:
1) проведите необходимые вычисления (указывайте единицы измерения искомых физических величин) и установите молекулярную формулу органического вещества;
2) составьте возможную структурную формулу этого вещества, которая однозначно отражает порядок связи атомов в его молекуле;
3) напишите уравнение реакции получения вещества А из вещества Б и этанола.
Примем m(A) = 100 г
m(C) = 100 г − 13,58 г − 8,80 г − 31,03 г = 46,59 г
ν(C) = 46,59 г / 12 г/моль ≈ 3,88 моль
ν(H) = 8,80 г / 1 г/моль = 8,80 моль
ν(N) = 13,58 г / 14 г/моль ≈ 0,97 моль
ν(O) = 31,03 г / 16 г/моль ≈ 1,94 моль
ν(C) : ν(H) : ν(N) : ν(O) = 3,88 : 8,80 : 0,97 : 1,94 ≈ 4 : 9 : 1 : 2
Простейшая и молекулярная формула вещества A: C4H9NO2
Структурная формула вещества А: H2N–CH2–COOC2H5
Уравнение реакции:
H2N–CH2–COOH + C2H5OH ⇄ H2N–CH2–COOC2H5 + H2O
При сгорании 4,12 г органического вещества получается 3,584 л углекислого газа (н.у.), 448 мл азота (н.у.) и 3,24 г воды. При нагревании с соляной кислотой данное вещество подвергается гидролизу, продуктами которого являются соединение состава С2H6NО2Cl и одноатомный спирт.
На основании данных условия задания:
1) проведите необходимые вычисления (указывайте единицы измерения искомых физических величин) и установите молекулярную формулу органического вещества;
2) составьте возможную структурную формулу этого вещества, которая однозначно отражает порядок связи атомов в его молекуле;
3) напишите уравнение реакции гидролиза исходного вещества в присутствии соляной кислоты.
ν(CO2) = 3,584 л / 22,4 л/моль = 0,16 моль
ν(N2) = 0,448 л / 22,4 л/моль = 0,02 моль
ν(H2O) = 3,24 г / 18 г/моль = 0,18 моль
ν(C) = 0,16 моль
ν(H) = 2·0,18 = 0,36 моль
ν(N) = 2·0,02 = 0,04 моль
m(C) = 0,16·12 = 1,92 г
m(H) = 0,36·1 = 0,36 г
m(N) = 0,04·14 = 0,56 г
m(O) = 4,12 − (1,92 + 0,36 + 0,56) = 1,28 г
ν(O) = 1,28 г / 16 г/моль = 0,08 моль
ν(C) : ν(H) : ν(N) : ν(O) = 0,16 : 0,36 : 0,04 : 0,08 = 4 : 9 : 1 : 2
Простейшая формула: C4H9NO2
Молекулярная формула: C4H9NO2
Структурная формула: 
Уравнение реакции гидролиза:

Органическое вещество А содержит 11,97% азота, 51,28% углерода и 27,35% кислорода по массе и образуется при взаимодействии органического вещества Б с пропанолом-1 в молярном соотношении 1 : 1. Известно, что вещество Б имеет природное происхождение и способно взаимодействовать как с кислотами, так и со щелочами.
На основании данных условия задания:
1) проведите необходимые вычисления (указывайте единицы измерения искомых физических величин) и установите молекулярную формулу органического вещества;
2) составьте возможную структурную формулу этого вещества, которая однозначно отражает порядок связи атомов в его молекуле;
3) напишите уравнение реакции получения вещества А из вещества Б и пропанола-1.
Примем m(A) = 100 г
m(N) = 11,97 г; m(C) = 51,28 г; m(O) = 27,35 г; m(H) = 100 − 11,97 − 51,28 − 27,35 = 9,40 г
ν(N) = 11,97 г / 14 г/моль ≈ 0,855 моль
ν(C) = 51,28 г / 12 г/моль ≈ 4,27 моль
ν(O) = 27,35 г / 16 г/моль ≈ 1,71 моль
ν(H) = 9,40 г / 1 г/моль = 9,40 моль
ν(C) : ν(H) : ν(N) : ν(O) ≈ 4,27 : 9,40 : 0,855 : 1,71 = 5 : 11 : 1 : 2
Простейшая формула: C5H11NO2
Молекулярная формула: C5H11NO2
Структурная формула A:

Уравнение реакции получения A:

При сгорании 4,68 г органического вещества получили 4,48 л углекислого газа (н.у.), 448 мл азота (н.у.) и 3,96 г воды. При нагревании с соляной кислотой данное вещество подвергается гидролизу, продуктами которого являются соединение состава С2H6NО2Cl и первичный спирт.
На основании данных условия задания:
1) проведите необходимые вычисления (указывайте единицы измерения искомых физических величин) и установите молекулярную формулу органического вещества;
2) составьте возможную структурную формулу этого вещества, которая однозначно отражает порядок связи атомов в его молекуле;
3) напишите уравнение реакции гидролиза исходного вещества в присутствии соляной кислоты.
ν(CO2) = 4,48 л / 22,4 л/моль = 0,2 моль
ν(N2) = 0,448 л / 22,4 л/моль = 0,02 моль
ν(H2O) = 3,96 г / 18 г/моль = 0,22 моль
ν(C) = ν(CO2) = 0,2 моль
ν(H) = 2·ν(H2O) = 2·0,22 = 0,44 моль
ν(N) = 2·ν(N2) = 2·0,02 = 0,04 моль
m(C) = 0,2·12 = 2,4 г
m(H) = 0,44·1 = 0,44 г
m(N) = 0,04·14 = 0,56 г
m(O) = 4,68 − (2,4 + 0,44 + 0,56) = 1,28 г
ν(O) = 1,28 г / 16 г/моль = 0,08 моль
ν(C) : ν(H) : ν(N) : ν(O) = 0,2 : 0,44 : 0,04 : 0,08 = 5 : 11 : 1 : 2
Простейшая и молекулярная формула: C5H11NO2
Структурная формула:

Уравнение гидролиза:

Органическое вещество А содержит 11,97% азота, 9,40% водорода и 27,35% кислорода по массе и образуется при взаимодействии органического вещества Б с пропанолом-2 в молярном соотношении 1 : 1. Известно, что вещество Б имеет природное происхождение и способно взаимодействовать как с кислотами, так и со щелочами.
На основании данных условия задания:
1) проведите необходимые вычисления (указывайте единицы измерения искомых физических величин) и установите молекулярную формулу органического вещества;
2) составьте возможную структурную формулу этого вещества, которая однозначно отражает порядок связи атомов в его молекуле;
3) напишите уравнение реакции получения вещества А из вещества Б и пропанола-2.
Примем m(A) = 100 г
m(N) = 11,97 г; m(H) = 9,40 г; m(O) = 27,35 г; m(C) = 51,28 г
ν(C) = 51,28 г / 12 г/моль ≈ 4,27 моль
ν(H) = 9,40 г / 1 г/моль = 9,40 моль
ν(N) = 11,97 г / 14 г/моль ≈ 0,855 моль
ν(O) = 27,35 г / 16 г/моль ≈ 1,71 моль
ν(C) : ν(H) : ν(N) : ν(O) ≈ 4,27 : 9,40 : 0,855 : 1,71 ≈ 5 : 11 : 1 : 2
Простейшая формула: C5H11NO2
Молекулярная формула: C5H11NO2
Структурная формула: 
Уравнение реакции

При сгорании 40,95 г органического вещества получили 39,2 л углекислого газа (н.у.), 3,92 л азота (н.у.) и 34,65 г воды. При нагревании с соляной кислотой данное вещество подвергается гидролизу, продуктами которого являются соединение состава С2H6NО2Cl и вторичный спирт.
На основании данных условия задания:
1) проведите необходимые вычисления (указывайте единицы измерения искомых физических величин) и установите молекулярную формулу органического вещества;
2) составьте возможную структурную формулу этого вещества, которая однозначно отражает порядок связи атомов в его молекуле;
3) напишите уравнение реакции гидролиза исходного вещества в присутствии соляной кислоты.
ν(CO2) = 39,2 л / 22,4 л/моль = 1,75 моль
ν(N2) = 3,92 л / 22,4 л/моль = 0,175 моль
ν(H2O) = 34,65 г / 18 г/моль = 1,925 моль
ν(C) = ν(CO2) = 1,75 моль
ν(N) = 2·ν(N2) = 2·0,175 = 0,35 моль
ν(H) = 2·ν(H2O) = 2·1,925 = 3,85 моль
m(C) = 1,75 моль·12 г/моль = 21,0 г
m(H) = 3,85 моль·1 г/моль = 3,85 г
m(N) = 0,35 моль·14 г/моль = 4,9 г
m(O) = 40,95 г − 21,0 г − 3,85 г − 4,9 г = 11,2 г
ν(O) = 11,2 г / 16 г/моль = 0,7 моль
ν(C) : ν(H) : ν(N) : ν(O) = 1,75 : 3,85 : 0,35 : 0,7 = 5 : 11 : 1 : 2
Простейшая формула: C5H11NO2
Молекулярная формула: 
Структурная формула: H2N–CH2–COO–CH(CH3)2

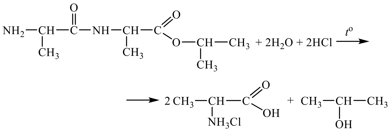
При сжигании образца дипептида природного происхождения массой 6,4 г получено 5,376 л углекислого газа (н.у.), 4,32 г воды и 896 мл азота (н.у.). При гидролизе данного дипептида в присутствии соляной кислоты образуется только одна соль.
На основании данных условия задания:
1) проведите необходимые вычисления (указывайте единицы измерения искомых физических величин) и установите молекулярную формулу органического вещества;
2) составьте возможную структурную формулу этого вещества, которая однозначно отражает порядок связи атомов в его молекуле;
3) напишите уравнение реакции гидролиза дипептида в присутствии соляной кислоты.
ν(CO2) = 5,376 л / 22,4 л/моль = 0,24 моль
ν(H2O) = 4,32 г / 18 г/моль = 0,24 моль
ν(N2) = 0,896 л / 22,4 л/моль = 0,04 моль
ν(C) = 0,24 моль
ν(H) = 2·0,24 = 0,48 моль
ν(N) = 2·0,04 = 0,08 моль
m(C) = 0,24·12 = 2,88 г
m(H) = 0,48·1 = 0,48 г
m(N) = 0,08·14 = 1,12 г
m(O) = 6,4 г − 2,88 г − 0,48 г − 1,12 г = 1,92 г
ν(O) = 1,92 г / 16 г/моль = 0,12 моль
ν(C) : ν(H) : ν(N) : ν(O) = 0,24 : 0,48 : 0,08 : 0,12 = 6 : 12 : 2 : 3
Простейшая формула: C6H12N2O3
Молекулярная формула: C6H12N2O3
Структурная формула: 
Уравнение реакции:

При сжигании образца органического вещества массой 7,5 г получили 10,08 л углекислого газа (н.у.) и 4,5 г воды. Данное вещество вступает в реакцию с раствором гидроксида калия при нагревании, один из продуктов этой реакции имеет состав C7H5O2K.
На основании данных условия задания:
1) проведите необходимые вычисления (указывайте единицы измерения искомых физических величин) и установите молекулярную формулу органического вещества;
2) составьте возможную структурную формулу этого вещества, которая однозначно отражает порядок связи атомов в его молекуле;
3) напишите уравнение реакции данного вещества с раствором гидроксида калия при нагревании.
ν(CO2) = 10,08 л / 22,4 л/моль = 0,45 моль
ν(H2O) = 4,5 г / 18 г/моль = 0,25 моль
ν(C) = ν(CO2) = 0,45 моль
ν(H) = 2·ν(H2O) = 2·0,25 = 0,50 моль
m(C) = 0,45·12 г/моль = 5,4 г
m(H) = 0,50·1 г/моль = 0,5 г
m(O) = 7,5 г − 5,4 г − 0,5 г = 1,6 г
ν(O) = 1,6 г / 16 г/моль = 0,10 моль
ν(C) : ν(H) : ν(O) = 0,45 : 0,50 : 0,10 = 9 : 10 : 2
Простейшая формула: C9H10O2
M = 9·12 + 10·1 + 2·16 = 150 г/моль
ν(вещества) = 7,5 г / 150 г/моль = 0,05 моль
Молекулярная формула: C9H10O2
Структурная формула: 
Уравнение реакции:

Органическое вещество А содержит 10,68% азота, 54,94% углерода и 24,39% кислорода по массе и образуется при взаимодействии органического вещества Б с пропанолом-1 в молярном соотношении 1 : 1. Известно, что вещество Б имеет природное происхождение и способно взаимодействовать как с кислотами, так и со щелочами.
На основании данных условия задания:
1) проведите необходимые вычисления (указывайте единицы измерения искомых физических величин) и установите молекулярную формулу органического вещества;
2) составьте возможную структурную формулу этого вещества, которая однозначно отражает порядок связи атомов в его молекуле;
3) напишите уравнение реакции получения вещества А из вещества Б и пропанола-1.
Примем m(A) = 100 г
m(C) = 54,94 г; m(H) = 9,99 г; m(N) = 10,68 г; m(O) = 24,39 г
ν(C) = 54,94 г / 12 г/моль ≈ 4,58 моль
ν(H) = 9,99 г / 1 г/моль = 9,99 моль
ν(N) = 10,68 г / 14 г/моль ≈ 0,76 моль
ν(O) = 24,39 г / 16 г/моль ≈ 1,52 моль
ν(C) : ν(H) : ν(N) : ν(O) ≈ 4,58 : 9,99 : 0,76 : 1,52 ≈ 6 : 13 : 1 : 2
Простейшая формула: C6H13NO2
Молекулярная формула: C6H13NO2
Структурная формула:

Уравнение реакции:

При взаимодействии соли первичного амина с нитратом серебра образуется органическое вещество А и бромид серебра. Вещество А содержит 25,93% азота, 22,22% углерода и 44,44% кислорода по массе.
На основании данных условия задания:
1) проведите необходимые вычисления (указывайте единицы измерения искомых физических величин) и установите молекулярную формулу органического вещества;
2) составьте возможную структурную формулу этого вещества, которая однозначно отражает порядок связи атомов в его молекуле;
3) напишите уравнение реакции получения вещества А взаимодействием соли первичного амина и нитрата серебра.
Примем m(A) = 100 г
m(N) = 25,93 г; m(C) = 22,22 г; m(O) = 44,44 г; m(H) = 100 − 25,93 − 22,22 − 44,44 = 7,41 г
ν(C) = 22,22 г / 12 г/моль ≈ 1,85 моль
ν(N) = 25,93 г / 14 г/моль ≈ 1,85 моль
ν(O) = 44,44 г / 16 г/моль ≈ 2,78 моль
ν(H) = 7,41 г / 1 г/моль = 7,41 моль
ν(C) : ν(N) : ν(O) : ν(H) ≈ 1,85 : 1,85 : 2,78 : 7,41
Делим на 1,85: C : N : O : H ≈ 1 : 1 : 1,5 : 4
Умножаем на 2: C : N : O : H = 2 : 2 : 3 : 8
Молекулярная формула: C2H8N2O3
Структурная формула: CH3–CH2–NH3NO3
Уравнение реакции:
C2H5NH3Br + AgNO3 → C2H5NH3NO3 + AgBr↓
При сжигании образца органического вещества массой 3,75 г получили 5,04 л углекислого газа (н.у.) и 2,25 г воды. Данное вещество вступает в реакцию с раствором гидроксида натрия при нагревании, один из продуктов этой реакции имеет состав C7H5O2Na.
На основании данных условия задания:
1) проведите необходимые вычисления (указывайте единицы измерения искомых физических величин) и установите молекулярную формулу органического вещества;
2) составьте возможную структурную формулу этого вещества, которая однозначно отражает порядок связи атомов в его молекуле;
3) напишите уравнение реакции данного вещества с раствором гидроксида натрия при нагревании.
ν(CO2) = 5,04 л / 22,4 л/моль = 0,225 моль
ν(H2O) = 2,25 г / 18 г/моль = 0,125 моль
ν(C) = ν(CO2) = 0,225 моль
ν(H) = 2·ν(H2O) = 2·0,125 = 0,25 моль
m(C) = 0,225 моль·12 г/моль = 2,7 г
m(H) = 0,25 моль·1 г/моль = 0,25 г
m(O) = 3,75 г − 2,7 г − 0,25 г = 0,8 г
ν(O) = 0,8 г / 16 г/моль = 0,05 моль
ν(C) : ν(H) : ν(O) = 0,225 : 0,25 : 0,05 = 4,5 : 5 : 1 = 9 : 10 : 2
Простейшая формула: C9H10O2
Молекулярная формула: C9H10O2
Структурная формула: 
Уравнение реакции:

При сгорании 16,2 г органического вещества нециклического строения получили 26,88 л (н.у.) глекислого газа и 16,2 г воды. Известно, что 1 моль этого органического вещества в присутствии катализатора присоединяет только 1 моль воды и данное вещество не реагирует с аммиачным раствором оксида серебра.
На основании данных условия задания:
1) проведите необходимые вычисления (указывайте единицы измерения искомых физических величин) и установите молекулярную формулу органического вещества;
2) составьте возможную структурную формулу этого вещества, которая однозначно отражает порядок связи атомов в его молекуле;
3) напишите уравнение реакции гидратации органического вещества.
ν(CO2) = 26,88 л / 22,4 л/моль = 1,2 моль
ν(H2O) = 16,2 г / 18 г/моль = 0,9 моль
ν(C) = ν(CO2) = 1,2 моль
ν(H) = 2·ν(H2O) = 2·0,9 = 1,8 моль
m(C) = 1,2·12 г/моль = 14,4 г
m(H) = 1,8·1 г/моль = 1,8 г
m(O) = 16,2 г − 14,4 г − 1,8 г = 0 г
ν(C) : ν(H) = 1,2 : 1,8 = 2 : 3
Простейшая формула: C2H3
Молекулярная формула: C4H6
Структурная формула: CH3–C≡C–CH3
Уравнение реакции гидратации:

При сгорании 42 г органического вещества получили 61,6 г углекислого газа и 25,2 г воды. Известно, что это вещество не взаимодействует с цинком, но реагирует с водным раствором гидроксида натрия.
На основании данных условия задания:
1) проведите необходимые вычисления (указывайте единицы измерения искомых физических величин) и установите молекулярную формулу органического вещества;
2) составьте возможную структурную формулу этого вещества, которая однозначно отражает порядок связи атомов в его молекуле;
3) напишите уравнение реакции данного вещества с водным раствором гидроксида натрия.
ν(CO2) = 61,6 г / 44 г/моль = 1,4 моль
ν(H2O) = 25,2 г / 18 г/моль = 1,4 моль
ν(C) = ν(CO2) = 1,4 моль
ν(H) = 2·ν(H2O) = 2·1,4 = 2,8 моль
m(C) = 1,4·12 = 16,8 г
m(H) = 2,8·1 = 2,8 г
m(O) = 42 − 16,8 − 2,8 = 22,4 г
ν(O) = 22,4 г / 16 г/моль = 1,4 моль
ν(C) : ν(H) : ν(O) = 1,4 : 2,8 : 1,4 = 1 : 2 : 1
Простейшая формула: CH2O
Структурная формула: HCOOCH3
Уравнение реакции с NaOH: HCOOCH3 + NaOH → HCOONa + CH3OH
Некоторое органическое соединение содержит 13,3% водорода и 26,7% кислорода по массе. Известно, что это вещество реагирует с кальцием, а в результате его окисления образуется альдегид.
На основании данных условия задания:
1) проведите необходимые вычисления (указывайте единицы измерения искомых физических величин) и установите молекулярную формулу органического вещества;
2) составьте возможную структурную формулу этого вещества, которая однозначно отражает порядок связи атомов в его молекуле;
3) напишите уравнение реакции этого вещества с кальцием.
Примем m(вещества) = 100 г
m(H) = 13,3 г; m(O) = 26,7 г; m(C) = 100 − 13,3 − 26,7 = 60,0 г
ν(C) = 60,0 г / 12 г/моль = 5,0 моль
ν(H) = 13,3 г / 1 г/моль = 13,3 моль
ν(O) = 26,7 г / 16 г/моль ≈ 1,66875 моль
ν(C) : ν(H) : ν(O) = 5,0 : 13,3 : 1,66875 ≈ 3 : 8 : 1
Простейшая формула: C3H8O
Молекулярная формула: C3H8O
Структурная формула: CH3–CH2–CH2OH
Уравнение реакции с кальцием:
Ca + 2CH3–CH2–CH2OH → Ca(OCH2–CH2–CH3)2 + H2↑
При сгорании 63 г органического вещества, в молекуле которого содержится один третичный атом углерода, получили 100,8 л углекислого газа (н.у.) и 81 г воды. Относительная плотность паров этого вещества по этилену равна 3. Известно, что это вещество не взаимодействует с водой, но реагирует с бромом на свету.
На основании данных условия задания:
1) проведите необходимые вычисления (указывайте единицы измерения искомых физических величин) и установите молекулярную формулу органического вещества;
2) составьте возможную структурную формулу этого вещества, которая однозначно отражает порядок связи атомов в его молекуле;
3) напишите уравнение реакции вещества с бромом.
ν(CO2) = 100,8 л / 22,4 л/моль = 4,5 моль
ν(H2O) = 81 г / 18 г/моль = 4,5 моль
ν(C) = ν(CO2) = 4,5 моль
ν(H) = 2·ν(H2O) = 2·4,5 = 9 моль
m(C) = 4,5·12 г/моль = 54 г
m(H) = 9·1 г/моль = 9 г
m(вещества) = 63 г, m(C) + m(H) = 54 г + 9 г = 63 г ⇒ кислорода в молекуле нет
ν(C) : ν(H) = 4,5 : 9 = 1 : 2
Простейшая формула: CH2
D по C2H4 = 3 ⇒ M(вещества) = 3·28 г/моль = 84 г/моль
M(CH2) = 14 г/моль, 84 / 14 = 6
Молекулярная формула: C6H12
Структурная формула: 
Уравнение реакции:

Некоторый углеводород, в молекуле которого отсутствуют третичные и четвертичные атомы углерода, содержит 14,3% водорода по массе. Относительная плотность паров этого вещества по азоту равна 3. Известно, что этот углеводород вступает с хлором только в реакцию замещения.
На основании данных условия задания:
1) проведите необходимые вычисления (указывайте единицы измерения искомых физических величин) и установите молекулярную формулу органического вещества;
2) составьте возможную структурную формулу этого вещества, которая однозначно отражает порядок связи атомов в его молекуле;
3) напишите уравнение реакции этого вещества с хлором.
M = 3·28 = 84 г/моль
ω(H) = 14,3% ⇒ m(H) = 0,143·84 = 12 г
m(C) = 84 − 12 = 72 г
ν(C) : ν(H) = 72/12 : 12/1 = 6 : 12
Простейшая формула: CH2
Молекулярная формула: C6H12
Структурная формула: 
Уравнение реакции:

При взаимодействии соли первичного амина с ацетатом серебра образуется органическое вещество А и бромид серебра. Вещество А содержит 13,33% азота, 30,48% кислорода и 10,48% водорода по массе.
На основании данных условия задания:
1) проведите необходимые вычисления (указывайте единицы измерения искомых физических величин) и установите молекулярную формулу органического вещества;
2) составьте возможную структурную формулу этого вещества, которая однозначно отражает порядок связи атомов в его молекуле;
3) напишите уравнение реакции получения вещества А взаимодействием соли первичного амина и ацетата серебра.
Примем m = 100 г
m(C) = 100 г − 13,33 г − 30,48 г − 10,48 г = 45,71 г
ν(C) = 45,71 г / 12 г/моль ≈ 3,81 моль
ν(H) = 10,48 г / 1 г/моль = 10,48 моль
ν(N) = 13,33 г / 14 г/моль ≈ 0,95 моль
ν(O) = 30,48 г / 16 г/моль = 1,91 моль
ν(C) : ν(H) : ν(N) : ν(O) ≈ 4 : 11 : 1 : 2
Простейшая формула: C4H11NO2
Молекулярная формула: C4H11NO2
Структурная формула: 
Уравнение реакции:

При сжигании образца органического вещества А получено 5,28 г углекислого газа, 0,54 г воды и 2,688 л (н.у.) хлороводорода. Данное вещество А может быть получено присоединением избытка хлора к соответствующему углеводороду Б. Также известно, что при хлорировании этого углеводорода Б в условиях недостатка хлора возможно образование структурных изомеров.
На основании данных условия задания:
1) проведите необходимые вычисления (указывайте единицы измерения искомых физических величин) и установите молекулярную формулу органического вещества;
2) составьте возможную структурную формулу этого вещества, которая однозначно отражает порядок связи атомов в его молекуле;
3) напишите уравнение реакции получения данного вещества А взаимодействием соответствующего углеводорода Б с избытком хлора.
ν(CO2) = 5,28 г / 44 г/моль = 0,12 моль
ν(H2O) = 0,54 г / 18 г/моль = 0,03 моль
ν(HCl) = 2,688 л / 22,4 л/моль = 0,12 моль
n(C) = n(CO₂) = 0,12 моль
n(H) = 2·n(H₂O) + n(HCl) = 2·0,03 + 0,12 = 0,18 моль
(водород входит и в H₂O, и в HCl)
n(Cl) = n(HCl) = 0,12 моль
n(C) : n(H) : n(Cl) = 0,12 : 0,18 : 0,12 = 1 : 1,5 : 1 = 2 : 3 : 2
Простейшая формула: C2H3Cl2
Молекулярная формула: C4H6Cl4
Структурная формула:

Уравнение реакции получения A из B:

Некоторое вещество было получено при окислении углеводорода состава C5H8 перманганатом калия в присутствии серной кислоты. Это вещество содержит 61,54% кислорода, 34,62% углерода и 3,84% водорода по массе.
На основании данных условия задания:
1) проведите необходимые вычисления (указывайте единицы измерения искомых физических величин) и установите молекулярную формулу органического вещества;
2) составьте возможную структурную формулу этого вещества, которая однозначно отражает порядок связи атомов в его молекуле;
3) напишите уравнение получения этого вещества окислением соответствующего углеводорода состава C5H8 перманганатом калия в присутствии серной кислоты.
1) Установление молекулярной формулы
Найдем соотношение атомов (на 100 г вещества):
n(C) = 34,62 г / 12 г/моль = 2,885 моль
n(H) = 3,84 г / 1 г/моль = 3,84 моль
n(O) = 61,54 г / 16 г/моль = 3,846 моль
Соотношение:
n(C) : n(H) : n(O) = 2,885 : 3,84 : 3,846 = 1 : 1,33 : 1,33 = 3 : 4 : 4
Простейшая формула: C3H4O4
Молекулярная формула: C3H4O4
Структурная формула: HOOC-CH2-COOH
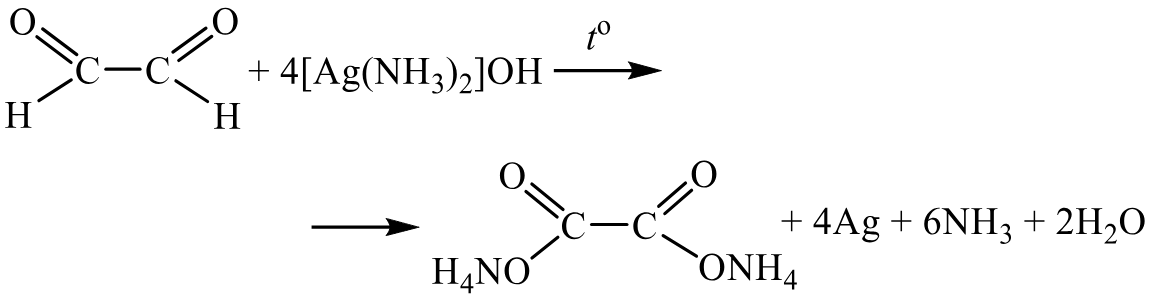
Уравнение реакции:
CH₂=CH-CH₂-CH=CH₂ + 4KMnO₄ + 6H₂SO₄ → HOOC-CH₂-COOH + 2CO₂ + 4MnSO₄ + 2K₂SO₄ + 8H₂O
При взаимодействии соли первичного амина с ацетатом серебра образуется органическое вещество А и хлорид серебра. Вещество А содержит 45,71% углерода, 13,33% азота и 30,48% кислорода по массе.
На основании данных условия задания:
1) проведите необходимые вычисления (указывайте единицы измерения искомых физических величин) и установите молекулярную формулу органического вещества;
2) составьте возможную структурную формулу этого вещества, которая однозначно отражает порядок связи атомов в его молекуле;
3) напишите уравнение реакции получения вещества А взаимодействием соли первичного амина и ацетата серебра.
Найдем массовую долю водорода:
ω(H) = 100% — 45,71% — 13,33% — 30,48% = 10,48%
Найдем соотношение атомов (на 100 г вещества):
n(C) = 45,71 г / 12 г/моль = 3,809 моль
n(H) = 10,48 г / 1 г/моль = 10,48 моль
n(N) = 13,33 г / 14 г/моль = 0,952 моль
n(O) = 30,48 г / 16 г/моль = 1,905 моль
Соотношение:
n(C) : n(H) : n(N) : n(O) = 3,809 : 10,48 : 0,952 : 1,905 = 4 : 11 : 1 : 2
Молекулярная формула: C4H11NO2
Структурная формула: 
Уравнение реакции:
При взаимодействии соли первичного амина с ацетатом серебра образуется органическое вещество А и бромид серебра. Вещество А содержит 15,38% азота, 39,56% углерода и 35,16% кислорода по массе.
На основании данных условия задания:
1) проведите необходимые вычисления (указывайте единицы измерения искомых физических величин) и установите молекулярную формулу органического вещества;
2) составьте возможную структурную формулу этого вещества, которая однозначно отражает порядок связи атомов в его молекуле;
3) напишите уравнение реакции получения вещества А взаимодействием соли первичного амина и ацетата серебра.
Найдем массовую долю водорода:
ω(H) = 100% — 39,56% — 15,38% — 35,16% = 9,90%
Найдем соотношение атомов (на 100 г вещества):
n(C) = 39,56 г / 12 г/моль = 3,297 моль
n(H) = 9,90 г / 1 г/моль = 9,90 моль
n(N) = 15,38 г / 14 г/моль = 1,099 моль
n(O) = 35,16 г / 16 г/моль = 2,198 моль
Соотношение:
n(C) : n(H) : n(N) : n(O) = 3,297 : 9,90 : 1,099 : 2,198= 3 : 9 : 1 : 2
Молекулярная формула: C3H9NO2
Структурная формула: 
Уравнение реакции:

Некоторое вещество было получено при окислении углеводорода состава C5H8 перманганатом калия в присутствии серной кислоты. При сжигании образца этого вещества массой 26 г получено 33 г углекислого газа и 9 г воды.
На основании данных условия задания:
1) проведите необходимые вычисления (указывайте единицы измерения искомых физических величин) и установите молекулярную формулу органического вещества;
2) составьте возможную структурную формулу этого вещества, которая однозначно отражает порядок связи атомов в его молекуле;
3) напишите уравнение получения этого вещества окислением соответствующего углеводорода состава C5H8 перманганатом калия в присутствии серной кислоты.
Найдем количества веществ продуктов сгорания:
n(CO₂) = 33 г / 44 г/моль = 0,75 моль
n(H₂O) = 9 г / 18 г/моль = 0,5 моль
Найдем массы элементов:
m(C) = n(CO₂) × 12 г/моль = 0,75 × 12 = 9 г
m(H) = n(H₂O) × 2 г/моль = 0,5 × 2 = 1 г
Проверим наличие кислорода:
m(C) + m(H) = 9 + 1 = 10 г < 26 г
m(O) = 26 — 10 = 16 г
n(O) = 16 г / 16 г/моль = 1 моль
Найдем соотношение атомов:
n(C) : n(H) : n(O) = 0,75 : 1 : 1 = 1 : 1,33 : 1,33 = 3 : 4 : 4
Молекулярная формула: C3H4O4
Структурная формула:
HOOC-CH2-COOH
Уравнение реакции:
CH2=CH-CH2-CH=CH2 + 4KMnO4 + 6H2SO4 → HOOC-CH2-COOH + 2CO2 + 4MnSO4 + 2K2SO4 + 8H2O
При сжигании образца органического вещества А получено 4,48 л (н.у.) углекислого газа, 0,9 г воды и 16,2 г бромоводорода. Данное вещество А может быть получено присоединением избытка брома к соответствующему углеводороду Б. Также известно, что при бромировании этого углеводорода Б в условиях недостатка брома возможно образование структурных изомеров.
На основании данных условия задания:
1) проведите необходимые вычисления (указывайте единицы измерения искомых физических величин) и установите молекулярную формулу органического вещества;
2) составьте возможную структурную формулу этого вещества, которая однозначно отражает порядок связи атомов в его молекуле;
3) напишите уравнение реакции получения данного вещества А взаимодействием соответствующего углеводорода Б с избытком брома.
Найдем количества веществ продуктов сгорания:
n(CO₂) = 4,48 л / 22,4 л/моль = 0,2 моль
n(H₂O) = 0,9 г / 18 г/моль = 0,05 моль
n(HBr) = 16,2 г / 81 г/моль = 0,2 моль
Найдем количества атомов элементов в веществе А:
n(C) = n(CO₂) = 0,2 моль
n(H) = 2 × n(H₂O) + n(HBr) = 2 × 0,05 + 0,2 = 0,3 моль
n(Br) = n(HBr) = 0,2 моль
Найдем соотношение атомов:
n(C) : n(H) : n(Br) = 0,2 : 0,3 : 0,2 = 1 : 1,5 : 1 = 2 : 3 : 2
Простейшая формула: C2H3Br2
Молекулярная формула: C4H6Br4
Структурная формула:

Уравнение реакции:

Некоторое органическое вещество содержит 72% углерода, 6,67% водорода и 21,33% кислорода по массе. Данное вещество подвергается гидролизу под действием гидроксида калия с образованием двух солей.
На основании данных условия задания:
1) проведите необходимые вычисления (указывайте единицы измерения искомых физических величин) и установите молекулярную формулу органического вещества;
2) составьте возможную структурную формулу этого вещества, которая однозначно отражает порядок связи атомов в его молекуле;
3) напишите уравнение гидролиза данного вещества в присутствии гидроксида калия.
Найдем количество вещества каждого элемента в 100 г вещества:
m(C) = 72 г
m(H) = 6,67 г
m(O) = 21,33 г
n(C) = 72 г / 12 г/моль = 6 моль
n(H) = 6,67 г / 1 г/моль = 6,67 моль
n(O) = 21,33 г / 16 г/моль = 1,33 моль
n(C) : n(H) : n(O) = 6 : 6,67 : 1,33 = 4,5 : 5 : 1 = 9 : 10 : 2
Простейшая формула: C9H10O2
Молекулярная формула: C9H10O2
Структурная формула:

Уравнение реакции гидролиза:

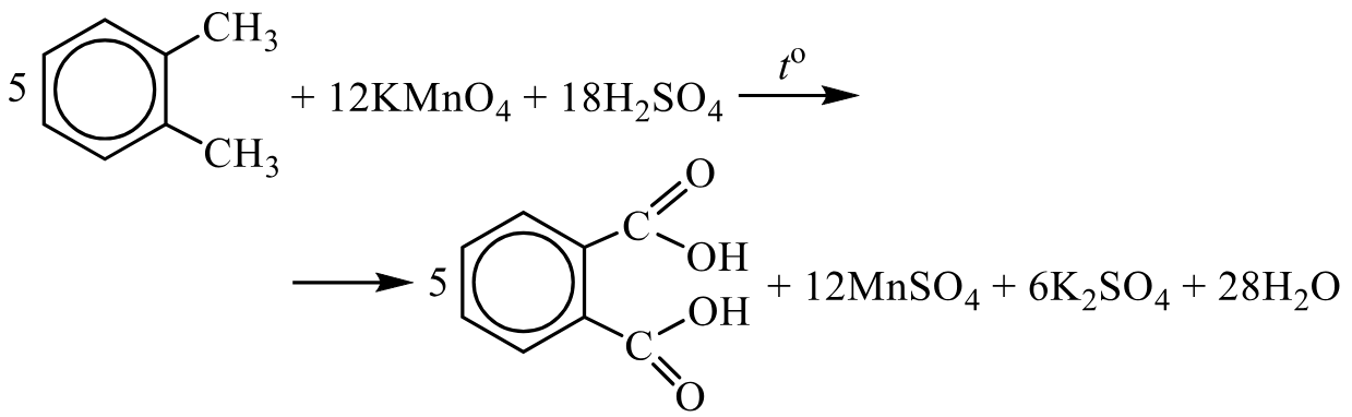
При сжигании образца органического вещества А получено 4,4 г углекислого газа, 0,72 г воды и 1,792 л (н.у.) хлороводорода. Данное вещество А может быть получено присоединением избытка хлора к соответствующему углеводороду Б. Также известно, что при хлорировании этого углеводорода Б в условиях недостатка хлора возможно образование структурных изомеров.
На основании данных условия задания:
1) проведите необходимые вычисления (указывайте единицы измерения искомых физических величин) и установите молекулярную формулу органического вещества;
2) составьте возможную структурную формулу этого вещества, которая однозначно отражает порядок связи атомов в его молекуле;
3) напишите уравнение реакции получения данного вещества А взаимодействием соответствующего углеводорода Б с избытком хлора.
ν(CO2) = 4,4 г / 44 г/моль = 0,1 моль
ν(H2O) = 0,72 г / 18 г/моль = 0,04 моль
ν(HCl) = 1,792 л / 22,4 л/моль = 0,08 моль
n(C) = n(CO2) = 0,1 моль
n(H) = 2·n(H2O) + n(HCl) = 2·0,04 + 0,08 = 0,16 моль
n(Cl) = n(HCl) = 0,08 моль
n(C) : n(H) : n(Cl) = 0,1 : 0,16 : 0,08 = 1,25 : 2 : 1 = 5 : 8 : 4
Простейшая формула: C5H8Cl4
M(C5H8Cl4) = 5·12 + 8·1 + 4·35,5 = 60 + 8 + 142 = 210 г/моль
Молекулярная формула: C5H8Cl4
Структурная формула:

Уравнение реакции получения А из Б:

При сгорании 21,2 г органического вещества получили 35,84 л (н.у.) углекислого газа и 18 г воды. Известно, что в результате окисления этого вещества сернокислым раствором перманганата калия образуется двухосновная карбоновая кислота, в молекуле которой карбоксильные группы максимально удалены друг от друга, а количество атомов углерода такое же, как в исходном веществе.
На основании данных условия задания:
1) проведите необходимые вычисления (указывайте единицы измерения искомых физических величин) и установите молекулярную формулу органического вещества;
2) составьте возможную структурную формулу этого вещества, которая однозначно отражает порядок связи атомов в его молекуле;
3) напишите уравнение реакции окисления данного вещества сернокислым раствором перманганата калия.
ν(CO2) = 35,84 л / 22,4 л/моль = 1,6 моль
ν(H2O) = 18 г / 18 г/моль = 1 моль
n(C) = n(CO2) = 1,6 моль
m(C) = 1,6 моль · 12 г/моль = 19,2 г
n(H) = 2·n(H2O) = 2·1 = 2 моль
m(H) = 2 моль · 1 г/моль = 2 г
m(O) = 21,2 г − 19,2 г − 2 г = 0 г
n(C) : n(H) = 1,6 : 2 = 4 : 5
Простейшая формула: C4H5
Молекулярная формула: C8H10
Структурная формула:

Уравнение реакции окисления:

При сгорании 6,1 г органического вещества получили 7,84 л (н.у.) углекислого газа и 2,7 г воды. Известно, что это вещество взаимодействует с кальцием и может быть получено окислением соответствующего углеводорода раствором перманганата калия в присутствии серной кислоты.
На основании данных условия задания:
1) проведите необходимые вычисления (указывайте единицы измерения искомых физических величин) и установите молекулярную формулу органического вещества;
2) составьте возможную структурную формулу этого вещества, которая однозначно отражает порядок связи атомов в его молекуле;
3) напишите уравнение реакции этого вещества с кальцием.
ν(CO2) = 7,84 л / 22,4 л/моль = 0,35 моль
ν(H2O) = 2,7 г / 18 г/моль = 0,15 моль
n(C) = n(CO2) = 0,35 моль
m(C) = 0,35 моль · 12 г/моль = 4,2 г
n(H) = 2·n(H2O) = 2·0,15 = 0,3 моль
m(H) = 0,3 моль · 1 г/моль = 0,3 г
m(O) = 6,1 г − 4,2 г − 0,3 г = 1,6 г
n(O) = 1,6 г / 16 г/моль = 0,1 моль
n(C) : n(H) : n(O) = 0,35 : 0,3 : 0,1 = 3,5 : 3 : 1 = 7 : 6 : 2
Простейшая формула: C7H6O2
M(C7H6O2) = 7·12 + 6·1 + 2·16 = 84 + 6 + 32 = 122 г/моль
Молекулярная формула: C7H6O2
Структурная формула:
C6H5—COOH
Уравнение реакции с кальцием:
2C6H5COOH + Ca → (C6H5COO)2Ca + H2↑
При сгорании 43,2 г органического вещества получили 62,72 л (н.у.) углекислого газа и 28,8 г воды. Известно, что это вещество взаимодействует с оксидом меди(II), но не взаимодействует с гидроксидом натрия.
На основании данных условия задания:
1) проведите необходимые вычисления (указывайте единицы измерения искомых физических величин) и установите молекулярную формулу органического вещества;
2) составьте возможную структурную формулу этого вещества, которая однозначно отражает порядок связи атомов в его молекуле;
3) напишите уравнение реакции этого вещества с оксидом меди(II).
ν(CO2) = 62,72 л / 22,4 л/моль = 2,8 моль
ν(H2O) = 28,8 г / 18 г/моль = 1,6 моль
n(C) = n(CO2) = 2,8 моль
m(C) = 2,8 моль · 12 г/моль = 33,6 г
n(H) = 2·n(H2O) = 2·1,6 = 3,2 моль
m(H) = 3,2 моль · 1 г/моль = 3,2 г
m(O) = 43,2 г − 33,6 г − 3,2 г = 6,4 г
n(O) = 6,4 г / 16 г/моль = 0,4 моль
n(C) : n(H) : n(O) = 2,8 : 3,2 : 0,4 = 7 : 8 : 1
Простейшая формула: C7H8O
M(C7H8O) = 7·12 + 8·1 + 1·16 = 84 + 8 + 16 = 108 г/моль
Молекулярная формула: C7H8O
Структурная формула:
C6H5—CH2—OH
Уравнение реакции с оксидом меди(II):

При сгорании 3,18 г органического вещества получили 9,24 г углекислого газа и 1,62 г воды. Известно, что это вещество реагирует с гидроксидом меди(II).
На основании данных условия задания:
1) проведите необходимые вычисления (указывайте единицы измерения искомых физических величин) и установите молекулярную формулу органического вещества;
2) составьте возможную структурную формулу этого вещества, которая однозначно отражает порядок связи атомов в его молекуле;
3) напишите уравнение реакции этого вещества с гидроксидом меди(II).
ν(CO2) = 9,24 г / 44 г/моль = 0,21 моль
ν(H2O) = 1,62 г / 18 г/моль = 0,09 моль
n(C) = n(CO2) = 0,21 моль
m(C) = 0,21 моль · 12 г/моль = 2,52 г
n(H) = 2·n(H2O) = 2·0,09 = 0,18 моль
m(H) = 0,18 моль · 1 г/моль = 0,18 г
m(O) = 3,18 г − 2,52 г − 0,18 г = 0,48 г
n(O) = 0,48 г / 16 г/моль = 0,03 моль
n(C) : n(H) : n(O) = 0,21 : 0,18 : 0,03 = 7 : 6 : 1
Простейшая формула: C7H6O
M(C7H6O) = 7·12 + 6·1 + 1·16 = 84 + 6 + 16 = 106 г/моль
Молекулярная формула: C7H6O
Структурная формула:

Уравнение реакции с гидроксидом меди(II):

При сжигании образца органического вещества массой 3,48 г получено 7,04 г углекислого газа и 2,52 г воды. При нагревании с водным раствором гидроксида натрия данное вещество подвергается гидролизу с образованием двух продуктов – соли и этиленгликоля – в соотношении 2 : 1.
На основании данных условия задания:
1) проведите необходимые вычисления (указывайте единицы измерения искомых физических величин) и установите молекулярную формулу органического вещества;
2) составьте возможную структурную формулу этого вещества, которая однозначно отражает порядок связи атомов в его молекуле;
3) напишите уравнение реакции гидролиза исходного вещества в растворе гидроксида натрия.
ν(CO2) = 7,04 г / 44 г/моль = 0,16 моль
ν(H2O) = 2,52 г / 18 г/моль = 0,14 моль
n(C) = n(CO2) = 0,16 моль
m(C) = 0,16 моль · 12 г/моль = 1,92 г
n(H) = 2·n(H2O) = 2·0,14 = 0,28 моль
m(H) = 0,28 моль · 1 г/моль = 0,28 г
m(O) = 3,48 г − 1,92 г − 0,28 г = 1,28 г
n(O) = 1,28 г / 16 г/моль = 0,08 моль
n(C) : n(H) : n(O) = 0,16 : 0,28 : 0,08 = 2 : 3,5 : 1 = 4 : 7 : 2
Простейшая формула: C4H7O2
M(C4H7O2) = 4·12 + 7·1 + 2·16 = 48 + 7 + 32 = 87 г/моль
M(вещества) = 3,48 г / 0,04 моль = 87 г/моль · 2 = 174 г/моль
Молекулярная формула: C8H14O4
Структурная формула:

Уравнение реакции гидролиза:

При сгорании 5,30 г органического вещества получили 8,96 л углекислого газа (н.у.) и 4,5 г воды. Известно, что при окислении этого вещества сернокислым раствором перманганата калия образуется двухосновная кислота, карбоксильные группы в молекуле которой расположены у соседних атомов углерода, а углекислый газ не выделяется.
На основании данных условия задания:
1) проведите необходимые вычисления (указывайте единицы измерения искомых физических величин) и установите молекулярную формулу органического вещества;
2) составьте возможную структурную формулу этого вещества, которая однозначно отражает порядок связи атомов в его молекуле;
3) напишите уравнение реакции окисления этого вещества сернокислым раствором перманганата калия.
ν(CO2) = 8,96 л / 22,4 л/моль = 0,4 моль
ν(H2O) = 4,5 г / 18 г/моль = 0,25 моль
n(C) = n(CO2) = 0,4 моль
m(C) = 0,4 моль · 12 г/моль = 4,8 г
n(H) = 2·n(H2O) = 2·0,25 = 0,5 моль
m(H) = 0,5 моль · 1 г/моль = 0,5 г
m(O) = 5,30 г − 4,8 г − 0,5 г = 0 г
n(C) : n(H) = 0,4 : 0,5 = 4 : 5
Простейшая формула: C4H5
Молекулярная формула: C8H10
Структурная формула:

Уравнение реакции окисления:

При сгорании 21,6 г органического вещества получили 31,36 л углекислого газа (н.у.) и 14,4 г воды. Известно, что это вещество вступает в реакцию этерификации с уксусной кислотой.
На основании данных условия задания:
1) проведите необходимые вычисления (указывайте единицы измерения искомых физических величин) и установите молекулярную формулу органического вещества;
2) составьте возможную структурную формулу этого вещества, которая однозначно отражает порядок связи атомов в его молекуле;
3) напишите уравнение реакции этого вещества с уксусной кислотой.
ν(CO2) = 31,36 л / 22,4 л/моль = 1,4 моль
ν(H2O) = 14,4 г / 18 г/моль = 0,8 моль
n(C) = n(CO2) = 1,4 моль
m(C) = 1,4 моль · 12 г/моль = 16,8 г
n(H) = 2·n(H2O) = 2·0,8 = 1,6 моль
m(H) = 1,6 моль · 1 г/моль = 1,6 г
m(O) = 21,6 г − 16,8 г − 1,6 г = 3,2 г
n(O) = 3,2 г / 16 г/моль = 0,2 моль
n(C) : n(H) : n(O) = 1,4 : 1,6 : 0,2 = 7 : 8 : 1
Простейшая формула: C7H8O
M(C7H8O) = 7·12 + 8·1 + 1·16 = 84 + 8 + 16 = 108 г/моль
Молекулярная формула: C7H8O
Структурная формула:

Уравнение реакции с уксусной кислотой:

При сгорании 1,86 г органического вещества, не содержащего кислорода, получили углекислый газ, 1,26 г воды и 224 мл азота (н.у.). Известно, что это вещество может быть получено восстановлением соответствующего нитросоединения водородом в присутствии катализатора.
На основании данных условия задания:
1) проведите необходимые вычисления (указывайте единицы измерения искомых физических величин) и установите молекулярную формулу органического вещества;
2) составьте возможную структурную формулу этого вещества, которая однозначно отражает порядок связи атомов в его молекуле;
3) напишите уравнение реакции получения данного вещества восстановлением соответствующего нитросоединения водородом в присутствии катализатора.
ν(H2O) = 1,26 г / 18 г/моль = 0,07 моль
ν(N2) = 0,224 л / 22,4 л/моль = 0,01 моль
n(H) = 2·n(H2O) = 2·0,07 = 0,14 моль
m(H) = 0,14 моль · 1 г/моль = 0,14 г
n(N) = 2·n(N2) = 2·0,01 = 0,02 моль
m(N) = 0,02 моль · 14 г/моль = 0,28 г
m(C) = 1,86 г − 0,14 г − 0,28 г = 1,44 г
n(C) = 1,44 г / 12 г/моль = 0,12 моль
n(C) : n(H) : n(N) = 0,12 : 0,14 : 0,02 = 6 : 7 : 1
Простейшая формула: C6H7N
Молекулярная формула: C6H7N
Структурная формула:

Уравнение реакции восстановления:

При сгорании органического вещества, не содержащего кислорода, получили 19,8 г углекислого газа, 5,4 г воды и 6,72 л хлороводорода (н.у.). Известно, что это вещество может быть получено взаимодействием соответствующего углеводорода с избытком хлороводорода.
На основании данных условия задания:
1) проведите необходимые вычисления (указывайте единицы измерения искомых физических величин) и установите молекулярную формулу органического вещества;
2) составьте возможную структурную формулу этого вещества, которая однозначно отражает порядок связи атомов в его молекуле;
3) напишите уравнение реакции получения данного вещества взаимодействием соответствующего углеводорода с избытком хлороводорода.
ν(CO2) = 19,8 г / 44 г/моль = 0,45 моль
ν(H2O) = 5,4 г / 18 г/моль = 0,3 моль
ν(HCl) = 6,72 л / 22,4 л/моль = 0,3 моль
n(C) = n(CO2) = 0,45 моль
n(H) = 2·n(H2O) + n(HCl) = 2·0,3 + 0,3 = 0,9 моль
n(Cl) = n(HCl) = 0,3 моль
n(C) : n(H) : n(Cl) = 0,45 : 0,9 : 0,3 = 1,5 : 3 : 1 = 3 : 6 : 2
Простейшая формула: C3H6Cl2
M(C3H6Cl2) = 3·12 + 6·1 + 2·35,5 = 36 + 6 + 71 = 113 г/моль
Молекулярная формула: C3H6Cl2
Структурная формула:

Уравнение реакции получения:

При сгорании 9 г органического вещества, не содержащего кислорода, получили углекислый газ, 12,6 г воды и 2,24 л азота (н.у.). Известно, что это вещество может быть получено восстановлением соответствующего нитросоединения водородом в присутствии катализатора.
На основании данных условия задания:
1) проведите необходимые вычисления (указывайте единицы измерения искомых физических величин) и установите молекулярную формулу органического вещества;
2) составьте возможную структурную формулу этого вещества, которая однозначно отражает порядок связи атомов в его молекуле;
3) напишите уравнение реакции получения данного вещества восстановлением соответствующего нитросоединения водородом в присутствии катализатора.
ν(H2O) = 12,6 г / 18 г/моль = 0,7 моль
ν(N2) = 2,24 л / 22,4 л/моль = 0,1 моль
n(H) = 2·n(H2O) = 2·0,7 = 1,4 моль
m(H) = 1,4 моль · 1 г/моль = 1,4 г
n(N) = 2·n(N2) = 2·0,1 = 0,2 моль
m(N) = 0,2 моль · 14 г/моль = 2,8 г
m(C) = 9 г − 1,4 г − 2,8 г = 4,8 г
n(C) = 4,8 г / 12 г/моль = 0,4 моль
n(C) : n(H) : n(N) = 0,4 : 1,4 : 0,2 = 2 : 7 : 1
Простейшая формула: C2H7N
M(C2H7N) = 2·12 + 7·1 + 1·14 = 24 + 7 + 14 = 45 г/моль
Молекулярная формула: C2H7N
Структурная формула:
CH3—CH2—NH2
Уравнение реакции восстановления:
CH3CH2NO2 + 3H2 → CH3CH2NH2 + 2H2O
При сгорании органического вещества, не содержащего кислорода, получили 26,4 г углекислого газа, 5,4 г воды и 13,44 л хлороводорода (н.у.). Известно, что это вещество может быть получено взаимодействием соответствующего углеводорода с избытком хлороводорода.
На основании данных условия задания:
1) проведите необходимые вычисления (указывайте единицы измерения искомых физических величин) и установите молекулярную формулу органического вещества;
2) составьте возможную структурную формулу этого вещества, которая однозначно отражает порядок связи атомов в его молекуле;
3) напишите уравнение реакции получения данного вещества взаимодействием соответствующего углеводорода с избытком хлороводорода
ν(CO2) = 26,4 г / 44 г/моль = 0,6 моль
ν(H2O) = 5,4 г / 18 г/моль = 0,3 моль
ν(HCl) = 13,44 л / 22,4 л/моль = 0,6 моль
n(C) = n(CO2) = 0,6 моль
n(H) = 2·n(H2O) + n(HCl) = 2·0,3 + 0,6 = 1,2 моль
n(Cl) = n(HCl) = 0,6 моль
n(C) : n(H) : n(Cl) = 0,6 : 1,2 : 0,6 = 1 : 2 : 1
Простейшая формула: CH2Cl
Молекулярная формула: C2H4Cl2
Структурная формула:
CH3—CHCl2
Уравнение реакции получения:
CH≡CH + 2HCl → CH3—CHCl2
При сгорании 1,18 г вторичного амина получили 1,344 л углекислого газа (н.у.), 1,62 г воды и азот.
На основании данных условия задания:
1) проведите необходимые вычисления (указывайте единицы измерения искомых физических величин) и установите молекулярную формулу органического вещества;
2) составьте возможную структурную формулу этого вещества, которая однозначно отражает порядок связи атомов в его молекуле;
3) напишите уравнение реакции данного вещества с избытком раствора серной кислоты
ν(CO2) = 1,344 л / 22,4 л/моль = 0,06 моль
ν(H2O) = 1,62 г / 18 г/моль = 0,09 моль
n(C) = n(CO2) = 0,06 моль
m(C) = 0,06 моль · 12 г/моль = 0,72 г
n(H) = 2·n(H2O) = 2·0,09 = 0,18 моль
m(H) = 0,18 моль · 1 г/моль = 0,18 г
m(N) = 1,18 г − 0,72 г − 0,18 г = 0,28 г
n(N) = 0,28 г / 14 г/моль = 0,02 моль
n(C) : n(H) : n(N) = 0,06 : 0,18 : 0,02 = 3 : 9 : 1
Простейшая формула: C3H9N
Молекулярная формула: C3H9N
Структурная формула:
CH3—NH—CH2—CH3
Уравнение реакции с серной кислотой:

При сгорании органического вещества, не содержащего кислорода, получили 5,28 г углекислого газа, 0,72 г воды и 448 мл хлороводорода (н.у.). Известно, что это вещество может быть получено взаимодействием соответствующего углеводорода с хлором в присутствии катализатора.
На основании данных условия задания:
1) проведите необходимые вычисления (указывайте единицы измерения искомых физических величин) и установите молекулярную формулу органического вещества;
2) составьте возможную структурную формулу этого вещества, которая однозначно отражает порядок связи атомов в его молекуле;
3) напишите уравнение реакции получения данного вещества взаимодействием соответствующего углеводорода с хлором в присутствии катализатора.
ν(CO2) = 5,28 г / 44 г/моль = 0,12 моль
ν(H2O) = 0,72 г / 18 г/моль = 0,04 моль
ν(HCl) = 0,448 л / 22,4 л/моль = 0,02 моль
n(C) = n(CO2) = 0,12 моль
n(H) = 2·n(H2O) + n(HCl) = 2·0,04 + 0,02 = 0,1 моль
n(Cl) = n(HCl) = 0,02 моль
n(C) : n(H) : n(Cl) = 0,12 : 0,1 : 0,02 = 6 : 5 : 1
Простейшая формула: C6H5Cl
Молекулярная формула: C6H5Cl
Структурная формула:

Уравнение реакции получения:

Соль органической кислоты содержит 4,35% водорода, 39,13% углерода, 34,78% кислорода и 21,74% кальция по массе. Известно, что при нагревании этой соли образуется карбонильное соединение.
На основании данных условия задания:
1) проведите необходимые вычисления (указывайте единицы измерения искомых физических величин) и установите молекулярную формулу органического вещества;
2) составьте возможную структурную формулу этого вещества, которая однозначно отражает порядок связи атомов в его молекуле;
3) напишите уравнение реакции, протекающей при нагревании этой соли.
Найдем количество вещества каждого элемента в 100 г вещества:
m(H) = 4,35 г
m(C) = 39,13 г
m(O) = 34,78 г
m(Ca) = 21,74 г
n(H) = 4,35 г / 1 г/моль = 4,35 моль
n(C) = 39,13 г / 12 г/моль = 3,26 моль
n(O) = 34,78 г / 16 г/моль = 2,17 моль
n(Ca) = 21,74 г / 40 г/моль = 0,54 моль
n(H) : n(C) : n(O) : n(Ca) = 4,35 : 3,26 : 2,17 : 0,54
Разделим на наименьшее число (0,54):
n(H) : n(C) : n(O) : n(Ca) = 8 : 6 : 4 : 1
Простейшая формула: C6H8O4Ca
Молекулярная формула: C6H8O4Ca
Структурная формула:

Уравнение реакции при нагревании:

Органическое вещество содержит 10,0% азота, 25,73% углерода и 57,07% брома по массе. Это вещество может быть получено при взаимодействии первичного амина с бромметаном.
На основании данных условия задания:
1) проведите необходимые вычисления (указывайте единицы измерения искомых физических величин) и установите молекулярную формулу органического вещества;
2) составьте возможную структурную формулу этого вещества, которая однозначно отражает порядок связи атомов в его молекуле;
3) напишите уравнение реакции получения данного вещества взаимодействием первичного амина и бромметана.
Найдем количество вещества каждого элемента в 100 г вещества:
m(N) = 10,0 г
m(C) = 25,73 г
m(Br) = 57,07 г
m(H) = 100 г − 10,0 г − 25,73 г − 57,07 г = 7,2 г
n(N) = 10,0 г / 14 г/моль = 0,71 моль
n(C) = 25,73 г / 12 г/моль = 2,14 моль
n(Br) = 57,07 г / 80 г/моль = 0,71 моль
n(H) = 7,2 г / 1 г/моль = 7,2 моль
n(N) : n(C) : n(Br) : n(H) = 0,71 : 2,14 : 0,71 : 7,2 = 1 : 3 : 1 : 10
Простейшая формула: C3H10NBr
M(C3H10NBr) = 3·12 + 10·1 + 14 + 80 = 36 + 10 + 14 + 80 = 140 г/моль
Молекулярная формула: C3H10NBr
Структурная формула:
[CH3—CH2—NH2—CH3]+Br−
Уравнение реакции получения:
CH3CH2NH2 + CH3Br → [CH3CH2NH2CH3]+Br−
Органическое вещество содержит 9,09% азота, 31,19% углерода и 51,87% брома по массе. Это вещество может быть получено при взаимодействии первичного амина с бромэтаном.
На основании данных условия задания:
1) проведите необходимые вычисления (указывайте единицы измерения искомых физических величин) и установите молекулярную формулу органического вещества;
2) составьте возможную структурную формулу этого вещества, которая однозначно отражает порядок связи атомов в его молекуле;
3) напишите уравнение реакции получения данного вещества взаимодействием первичного амина с бромэтаном.
Найдем количество вещества каждого элемента в 100 г вещества:
m(N) = 9,09 г
m(C) = 31,19 г
m(Br) = 51,87 г
m(H) = 100 г − 9,09 г − 31,19 г − 51,87 г = 7,85 г
n(N) = 9,09 г / 14 г/моль = 0,65 моль
n(C) = 31,19 г / 12 г/моль = 2,60 моль
n(Br) = 51,87 г / 80 г/моль = 0,65 моль
n(H) = 7,85 г / 1 г/моль = 7,85 моль
n(N) : n(C) : n(Br) : n(H) = 0,65 : 2,60 : 0,65 : 7,85 = 1 : 4 : 1 : 12
Простейшая формула: C4H12NBr
Молекулярная формула: C4H12NBr
Структурная формула:
[CH3—CH2—NH2—CH2—CH3]+Br−
Уравнение реакции получения:
CH3CH2NH2 + CH3CH2Br → [CH3CH2NH2CH2CH3]+Br−
Органическое вещество содержит 12,79% азота, 10,95% водорода и 32,42% хлора по массе. Это вещество может быть получено при взаимодействии вторичного амина с хлорэтаном.
На основании данных условия задания:
1) проведите необходимые вычисления (указывайте единицы измерения искомых физических величин) и установите молекулярную формулу органического вещества;
2) составьте возможную структурную формулу этого вещества, которая однозначно отражает порядок связи атомов в его молекуле;
3) напишите уравнение реакции получения данного вещества взаимодействием вторичного амина и хлорэтана.
Найдем количество вещества каждого элемента в 100 г вещества:
m(N) = 12,79 г
m(H) = 10,95 г
m(Cl) = 32,42 г
m(C) = 100 г − 12,79 г − 10,95 г − 32,42 г = 43,84 г
n(N) = 12,79 г / 14 г/моль = 0,91 моль
n(H) = 10,95 г / 1 г/моль = 10,95 моль
n(Cl) = 32,42 г / 35,5 г/моль = 0,91 моль
n(C) = 43,84 г / 12 г/моль = 3,65 моль
n(N) : n(H) : n(Cl) : n(C) = 0,91 : 10,95 : 0,91 : 3,65 = 1 : 12 : 1 : 4
Простейшая формула: C4H12NCl
M(C4H12NCl) = 4·12 + 12·1 + 14 + 35,5 = 48 + 12 + 14 + 35,5 = 109,5 г/моль
Молекулярная формула: C4H12NCl
Структурная формула:
[(CH3)2NH—CH2—CH3]+Cl−
Уравнение реакции получения:
(CH3)2NH + CH3CH2Cl → [(CH3)2NHCH2CH3]+Cl−
Органическое вещество содержит 12,79% азота, 43,84% углерода и 32,42% хлора по массе. Это вещество может быть получено при взаимодействии первичного амина с хлорэтаном.
На основании данных условия задания:
1) проведите необходимые вычисления (указывайте единицы измерения искомых физических величин) и установите молекулярную формулу органического вещества;
2) составьте возможную структурную формулу этого вещества, которая однозначно отражает порядок связи атомов в его молекуле;
3) напишите уравнение реакции получения данного вещества взаимодействием первичного амина и хлорэтана.
Найдем количество вещества каждого элемента в 100 г вещества:
m(N) = 12,79 г
m(C) = 43,84 г
m(Cl) = 32,42 г
m(H) = 100 г − 12,79 г − 43,84 г − 32,42 г = 10,95 г
n(N) = 12,79 г / 14 г/моль = 0,91 моль
n(C) = 43,84 г / 12 г/моль = 3,65 моль
n(Cl) = 32,42 г / 35,5 г/моль = 0,91 моль
n(H) = 10,95 г / 1 г/моль = 10,95 моль
n(N) : n(C) : n(Cl) : n(H) = 0,91 : 3,65 : 0,91 : 10,95 = 1 : 4 : 1 : 12
Простейшая формула: C4H12NCl
M(C4H12NCl) = 4·12 + 12·1 + 14 + 35,5 = 48 + 12 + 14 + 35,5 = 109,5 г/моль
Молекулярная формула: C4H12NCl
Структурная формула:
[CH3—CH2—NH2—CH2—CH3]+Cl−
Уравнение реакции получения:
CH3CH2NH2 + CH3CH2Cl → [CH3CH2NH2CH2CH3]+Cl−
Соль органической кислоты содержит 5,05% водорода, 42,42% углерода, 32,32% кислорода и 20,21% кальция по массе. Известно, что при нагревании этой соли образуется карбонильное соединение.
На основании данных условия задания:
1) проведите необходимые вычисления (указывайте единицы измерения искомых физических величин) и установите молекулярную формулу органического вещества;
2) составьте возможную структурную формулу этого вещества, которая однозначно отражает порядок связи атомов в его молекуле;
3) напишите уравнение реакции, протекающей при нагревании этой соли.
Найдем количество вещества каждого элемента в 100 г вещества:
m(H) = 5,05 г
m(C) = 42,42 г
m(O) = 32,32 г
m(Ca) = 20,21 г
n(H) = 5,05 г / 1 г/моль = 5,05 моль
n(C) = 42,42 г / 12 г/моль = 3,54 моль
n(O) = 32,32 г / 16 г/моль = 2,02 моль
n(Ca) = 20,21 г / 40 г/моль = 0,505 моль
n(H) : n(C) : n(O) : n(Ca) = 5,05 : 3,54 : 2,02 : 0,505
Разделим на наименьшее число (0,505):
n(H) : n(C) : n(O) : n(Ca) = 10 : 7 : 4 : 1
Простейшая формула: C7H10O4Ca
Молекулярная формула: C7H10O4Ca
Структурная формула:

Уравнение реакции при нагревании:

Соль органической кислоты содержит 28,48% углерода, 3,39% водорода, 21,69% кислорода и 46,44% бария по массе. Известно, что при нагревании этой соли образуется карбонильное соединение.
На основании данных условия задания:
1) проведите необходимые вычисления (указывайте единицы измерения искомых физических величин) и установите молекулярную формулу органического вещества;
2) составьте возможную структурную формулу этого вещества, которая однозначно отражает порядок связи атомов в его молекуле;
3) напишите уравнение реакции, протекающей при нагревании этой соли.
Найдем количество вещества каждого элемента в 100 г вещества:
m(C) = 28,48 г
m(H) = 3,39 г
m(O) = 21,69 г
m(Ba) = 46,44 г
n(C) = 28,48 г / 12 г/моль = 2,37 моль
n(H) = 3,39 г / 1 г/моль = 3,39 моль
n(O) = 21,69 г / 16 г/моль = 1,36 моль
n(Ba) = 46,44 г / 137 г/моль = 0,339 моль
n(C) : n(H) : n(O) : n(Ba) = 2,37 : 3,39 : 1,36 : 0,339
Разделим на наименьшее число (0,339):
n(C) : n(H) : n(O) : n(Ba) = 7 : 10 : 4 : 1
Простейшая формула: C7H10O4Ba
Молекулярная формула: C7H10O4Ba
Структурная формула:

Уравнение реакции при нагревании:

Соль органической кислоты содержит 25,62% углерода, 2,85% водорода, 22,78% кислорода и 48,75% бария по массе. Известно, что при нагревании этой соли образуется карбонильное соединение.
На основании данных условия задания:
1) проведите необходимые вычисления (указывайте единицы измерения искомых физических величин) и установите молекулярную формулу органического вещества;
2) составьте возможную структурную формулу этого вещества, которая однозначно отражает порядок связи атомов в его молекуле;
3) напишите уравнение реакции, протекающей при нагревании этой соли.
Найдем количество вещества каждого элемента в 100 г вещества:
m(C) = 25,62 г
m(H) = 2,85 г
m(O) = 22,78 г
m(Ba) = 48,75 г
n(C) = 25,62 г / 12 г/моль = 2,14 моль
n(H) = 2,85 г / 1 г/моль = 2,85 моль
n(O) = 22,78 г / 16 г/моль = 1,42 моль
n(Ba) = 48,75 г / 137 г/моль = 0,356 моль
n(C) : n(H) : n(O) : n(Ba) = 2,14 : 2,85 : 1,42 : 0,356
Разделим на наименьшее число (0,356):
n(C) : n(H) : n(O) : n(Ba) = 6 : 8 : 4 : 1
Простейшая формула: C6H8O4Ba
M(C6H8O4Ba) = 6·12 + 8·1 + 4·16 + 137 = 72 + 8 + 64 + 137 = 281 г/моль
Молекулярная формула: C6H8O4Ba
Структурная формула:

Уравнение реакции при нагревании:

При сжигании образца органического вещества массой 4,0 г получено 4,48 л (н.у.) углекислого газа и 2,88 г воды. Известно, что данное вещество обесцвечивает бромную воду и вступает в реакцию с раствором гидроксида бария при нагревании, один из продуктов этой реакции имеет состав C6H6O4Ba.
На основании данных условия задания:
1) проведите необходимые вычисления (указывайте единицы измерения искомых физических величин) и установите молекулярную формулу органического вещества;
2) составьте возможную структурную формулу этого вещества, которая однозначно отражает порядок связи атомов в его молекуле;
3) напишите уравнение реакции данного вещества с раствором гидроксида бария при нагревании.
ν(CO2) = 4,48 л / 22,4 л/моль = 0,2 моль
ν(H2O) = 2,88 г / 18 г/моль = 0,16 моль
n(C) = n(CO2) = 0,2 моль
m(C) = 0,2 моль · 12 г/моль = 2,4 г
n(H) = 2·n(H2O) = 2·0,16 = 0,32 моль
m(H) = 0,32 моль · 1 г/моль = 0,32 г
m(O) = 4,0 г − 2,4 г − 0,32 г = 1,28 г
n(O) = 1,28 г / 16 г/моль = 0,08 моль
n(C) : n(H) : n(O) = 0,2 : 0,32 : 0,08 = 2,5 : 4 : 1 = 5 : 8 : 2
Простейшая формула: C5H8O2
Молекулярная формула: C5H8O2
Структурная формула:

Уравнение реакции с гидроксидом бария:

При сгорании 5,72 г органического вещества А получили 2,688 л (н.у.) углекислого газа, 0,72 г воды и 1,792 л (н.у.) хлороводорода. Известно, что данное вещество образуется при присоединении хлора к соответствующему органическому соединению Б.
На основании данных условия задания:
1) проведите необходимые вычисления (указывайте единицы измерения искомых физических величин) и установите молекулярную формулу органического вещества;
2) составьте возможную структурную формулу этого вещества, которая однозначно отражает порядок связи атомов в его молекуле;
3) напишите уравнение реакции получения вещества А хлорированием соответствующего соединения Б.
ν(CO2) = 2,688 л / 22,4 л/моль = 0,12 моль
ν(H2O) = 0,72 г / 18 г/моль = 0,04 моль
ν(HCl) = 1,792 л / 22,4 л/моль = 0,08 моль
n(C) = n(CO2) = 0,12 моль
m(C) = 0,12 моль · 12 г/моль = 1,44 г
n(H) = 2·n(H2O) + n(HCl) = 2·0,04 + 0,08 = 0,16 моль
m(H) = 0,16 моль · 1 г/моль = 0,16 г
n(Cl) = n(HCl) = 0,08 моль
m(Cl) = 0,08 моль · 35,5 г/моль = 2,84 г
m(O) = 5,72 г − 1,44 г − 0,16 г − 2,84 г = 1,28 г
n(O) = 1,28 г / 16 г/моль = 0,08 моль
n(C) : n(H) : n(Cl) : n(O) = 0,12 : 0,16 : 0,08 : 0,08 = 3 : 4 : 2 : 2
Простейшая формула: C3H4Cl2O2
Молекулярная формула: C3H4Cl2O2
Структурная формула:

Уравнение реакции получения:

При сжигании образца органического вещества массой 25,5 г получено 28 л (н.у.) углекислого газа и 22,5 г воды. Данное вещество подвергается гидролизу в присутствии серной кислоты, одним из продуктов гидролиза является третичный спирт.
На основании данных условия задания:
1) проведите необходимые вычисления (указывайте единицы измерения искомых физических величин) и установите молекулярную формулу органического вещества;
2) составьте возможную структурную формулу этого вещества, которая однозначно отражает порядок связи атомов в его молекуле;
3) напишите уравнение гидролиза данного вещества в присутствии серной кислоты.
ν(CO2) = 28 л / 22,4 л/моль = 1,25 моль
ν(H2O) = 22,5 г / 18 г/моль = 1,25 моль
n(C) = n(CO2) = 1,25 моль
m(C) = 1,25 моль · 12 г/моль = 15 г
n(H) = 2·n(H2O) = 2·1,25 = 2,5 моль
m(H) = 2,5 моль · 1 г/моль = 2,5 г
m(O) = 25,5 г − 15 г − 2,5 г = 8 г
n(O) = 8 г / 16 г/моль = 0,5 моль
n(C) : n(H) : n(O) = 1,25 : 2,5 : 0,5 = 2,5 : 5 : 1 = 5 : 10 : 2
Простейшая формула: C5H10O2
Молекулярная формула: C5H10O2
Структурная формула:

Уравнение реакции гидролиза:

При сгорании 139,2 г органического вещества А получили 40,32 л (н.у.) углекислого газа, 10,8 г воды и 97,2 г бромоводорода. Известно, что данное вещество образуется при присоединении брома к соответствующему органическому соединению Б.
На основании данных условия задания:
1) проведите необходимые вычисления (указывайте единицы измерения искомых физических величин) и установите молекулярную формулу органического вещества;
2) составьте возможную структурную формулу этого вещества, которая однозначно отражает порядок связи атомов в его молекуле;
3) напишите уравнение реакции получения вещества А бромированием соответствующего соединения Б.
ν(CO2) = 40,32 л / 22,4 л/моль = 1,8 моль
ν(H2O) = 10,8 г / 18 г/моль = 0,6 моль
ν(HBr) = 97,2 г / 81 г/моль = 1,2 моль
n(C) = n(CO2) = 1,8 моль
m(C) = 1,8 моль · 12 г/моль = 21,6 г
n(H) = 2·n(H2O) + n(HBr) = 2·0,6 + 1,2 = 2,4 моль
m(H) = 2,4 моль · 1 г/моль = 2,4 г
n(Br) = n(HBr) = 1,2 моль
m(Br) = 1,2 моль · 80 г/моль = 96 г
m(O) = 139,2 г − 21,6 г − 2,4 г − 96 г = 19,2 г
n(O) = 19,2 г / 16 г/моль = 1,2 моль
n(C) : n(H) : n(Br) : n(O) = 1,8 : 2,4 : 1,2 : 1,2 = 3 : 4 : 2 : 2
Простейшая формула: C3H4Br2O2
Молекулярная формула: C3H4Br2O2
Структурная формула:

Уравнение реакции получения:

При сжигании образца органического вещества массой 5,1 г получено 5,6 л (н.у.) углекислого газа и 4,5 г воды. Данное вещество подвергается гидролизу в присутствии гидроксида натрия, одним из продуктов гидролиза является третичный спирт.
На основании данных условия задания:
1) проведите необходимые вычисления (указывайте единицы измерения искомых физических величин) и установите молекулярную формулу органического вещества;
2) составьте возможную структурную формулу этого вещества, которая однозначно отражает порядок связи атомов в его молекуле;
3) напишите уравнение гидролиза данного вещества в присутствии гидроксида натрия.
ν(CO2) = 5,6 л / 22,4 л/моль = 0,25 моль
ν(H2O) = 4,5 г / 18 г/моль = 0,25 моль
n(C) = n(CO2) = 0,25 моль
m(C) = 0,25 моль · 12 г/моль = 3 г
n(H) = 2·n(H2O) = 2·0,25 = 0,5 моль
m(H) = 0,5 моль · 1 г/моль = 0,5 г
m(O) = 5,1 г − 3 г − 0,5 г = 1,6 г
n(O) = 1,6 г / 16 г/моль = 0,1 моль
n(C) : n(H) : n(O) = 0,25 : 0,5 : 0,1 = 2,5 : 5 : 1 = 5 : 10 : 2
Простейшая формула: C5H10O2
Молекулярная формула: C5H10O2
Структурная формула:

Уравнение реакции гидролиза:

При сжигании образца органического вещества массой 1,85 г получено 1,68 л углекислого газа (н.у.) и 1,35 г воды. Данное вещество подвергается гидролизу в присутствии серной кислоты; один из продуктов гидролиза вступает в реакцию «серебряного зеркала».
На основании данных условия задания:
1) проведите необходимые вычисления (указывайте единицы измерения искомых физических величин) и установите молекулярную формулу органического вещества;
2) составьте возможную структурную формулу этого вещества, которая однозначно отражает порядок связи атомов в его молекуле;
3) напишите уравнение гидролиза данного вещества в присутствии серной кислоты.
ν(CO2) = 1,68 л / 22,4 л/моль = 0,075 моль
ν(H2O) = 1,35 г / 18 г/моль = 0,075 моль
n(C) = n(CO2) = 0,075 моль
m(C) = 0,075 моль · 12 г/моль = 0,9 г
n(H) = 2·n(H2O) = 2·0,075 = 0,15 моль
m(H) = 0,15 моль · 1 г/моль = 0,15 г
m(O) = 1,85 г − 0,9 г − 0,15 г = 0,8 г
n(O) = 0,8 г / 16 г/моль = 0,05 моль
n(C) : n(H) : n(O) = 0,075 : 0,15 : 0,05 = 1,5 : 3 : 1 = 3 : 6 : 2
Простейшая формула: C3H6O2
Молекулярная формула: C3H6O2
Структурная формула:

Уравнение реакции гидролиза:

При сгорании 85,8 г органического вещества А получили 79,2 г углекислого газа, 10,8 г воды и 26,88 л (н.у.) хлороводорода. Известно, что данное вещество образуется при присоединении хлора к соответствующему органическому соединению Б.
На основании данных условия задания:
1) проведите необходимые вычисления (указывайте единицы измерения искомых физических величин) и установите молекулярную формулу органического вещества;
2) составьте возможную структурную формулу этого вещества, которая однозначно отражает порядок связи атомов в его молекуле;
3) напишите уравнение реакции получения вещества А хлорированием соответствующего соединения Б.
ν(CO2) = 79,2 г / 44 г/моль = 1,8 моль
ν(H2O) = 10,8 г / 18 г/моль = 0,6 моль
ν(HCl) = 26,88 л / 22,4 л/моль = 1,2 моль
n(C) = n(CO2) = 1,8 моль
m(C) = 1,8 моль · 12 г/моль = 21,6 г
n(H) = 2·n(H2O) + n(HCl) = 2·0,6 + 1,2 = 2,4 моль
m(H) = 2,4 моль · 1 г/моль = 2,4 г
n(Cl) = n(HCl) = 1,2 моль
m(Cl) = 1,2 моль · 35,5 г/моль = 42,6 г
m(O) = 85,8 г − 21,6 г − 2,4 г − 42,6 г = 19,2 г
n(O) = 19,2 г / 16 г/моль = 1,2 моль
n(C) : n(H) : n(Cl) : n(O) = 1,8 : 2,4 : 1,2 : 1,2 = 3 : 4 : 2 : 2
Простейшая формула: C3H4Cl2O2
Молекулярная формула: C3H4Cl2O2
Структурная формула:
CH2Cl—CHCl—COOH
Уравнение реакции получения:
CH2=CH—COOH + Cl2 → CH2Cl—CHCl—COOH
При сжигании образца органического вещества массой 3,7 г получено 3,36 л углекислого газа (н.у.) и 2,7 г воды. Данное вещество подвергается гидролизу в присутствии серной кислоты. Один из продуктов гидролиза взаимодействует с гидроксидом меди(II) при нагревании с образованием кирпично-красного осадка.
На основании данных условия задания:
1) проведите необходимые вычисления (указывайте единицы измерения искомых физических величин) и установите молекулярную формулу органического вещества;
2) составьте возможную структурную формулу этого вещества, которая однозначно отражает порядок связи атомов в его молекуле;
3) напишите уравнение гидролиза данного вещества в присутствии серной кислоты.
ν(CO2) = 3,36 л / 22,4 л/моль = 0,15 моль
ν(H2O) = 2,7 г / 18 г/моль = 0,15 моль
n(C) = n(CO2) = 0,15 моль
m(C) = 0,15 моль · 12 г/моль = 1,8 г
n(H) = 2·n(H2O) = 2·0,15 = 0,3 моль
m(H) = 0,3 моль · 1 г/моль = 0,3 г
m(O) = 3,7 г − 1,8 г − 0,3 г = 1,6 г
n(O) = 1,6 г / 16 г/моль = 0,1 моль
n(C) : n(H) : n(O) = 0,15 : 0,3 : 0,1 = 1,5 : 3 : 1 = 3 : 6 : 2
Простейшая формула: C3H6O2
Молекулярная формула: C3H6O2
Структурная формула:
HCOOC2H5
Уравнение реакции гидролиза:
HCOOC2H5 + H2O → HCOOH + C2H5OH
При сгорании 21,45 г органического вещества А получили 10,08 л (н.у.) углекислого газа, 2,7 г воды и 10,95 г хлороводорода. Известно, что данное вещество образуется при присоединении хлора к соответствующему органическому соединению Б.
На основании данных условия задания:
1) проведите необходимые вычисления (указывайте единицы измерения искомых физических величин) и установите молекулярную формулу органического вещества;
2) составьте возможную структурную формулу этого вещества, которая однозначно отражает порядок связи атомов в его молекуле;
3) напишите уравнение реакции получения вещества А хлорированием соответствующего соединения Б.
ν(CO2) = 10,08 л / 22,4 л/моль = 0,45 моль
ν(H2O) = 2,7 г / 18 г/моль = 0,15 моль
ν(HCl) = 10,95 г / 36,5 г/моль = 0,3 моль
n(C) = n(CO2) = 0,45 моль
m(C) = 0,45 моль · 12 г/моль = 5,4 г
n(H) = 2·n(H2O) + n(HCl) = 2·0,15 + 0,3 = 0,6 моль
m(H) = 0,6 моль · 1 г/моль = 0,6 г
n(Cl) = n(HCl) = 0,3 моль
m(Cl) = 0,3 моль · 35,5 г/моль = 10,65 г
m(O) = 21,45 г − 5,4 г − 0,6 г − 10,65 г = 4,8 г
n(O) = 4,8 г / 16 г/моль = 0,3 моль
n(C) : n(H) : n(Cl) : n(O) = 0,45 : 0,6 : 0,3 : 0,3 = 3 : 4 : 2 : 2
Простейшая формула: C3H4Cl2O2
Молекулярная формула: C3H4Cl2O2
Структурная формула:
Cl—CH2—CHCl—COOH
Уравнение реакции получения:
CH2=CH—COOH + Cl2 → Cl—CH2—CHCl—COOH
При сжигании образца дипептида природного происхождения массой 3,2 г получено 2,688 л углекислого газа (н.у.), 2,16 г воды и 448 мл азота (н.у.). При гидролизе данного дипептида в растворе гидроксида калия образуется только одна соль.
На основании данных условия задания:
1) проведите необходимые вычисления (указывайте единицы измерения искомых физических величин) и установите молекулярную формулу органического вещества;
2) составьте возможную структурную формулу этого вещества, которая однозначно отражает порядок связи атомов в его молекуле;
3) напишите уравнение реакции гидролиза дипептида в растворе гидроксида калия.
ν(CO2) = 2,688 л / 22,4 л/моль = 0,12 моль
ν(H2O) = 2,16 г / 18 г/моль = 0,12 моль
ν(N2) = 0,448 л / 22,4 л/моль = 0,02 моль
n(C) = n(CO2) = 0,12 моль
m(C) = 0,12 моль · 12 г/моль = 1,44 г
n(H) = 2·n(H2O) = 2·0,12 = 0,24 моль
m(H) = 0,24 моль · 1 г/моль = 0,24 г
n(N) = 2·n(N2) = 2·0,02 = 0,04 моль
m(N) = 0,04 моль · 14 г/моль = 0,56 г
m(O) = 3,2 г − 1,44 г − 0,24 г − 0,56 г = 0,96 г
n(O) = 0,96 г / 16 г/моль = 0,06 моль
n(C) : n(H) : n(N) : n(O) = 0,12 : 0,24 : 0,04 : 0,06 = 6 : 12 : 2 : 3
Простейшая формула: C6H12N2O3
Молекулярная формула: C6H12N2O3
Структурная формула:

Уравнение реакции гидролиза:

При сгорании 20,6 г органического вещества получили 17,92 л углекислого газа (н.у.), 2,24 л азота (н.у.) и 16,2 г воды. При нагревании с водным раствором гидроксида калия данно вещество подвергается гидролизу, продуктами которого являются соединение состава С2H4NО2K и одноатомный спирт.
На основании данных условия задания:
1) проведите необходимые вычисления (указывайте единицы измерения искомых физических величин) и установите молекулярную формулу органического вещества;
2) составьте возможную структурную формулу этого вещества, которая однозначно отражает порядок связи атомов в его молекуле;
3) напишите уравнение реакции гидролиза исходного вещества в растворе гидроксида калия
ν(CO2) = 17,92 л / 22,4 л/моль = 0,8 моль
ν(N2) = 2,24 л / 22,4 л/моль = 0,1 моль
ν(H2O) = 16,2 г / 18 г/моль = 0,9 моль
n(C) = n(CO2) = 0,8 моль
m(C) = 0,8 моль · 12 г/моль = 9,6 г
n(H) = 2·n(H2O) = 2·0,9 = 1,8 моль
m(H) = 1,8 моль · 1 г/моль = 1,8 г
n(N) = 2·n(N2) = 2·0,1 = 0,2 моль
m(N) = 0,2 моль · 14 г/моль = 2,8 г
m(O) = 20,6 г − 9,6 г − 1,8 г − 2,8 г = 6,4 г
n(O) = 6,4 г / 16 г/моль = 0,4 моль
n(C) : n(H) : n(N) : n(O) = 0,8 : 1,8 : 0,2 : 0,4 = 4 : 9 : 1 : 2
Простейшая формула: C4H9NO2
M(C4H9NO2) = 4·12 + 9·1 + 14 + 2·16 = 48 + 9 + 14 + 32 = 103 г/моль
Молекулярная формула: C4H9NO2
Структурная формула:

Уравнение реакции гидролиза:

При сжигании образца дипептида природного происхождения массой 2,64 г получено 1,792 л углекислого газа (н.у.), 1,44 г воды и 448 мл азота (н.у.). При гидролизе данного дипептида в присутствии соляной кислоты образуется только одна соль.
На основании данных условия задания:
1) проведите необходимые вычисления (указывайте единицы измерения искомых физических величин) и установите молекулярную формулу органического вещества;
2) составьте возможную структурную формулу этого вещества, которая однозначно отражает порядок связи атомов в его молекуле;
3) Напишите уравнение реакции гидролиза дипептида в присутствии соляной кислоты.
ν(CO2) = 1,792 л / 22,4 л/моль = 0,08 моль
ν(H2O) = 1,44 г / 18 г/моль = 0,08 моль
ν(N2) = 0,448 л / 22,4 л/моль = 0,02 моль
n(C) = n(CO2) = 0,08 моль
m(C) = 0,08 моль · 12 г/моль = 0,96 г
n(H) = 2·n(H2O) = 2·0,08 = 0,16 моль
m(H) = 0,16 моль · 1 г/моль = 0,16 г
n(N) = 2·n(N2) = 2·0,02 = 0,04 моль
m(N) = 0,04 моль · 14 г/моль = 0,56 г
m(O) = 2,64 г − 0,96 г − 0,16 г − 0,56 г = 0,96 г
n(O) = 0,96 г / 16 г/моль = 0,06 моль
n(C) : n(H) : n(N) : n(O) = 0,08 : 0,16 : 0,04 : 0,06 = 2 : 4 : 1 : 1,5 = 4 : 8 : 2 : 3
Простейшая формула: C4H8N2O3
Молекулярная формула: C4H8N2O3
Структурная формула:

Уравнение реакции гидролиза:

Органическое вещество А содержит 11,97% азота, 51,28% углерода и 27,35% кислорода по массе и образуется при взаимодействии органического вещества Б с этанолом в молярном соотношении 1 : 1. Известно, что вещество Б имеет природное происхождение и способно взаимодействовать как с кислотами, так и со щелочами.
На основании данных условия задания:
1) проведите необходимые вычисления (указывайте единицы измерения искомых физических величин) и установите молекулярную формулу органического вещества;
2) составьте возможную структурную формулу этого вещества, которая однозначно отражает порядок связи атомов в его молекуле;
3) напишите уравнение реакции получения вещества А из вещества Б и этанола.
ω(N) = 11,97%
ω(C) = 51,28%
ω(O) = 27,35%
ω(H) = 100% − 11,97% − 51,28% − 27,35% = 9,4%
Пусть m(вещества А) = 100 г, тогда:
n(C) = 51,28 г / 12 г/моль = 4,273 моль
n(H) = 9,4 г / 1 г/моль = 9,4 моль
n(N) = 11,97 г / 14 г/моль = 0,855 моль
n(O) = 27,35 г / 16 г/моль = 1,709 моль
n(C) : n(H) : n(N) : n(O) = 4,273 : 9,4 : 0,855 : 1,709 = 5 : 11 : 1 : 2
Простейшая формула: C5H11NO2
M(C5H11NO2) = 5·12 + 11·1 + 14 + 2·16 = 60 + 11 + 14 + 32 = 117 г/моль
Молекулярная формула: C5H11NO2
Структурная формула:

Уравнение реакции:

При сгорании 35,1 г органического вещества получили 33,6 л углекислого газа (н.у.), 3,36 л азота (н.у.) и 29,7 г воды. При нагревании с водным раствором гидроксида калия данное вещество подвергается гидролизу, продуктами которого являются соединение состава С2H4NО2K и вторичный спирт.
На основании данных условия задания:
1) проведите необходимые вычисления (указывайте единицы измерения искомых физических величин) и установите молекулярную формулу органического вещества;
2) составьте возможную структурную формулу этого вещества, которая однозначно отражает порядок связи атомов в его молекуле;
3) напишите уравнение реакции гидролиза исходного вещества в растворе гидроксида калия.
ν(CO2) = 33,6 л / 22,4 л/моль = 1,5 моль
ν(N2) = 3,36 л / 22,4 л/моль = 0,15 моль
ν(H2O) = 29,7 г / 18 г/моль = 1,65 моль
n(C) = n(CO2) = 1,5 моль
m(C) = 1,5 моль · 12 г/моль = 18 г
n(H) = 2·n(H2O) = 2·1,65 = 3,3 моль
m(H) = 3,3 моль · 1 г/моль = 3,3 г
n(N) = 2·n(N2) = 2·0,15 = 0,3 моль
m(N) = 0,3 моль · 14 г/моль = 4,2 г
m(O) = 35,1 г − 18 г − 3,3 г − 4,2 г = 9,6 г
n(O) = 9,6 г / 16 г/моль = 0,6 моль
n(C) : n(H) : n(N) : n(O) = 1,5 : 3,3 : 0,3 : 0,6 = 5 : 11 : 1 : 2
Простейшая формула: C5H11NO2
M(C5H11NO2) = 5·12 + 11·1 + 14 + 2·16 = 60 + 11 + 14 + 32 = 117 г/моль
Молекулярная формула: C5H11NO2
Структурная формула:

Уравнение реакции гидролиза:

При сжигании образца дипептида природного происхождения массой 2,64 г получено 1,792 л углекислого газа (н.у.), 1,44 г воды и 448 мл азота (н.у.). При гидролизе данного дипептида в растворе гидроксида натрия образуется только одна соль.
На основании данных условия задания:
1) проведите необходимые вычисления (указывайте единицы измерения искомых физических величин) и установите молекулярную формулу органического вещества;
2) составьте возможную структурную формулу этого вещества, которая однозначно отражает порядок связи атомов в его молекуле;
3) напишите уравнение реакции гидролиза дипептида в растворе гидроксида натрия.
ν(CO2) = 1,792 л / 22,4 л/моль = 0,08 моль
ν(H2O) = 1,44 г / 18 г/моль = 0,08 моль
ν(N2) = 0,448 л / 22,4 л/моль = 0,02 моль
n(C) = n(CO2) = 0,08 моль
m(C) = 0,08 моль · 12 г/моль = 0,96 г
n(H) = 2·n(H2O) = 2·0,08 = 0,16 моль
m(H) = 0,16 моль · 1 г/моль = 0,16 г
n(N) = 2·n(N2) = 2·0,02 = 0,04 моль
m(N) = 0,04 моль · 14 г/моль = 0,56 г
m(O) = 2,64 г − 0,96 г − 0,16 г − 0,56 г = 0,96 г
n(O) = 0,96 г / 16 г/моль = 0,06 моль
n(C) : n(H) : n(N) : n(O) = 0,08 : 0,16 : 0,04 : 0,06 = 2 : 4 : 1 : 1,5 = 4 : 8 : 2 : 3
Простейшая формула: C4H8N2O3
M(C4H8N2O3) = 4·12 + 8·1 + 2·14 + 3·16 = 48 + 8 + 28 + 48 = 132 г/моль
Молекулярная формула: C4H8N2O3
Структурная формула:

Уравнение реакции гидролиза:

Органическое вещество А содержит 13,58% азота, 46,59% углерода и 31,03% кислорода по массе и образуется при взаимодействии органического вещества Б с этанолом в молярном соотношении 1 : 1. Известно, что вещество Б имеет природное происхождение и способно взаимодействовать как с кислотами, так и со щелочами.
На основании данных условия задания:
1) проведите необходимые вычисления (указывайте единицы измерения искомых физических величин) и установите молекулярную формулу органического вещества;
2) составьте возможную структурную формулу этого вещества, которая однозначно отражает порядок связи атомов в его молекуле;
3) напишите уравнение реакции получения вещества А из вещества Б и этанола.
ω(N) = 13,58%
ω(C) = 46,59%
ω(O) = 31,03%
ω(H) = 100% − 13,58% − 46,59% − 31,03% = 8,8%
Пусть m(вещества А) = 100 г, тогда:
n(C) = 46,59 г / 12 г/моль = 3,883 моль
n(H) = 8,8 г / 1 г/моль = 8,8 моль
n(N) = 13,58 г / 14 г/моль = 0,97 моль
n(O) = 31,03 г / 16 г/моль = 1,939 моль
n(C) : n(H) : n(N) : n(O) = 3,883 : 8,8 : 0,97 : 1,939 = 4 : 9 : 1 : 2
Простейшая формула: C4H9NO2
Молекулярная формула: C4H9NO2
Структурная формула:

Уравнение реакции:

При взаимодействии соли первичного амина с нитратом серебра образуется органическое вещество А и бромид серебра. Вещество А содержит 29,79% азота, 12,77% углерода и 51,06% кислорода по массе.
На основании данных условия задания:
1) проведите необходимые вычисления (указывайте единицы измерения искомых физических величин) и установите молекулярную формулу органического вещества;
2) составьте возможную структурную формулу этого вещества, которая однозначно отражает порядок связи атомов в его молекуле;
3) напишите уравнение реакции получения вещества А взаимодействием соли первичного амина и нитрата серебра.
ω(N) = 29,79%
ω(C) = 12,77%
ω(O) = 51,06%
ω(H) = 100% − 29,79% − 12,77% − 51,06% = 6,38%
Пусть m(вещества А) = 100 г, тогда:
n(C) = 12,77 г / 12 г/моль = 1,064 моль
n(H) = 6,38 г / 1 г/моль = 6,38 моль
n(N) = 29,79 г / 14 г/моль = 2,128 моль
n(O) = 51,06 г / 16 г/моль = 3,191 моль
n(C) : n(H) : n(N) : n(O) = 1,064 : 6,38 : 2,128 : 3,191 = 1 : 6 : 2 : 3
Простейшая формула: CH6N2O3
Молекулярная формула: CH6N2O3
Структурная формула:
CH3NH3NO3
Уравнение реакции:
[CH3NH3]+Br— + AgNO3 → [CH3NH3]+NO3— + AgBr↓
При сгорании 17,55 г органического вещества получили 16,8 л углекислого газа (н.у.), 1,68 л азота (н.у.) и 14,85 г воды. При нагревании с водным раствором гидроксида натрия данное вещество подвергается гидролизу, продуктами которого являются соединение состава С2H4NО2Na и первичный спирт.
На основании данных условия задания:
1) проведите необходимые вычисления (указывайте единицы измерения искомых физических величин) и установите молекулярную формулу органического вещества;
2) составьте возможную структурную формулу этого вещества, которая однозначно отражает порядок связи атомов в его молекуле;
3) напишите уравнение реакции гидролиза исходного вещества в растворе гидроксида натрия.
ν(CO2) = 16,8 л / 22,4 л/моль = 0,75 моль
ν(N2) = 1,68 л / 22,4 л/моль = 0,075 моль
ν(H2O) = 14,85 г / 18 г/моль = 0,825 моль
n(C) = n(CO2) = 0,75 моль
m(C) = 0,75 моль · 12 г/моль = 9 г
n(H) = 2·n(H2O) = 2·0,825 = 1,65 моль
m(H) = 1,65 моль · 1 г/моль = 1,65 г
n(N) = 2·n(N2) = 2·0,075 = 0,15 моль
m(N) = 0,15 моль · 14 г/моль = 2,1 г
m(O) = 17,55 г − 9 г − 1,65 г − 2,1 г = 4,8 г
n(O) = 4,8 г / 16 г/моль = 0,3 моль
n(C) : n(H) : n(N) : n(O) = 0,75 : 1,65 : 0,15 : 0,3 = 5 : 11 : 1 : 2
Простейшая формула: C5H11NO2
M(C5H11NO2) = 5·12 + 11·1 + 14 + 2·16 = 60 + 11 + 14 + 32 = 117 г/моль
Молекулярная формула: C5H11NO2
Структурная формула:

Уравнение реакции гидролиза:

При сгорании 4,4 г органического вещества получили 8,8 г углекислого газа и 3,6 г воды. Известно, что это вещество содержит третичный атом углерода и его взаимодействие с гидроксидом меди(II) протекает без изменения степени окисления меди.
На основании данных условия задания:
1) проведите необходимые вычисления (указывайте единицы измерения искомых физических величин) и установите молекулярную формулу органического вещества;
2) составьте возможную структурную формулу этого вещества, которая однозначно отражает порядок связи атомов в его молекуле;
3) напишите уравнение реакции этого вещества с гидроксидом меди(II).
ν(CO2) = 8,8 г / 44 г/моль = 0,2 моль
ν(H2O) = 3,6 г / 18 г/моль = 0,2 моль
n(C) = n(CO2) = 0,2 моль
m(C) = 0,2 моль · 12 г/моль = 2,4 г
n(H) = 2·n(H2O) = 2·0,2 = 0,4 моль
m(H) = 0,4 моль · 1 г/моль = 0,4 г
m(O) = 4,4 г − 2,4 г − 0,4 г = 1,6 г
n(O) = 1,6 г / 16 г/моль = 0,1 моль
n(C) : n(H) : n(O) = 0,2 : 0,4 : 0,1 = 2 : 4 : 1
Простейшая формула: C2H4O
Молекулярная формула: C4H8O2
Структурная формула:

Уравнение реакции:

Органическое вещество содержит 40,68% углерода, 54,24% кислорода и 5,08% водорода по массе. При нагревании с водным раствором гидроксида натрия данное вещество подвергается гидролизу с образованием двух продуктов в соотношении 2 : 1, первый из которых имеет состав СHО2Na.
На основании данных условия задания:
1) проведите необходимые вычисления (указывайте единицы измерения искомых физических величин) и установите молекулярную формулу органического вещества;
2) составьте возможную структурную формулу этого вещества, которая однозначно отражает порядок связи атомов в его молекуле;
3) напишите уравнение реакции гидролиза исходного вещества в растворе гидроксида натрия.
ω(C) = 40,68%
ω(O) = 54,24%
ω(H) = 5,08%
Пусть m(вещества) = 100 г, тогда:
n(C) = 40,68 г / 12 г/моль = 3,39 моль
n(H) = 5,08 г / 1 г/моль = 5,08 моль
n(O) = 54,24 г / 16 г/моль = 3,39 моль
n(C) : n(H) : n(O) = 3,39 : 5,08 : 3,39 = 1 : 1,5 : 1 = 2 : 3 : 2
Простейшая формула: C2H3O2
M(C2H3O2) = 2·12 + 3·1 + 2·16 = 24 + 3 + 32 = 59 г/моль
Молекулярная формула: C4H6O4
Структурная формула:

Уравнение реакции гидролиза:

При сжигании образца органического вещества массой 5,84 г получено 10,56 г углекислого газа и 3,6 г воды. При нагревании с водным раствором гидроксида калия данное вещество подвергается гидролизу с образованием двух продуктов, один из которых имеет состав С2H3О2K.
На основании данных условия задания:
1) проведите необходимые вычисления (указывайте единицы измерения искомых физических величин) и установите молекулярную формулу органического вещества;
2) составьте возможную структурную формулу этого вещества, которая однозначно отражает порядок связи атомов в его молекуле;
3) напишите уравнение реакции гидролиза исходного вещества в растворе гидроксида калия.
ν(CO2) = 10,56 г / 44 г/моль = 0,24 моль
ν(H2O) = 3,6 г / 18 г/моль = 0,2 моль
n(C) = n(CO2) = 0,24 моль
m(C) = 0,24 моль · 12 г/моль = 2,88 г
n(H) = 2·n(H2O) = 2·0,2 = 0,4 моль
m(H) = 0,4 моль · 1 г/моль = 0,4 г
m(O) = 5,84 г − 2,88 г − 0,4 г = 2,56 г
n(O) = 2,56 г / 16 г/моль = 0,16 моль
n(C) : n(H) : n(O) = 0,24 : 0,4 : 0,16 = 3 : 5 : 2
Простейшая формула: C3H5O2
M(C3H5O2) = 3·12 + 5·1 + 2·16 = 36 + 5 + 32 = 73 г/моль
Молекулярная формула: C6H10O4
Структурная формула:

Уравнение реакции гидролиза:

Некоторое вещество было получено при окислении циклического углеводорода, не содержащего заместителей в цикле, перманганатом калия в присутствии серной кислоты. Это вещество содержит 45,45% углерода, 48,48% кислорода и 6,07% водорода по массе.
На основании данных условия задания:
1) проведите необходимые вычисления (указывайте единицы измерения искомых физических величин) и установите молекулярную формулу органического вещества;
2) составьте возможную структурную формулу этого вещества, которая однозначно отражает порядок связи атомов в его молекуле;
3) напишите уравнение получения этого вещества окислением соответствующего циклического углеводорода перманганатом калия в присутствии серной кислоты.
ω(C) = 45,45%
ω(O) = 48,48%
ω(H) = 6,07%
Пусть m(вещества) = 100 г, тогда:
n(C) = 45,45 г / 12 г/моль = 3,788 моль
n(H) = 6,07 г / 1 г/моль = 6,07 моль
n(O) = 48,48 г / 16 г/моль = 3,03 моль
n(C) : n(H) : n(O) = 3,788 : 6,07 : 3,03 = 1,25 : 2 : 1 = 5 : 8 : 4
Простейшая формула: C5H8O4
M(C5H8O4) = 5·12 + 8·1 + 4·16 = 60 + 8 + 64 = 132 г/моль
Молекулярная формула: C5H8O4
Структурная формула:

Уравнение реакции окисления:

При сжигании образца органического вещества массой 19,5 г получено 26,21 л (н.у.) углекислого газа и 11,7 г воды. Данное вещество подвергается гидролизу под действием гидроксида натрия с образованием двух солей.
На основании данных условия задания:
1) проведите необходимые вычисления (указывайте единицы измерения искомых физических величин) и установите молекулярную формулу органического вещества;
2) составьте возможную структурную формулу этого вещества, которая однозначно отражает порядок связи атомов в его молекуле;
3) напишите уравнение гидролиза данного вещества в присутствии гидроксида натрия.
ν(CO2) = 26,21 л / 22,4 л/моль = 1,17 моль
ν(H2O) = 11,7 г / 18 г/моль = 0,65 моль
n(C) = n(CO2) = 1,17 моль
m(C) = 1,17 моль · 12 г/моль = 14,04 г
n(H) = 2·n(H2O) = 2·0,65 = 1,3 моль
m(H) = 1,3 моль · 1 г/моль = 1,3 г
m(O) = 19,5 г − 14,04 г − 1,3 г = 4,16 г
n(O) = 4,16 г / 16 г/моль = 0,26 моль
n(C) : n(H) : n(O) = 1,17 : 1,3 : 0,26 = 4,5 : 5 : 1 = 9 : 10 : 2
Простейшая формула: C9H10O2
M(C9H10O2) = 9·12 + 10·1 + 2·16 = 108 + 10 + 32 = 150 г/моль
Молекулярная формула: C9H10O2
Структурная формула:

Уравнение реакции гидролиза:

При сжигании образца органического вещества массой 5,22 г получено 5,376 л (н.у.) углекислого газа и 3,78 г воды. При нагревании в присутствии кислоты данное вещество подвергается гидролизу с образованием двух продуктов, один из которых имеет состав С3H6О2.
На основании данных условия задания:
1) проведите необходимые вычисления (указывайте единицы измерения искомых физических величин) и установите молекулярную формулу органического вещества;
2) составьте возможную структурную формулу этого вещества, которая однозначно отражает порядок связи атомов в его молекуле;
3) напишите уравнение реакции гидролиза исходного вещества в кислой среде.
ν(CO2) = 5,376 л / 22,4 л/моль = 0,24 моль
ν(H2O) = 3,78 г / 18 г/моль = 0,21 моль
n(C) = n(CO2) = 0,24 моль
m(C) = 0,24 моль · 12 г/моль = 2,88 г
n(H) = 2·n(H2O) = 2·0,21 = 0,42 моль
m(H) = 0,42 моль · 1 г/моль = 0,42 г
m(O) = 5,22 г − 2,88 г − 0,42 г = 1,92 г
n(O) = 1,92 г / 16 г/моль = 0,12 моль
n(C) : n(H) : n(O) = 0,24 : 0,42 : 0,12 = 2 : 3,5 : 1 = 4 : 7 : 2
Простейшая формула: C4H7O2
M(C4H7O2) = 4·12 + 7·1 + 2·16 = 48 + 7 + 32 = 87 г/моль
Молекулярная формула: C8H14O4
M(C8H14O4) = 8·12 + 14·1 + 4·16 = 96 + 14 + 64 = 174 г/моль
Структурная формула:

Уравнение реакции гидролиза:

При сжигании образца органического вещества массой 9,44 г получено 7,168 л (н.у.) углекислого газа и 4,32 г воды. При нагревании с водным раствором гидроксида калия данное вещество подвергается гидролизу с образованием двух продуктов в соотношении 2 : 1, первый из которых имеет состав СHО2K.
На основании данных условия задания:
1) проведите необходимые вычисления (указывайте единицы измерения искомых физических величин) и установите молекулярную формулу органического вещества;
2) составьте возможную структурную формулу этого вещества, которая однозначно отражает порядок связи атомов в его молекуле;
3) напишите уравнение реакции гидролиза исходного вещества в растворе гидроксида калия.
ν(CO2) = 7,168 л / 22,4 л/моль = 0,32 моль
ν(H2O) = 4,32 г / 18 г/моль = 0,24 моль
n(C) = n(CO2) = 0,32 моль
m(C) = 0,32 моль · 12 г/моль = 3,84 г
n(H) = 2·n(H2O) = 2·0,24 = 0,48 моль
m(H) = 0,48 моль · 1 г/моль = 0,48 г
m(O) = 9,44 г − 3,84 г − 0,48 г = 5,12 г
n(O) = 5,12 г / 16 г/моль = 0,32 моль
n(C) : n(H) : n(O) = 0,32 : 0,48 : 0,32 = 1 : 1,5 : 1 = 2 : 3 : 2
Простейшая формула: C2H3O2
M(C2H3O2) = 2·12 + 3·1 + 2·16 = 24 + 3 + 32 = 59 г/моль
Молекулярная формула: C4H6O4
M(C4H6O4) = 4·12 + 6·1 + 4·16 = 48 + 6 + 64 = 118 г/моль
Структурная формула:

Уравнение реакции гидролиза:

Некоторое вещество было получено при окислении циклического углеводорода, не содержащего заместителей в цикле, перманганатом калия в присутствии серной кислоты. Это вещество содержит 49,31% углерода, 43,84% кислорода и 6,85% водорода по массе.
На основании данных условия задания:
1) проведите необходимые вычисления (указывайте единицы измерения искомых физических величин) и установите молекулярную формулу органического вещества;
2) составьте возможную структурную формулу этого вещества, которая однозначно отражает порядок связи атомов в его молекуле;
3) напишите уравнение получения этого вещества окислением соответствующего циклического углеводорода перманганатом калия в присутствии серной кислоты.
ω(C) = 49,31%
ω(O) = 43,84%
ω(H) = 6,85%
Пусть m(вещества) = 100 г, тогда:
n(C) = 49,31 г / 12 г/моль = 4,109 моль
n(H) = 6,85 г / 1 г/моль = 6,85 моль
n(O) = 43,84 г / 16 г/моль = 2,74 моль
n(C) : n(H) : n(O) = 4,109 : 6,85 : 2,74 = 1,5 : 2,5 : 1 = 3 : 5 : 2
Простейшая формула: C3H5O2
Молекулярная формула: C6H10O4
Структурная формула:

Уравнение реакции окисления:

Некоторое вещество было получено при окислении циклического углеводорода, не содержащего заместителей в цикле, перманганатом калия в присутствии серной кислоты. При сжигании образца этого вещества массой 21,9 г получили 39,6 г углекислого газа и 13,5 г воды.
На основании данных условия задания:
1) проведите необходимые вычисления (указывайте единицы измерения искомых физических величин) и установите молекулярную формулу органического вещества;
2) составьте возможную структурную формулу этого вещества, которая однозначно отражает порядок связи атомов в его молекуле;
3) напишите уравнение получения этого вещества окислением соответствующего циклического углеводорода перманганатом калия в присутствии серной кислоты.
ν(CO2) = 39,6 г / 44 г/моль = 0,9 моль
ν(H2O) = 13,5 г / 18 г/моль = 0,75 моль
n(C) = n(CO2) = 0,9 моль
m(C) = 0,9 моль · 12 г/моль = 10,8 г
n(H) = 2·n(H2O) = 2·0,75 = 1,5 моль
m(H) = 1,5 моль · 1 г/моль = 1,5 г
m(O) = 21,9 г − 10,8 г − 1,5 г = 9,6 г
n(O) = 9,6 г / 16 г/моль = 0,6 моль
n(C) : n(H) : n(O) = 0,9 : 1,5 : 0,6 = 3 : 5 : 2
Простейшая формула: C3H5O2
Молекулярная формула: C6H10O4
Структурная формула:

Уравнение реакции окисления:

Органическое вещество содержит 3,41% водорода, 34,09% углерода, 36,36% кислорода и 26,14% натрия по массе. Известно, что при нагревании этого вещества с избытком гидроксида натрия образуется предельный углеводород.
На основании данных условия задания:
1) проведите необходимые вычисления (указывайте единицы измерения искомых физических величин) и установите молекулярную формулу органического вещества;
2) составьте возможную структурную формулу этого вещества, которая однозначно отражает порядок связи атомов в его молекуле;
3) напишите уравнение реакции, протекающей при нагревании исходного вещества с избытком гидроксида натрия.
ω(H) = 3,41%
ω(C) = 34,09%
ω(O) = 36,36%
ω(Na) = 26,14%
Пусть m(вещества) = 100 г, тогда:
n(C) = 34,09 г / 12 г/моль = 2,841 моль
n(H) = 3,41 г / 1 г/моль = 3,41 моль
n(O) = 36,36 г / 16 г/моль = 2,273 моль
n(Na) = 26,14 г / 23 г/моль = 1,137 моль
n(C) : n(H) : n(O) : n(Na) = 2,841 : 3,41 : 2,273 : 1,137 = 2,5 : 3 : 2 : 1 = 5 : 6 : 4 : 2
Простейшая формула: C5H6O4Na2
Молекулярная формула: C5H6O4Na2
Структурная формула:

Уравнение реакции:

Органическое вещество, массовая доля углерода в котором равна 45,45%, водорода – 6,06%, кислорода – 48,48%, при нагревании реагирует с водным раствором гидроксида натрия, образуя два спирта и соль органической кислоты.
На основании данных условия задания:
1) проведите необходимые вычисления (указывайте единицы измерения искомых физических величин) и установите молекулярную формулу органического вещества;
2) составьте возможную структурную формулу этого вещества, которая однозначно отражает порядок связи атомов в его молекуле;
3) напишите уравнение реакции исходного вещества с водным раствором гидроксида натрия.
ω(C) = 45,45%
ω(H) = 6,06%
ω(O) = 48,48%
Пусть m(вещества) = 100 г, тогда:
n(C) = 45,45 г / 12 г/моль = 3,788 моль
n(H) = 6,06 г / 1 г/моль = 6,06 моль
n(O) = 48,48 г / 16 г/моль = 3,03 моль
n(C) : n(H) : n(O) = 3,788 : 6,06 : 3,03 = 1,25 : 2 : 1 = 5 : 8 : 4
Простейшая формула: C5H8O4
Молекулярная формула: C5H8O4
Структурная формула:

Уравнение реакции:

Органическое вещество содержит 2,88% водорода, 28,85% углерода, 30,77% кислорода и 37,5% калия по массе. Известно, что при нагревании этого вещества с избытком гидроксида калия образуется предельный углеводород.
На основании данных условия задания:
1) проведите необходимые вычисления (указывайте единицы измерения искомых физических величин) и установите молекулярную формулу органического вещества;
2) составьте возможную структурную формулу этого вещества, которая однозначно отражает порядок связи атомов в его молекуле;
3) напишите уравнение реакции, протекающей при нагревании исходного вещества с избытком гидроксида калия.
ω(H) = 2,88%
ω(C) = 28,85%
ω(O) = 30,77%
ω(K) = 37,5%
Пусть m(вещества) = 100 г, тогда:
n(C) = 28,85 г / 12 г/моль = 2,404 моль
n(H) = 2,88 г / 1 г/моль = 2,88 моль
n(O) = 30,77 г / 16 г/моль = 1,923 моль
n(K) = 37,5 г / 39 г/моль = 0,962 моль
n(C) : n(H) : n(O) : n(K) = 2,404 : 2,88 : 1,923 : 0,962 = 2,5 : 3 : 2 : 1 = 5 : 6 : 4 : 2
Простейшая формула: C5H6O4K2
Молекулярная формула: C5H6O4K2
Структурная формула:
KOOCCH2CH2CH2COOK
Уравнение реакции:
KOOCCH2CH2CH2COOK + 2KOH → 2K2CO3 + CH3CH2CH3
Органическое вещество, массовая доля углерода в котором равна 49,31%, кислорода – 43,84%, при нагревании реагирует с водным раствором гидроксида натрия, образуя этанол и соль органической кислоты.
На основании данных условия задания:
1) проведите необходимые вычисления (указывайте единицы измерения искомых физических величин) и установите молекулярную формулу органического вещества;
2) составьте возможную структурную формулу этого вещества, которая однозначно отражает порядок связи атомов в его молекуле;
3) напишите уравнение реакции исходного вещества с водным раствором гидроксида натрия.
ω(C) = 49,31%
ω(O) = 43,84%
ω(H) = 100% − 49,31% − 43,84% = 6,85%
Пусть m(вещества) = 100 г, тогда:
n(C) = 49,31 г / 12 г/моль = 4,109 моль
n(H) = 6,85 г / 1 г/моль = 6,85 моль
n(O) = 43,84 г / 16 г/моль = 2,74 моль
n(C) : n(H) : n(O) = 4,109 : 6,85 : 2,74 = 1,5 : 2,5 : 1 = 3 : 5 : 2
Простейшая формула: C3H5O2
Молекулярная формула: C6H10O4
Структурная формула:

Уравнение реакции:

Органическое вещество, массовая доля водорода в котором равна 5,08%, кислорода – 54,24%, при нагревании реагирует с водным раствором гидроксида калия, образуя метанол и соль органической кислоты.
На основании данных условия задания:
1) проведите необходимые вычисления (указывайте единицы измерения искомых физических величин) и установите молекулярную формулу органического вещества;
2) составьте возможную структурную формулу этого вещества, которая однозначно отражает порядок связи атомов в его молекуле;
3) напишите уравнение реакции исходного вещества с водным раствором гидроксида калия.
ω(H) = 5,08%
ω(O) = 54,24%
ω(C) = 100% − 5,08% − 54,24% = 40,68%
Пусть m(вещества) = 100 г, тогда:
n(C) = 40,68 г / 12 г/моль = 3,39 моль
n(H) = 5,08 г / 1 г/моль = 5,08 моль
n(O) = 54,24 г / 16 г/моль = 3,39 моль
n(C) : n(H) : n(O) = 3,39 : 5,08 : 3,39 = 1 : 1,5 : 1 = 2 : 3 : 2
Простейшая формула: C2H3O2
Молекулярная формула: C4H6O4
Структурная формула:

Уравнение реакции:
Органическое вещество, массовая доля водорода в котором равна 6,85%, кислорода – 43,84%, при нагревании реагирует с водным раствором гидроксида натрия, образуя этанол и соль органической кислоты.
На основании данных условия задания:
1) проведите необходимые вычисления (указывайте единицы измерения искомых физических величин) и установите молекулярную формулу органического вещества;
2) составьте возможную структурную формулу этого вещества, которая однозначно отражает порядок связи атомов в его молекуле;
3) напишите уравнение реакции исходного вещества с водным раствором гидроксида натрия.
ω(H) = 6,85%
ω(O) = 43,84%
ω(C) = 100% − 6,85% − 43,84% = 49,31%
Пусть m(вещества) = 100 г, тогда:
n(C) = 49,31 г / 12 г/моль = 4,109 моль
n(H) = 6,85 г / 1 г/моль = 6,85 моль
n(O) = 43,84 г / 16 г/моль = 2,74 моль
n(C) : n(H) : n(O) = 4,109 : 6,85 : 2,74 = 1,5 : 2,5 : 1 = 3 : 5 : 2
Простейшая формула: C3H5O2
Молекулярная формула: C6H10O4
Структурная формула:

Уравнение реакции:

Некоторое органическое вещество содержит 9,43% водорода, а также углерод и кислород, массовые доли которых равны. Это вещество реагирует с натрием и со свежеосаждённым гидроксидом меди(II), молекула его содержит третичный атом углерода.
На основании данных условия задания:
1) проведите необходимые вычисления (указывайте единицы измерения искомых физических величин) и установите молекулярную формулу органического вещества;
2) составьте возможную структурную формулу этого вещества, которая однозначно отражает порядок связи атомов в его молекуле;
3) напишите уравнение реакции исходного вещества с избытком натрия.
ω(H) = 9,43%
ω(C) = ω(O)
ω(C) + ω(O) = 100% − 9,43% = 90,57%
ω(C) = ω(O) = 90,57% / 2 = 45,285%
Пусть m(вещества) = 100 г, тогда:
n(C) = 45,285 г / 12 г/моль = 3,774 моль
n(H) = 9,43 г / 1 г/моль = 9,43 моль
n(O) = 45,285 г / 16 г/моль = 2,83 моль
n(C) : n(H) : n(O) = 3,774 : 9,43 : 2,83 = 1,33 : 3,33 : 1 = 4 : 10 : 3
Простейшая формула: C4H10O3
Молекулярная формула: C4H10O3
Структурная формула:

Уравнение реакции:

При сгорании 3,8 г органического вещества получено 3,36 л (н.у.) углекислого газа и 3,6 г воды. Известно, что это вещество реагирует с натрием, азотной кислотой и со свежеосаждённым гидроксидом меди(II).
На основании данных условия задания:
1) проведите необходимые вычисления (указывайте единицы измерения искомых физических величин) и установите молекулярную формулу органического вещества;
2) составьте возможную структурную формулу этого вещества, которая однозначно отражает порядок связи атомов в его молекуле;
3) напишите уравнение реакции исходного вещества с азотной кислотой.
ν(CO2) = 3,36 л / 22,4 л/моль = 0,15 моль
ν(H2O) = 3,6 г / 18 г/моль = 0,2 моль
n(C) = n(CO2) = 0,15 моль
m(C) = 0,15 моль · 12 г/моль = 1,8 г
n(H) = 2·n(H2O) = 2·0,2 = 0,4 моль
m(H) = 0,4 моль · 1 г/моль = 0,4 г
m(O) = 3,8 г − 1,8 г − 0,4 г = 1,6 г
n(O) = 1,6 г / 16 г/моль = 0,1 моль
n(C) : n(H) : n(O) = 0,15 : 0,4 : 0,1 = 3 : 8 : 2
Простейшая формула: C3H8O2
Молекулярная формула: C3H8O2
Структурная формула:

Уравнение реакции:

При сгорании 2,28 г органического вещества получено 2,016 л (н.у.) углекислого газа и 2,16 г воды. Известно, что это вещество реагирует с натрием, азотной кислотой и со свежеосаждённым гидроксидом меди(II).
На основании данных условия задания:
1) проведите необходимые вычисления (указывайте единицы измерения искомых физических величин) и установите молекулярную формулу органического вещества;
2) составьте возможную структурную формулу этого вещества, которая однозначно отражает порядок связи атомов в его молекуле;
3) напишите уравнение реакции исходного вещества с азотной кислотой.
ν(CO2) = 2,016 л / 22,4 л/моль = 0,09 моль
ν(H2O) = 2,16 г / 18 г/моль = 0,12 моль
n(C) = n(CO2) = 0,09 моль
m(C) = 0,09 моль · 12 г/моль = 1,08 г
n(H) = 2·n(H2O) = 2·0,12 = 0,24 моль
m(H) = 0,24 моль · 1 г/моль = 0,24 г
m(O) = 2,28 г − 1,08 г − 0,24 г = 0,96 г
n(O) = 0,96 г / 16 г/моль = 0,06 моль
n(C) : n(H) : n(O) = 0,09 : 0,24 : 0,06 = 3 : 8 : 2
Простейшая формула: C3H8O2
Молекулярная формула: C3H8O2
Структурная формула:

Уравнение реакции:

Органическое вещество, массовая доля углерода в котором равна 40,68%, кислорода – 54,24%, при нагревании реагирует с водным раствором гидроксида натрия, образуя метанол и соль органической кислоты.
На основании данных условия задания:
1) проведите необходимые вычисления (указывайте единицы измерения искомых физических величин) и установите молекулярную формулу органического вещества;
2) составьте возможную структурную формулу этого вещества, которая однозначно отражает порядок связи атомов в его молекуле;
3) напишите уравнение реакции исходного вещества с водным раствором гидроксида натрия.
ω(C) = 40,68%
ω(O) = 54,24%
ω(H) = 100% − 40,68% − 54,24% = 5,08%
Пусть m(вещества) = 100 г, тогда:
n(C) = 40,68 г / 12 г/моль = 3,39 моль
n(H) = 5,08 г / 1 г/моль = 5,08 моль
n(O) = 54,24 г / 16 г/моль = 3,39 моль
n(C) : n(H) : n(O) = 3,39 : 5,08 : 3,39 = 1 : 1,5 : 1 = 2 : 3 : 2
Простейшая формула: C2H3O2
Молекулярная формула: C4H6O4
Структурная формула:

Уравнение реакции:

Органическое вещество содержит 2,47% водорода, 29,63% углерода, 39,5% кислорода и 28,4% натрия по массе. Известно, что при нагревании этого вещества с избытком гидроксида натрия образуется предельный углеводород.
На основании данных условия задания:
1) проведите необходимые вычисления (указывайте единицы измерения искомых физических величин) и установите молекулярную формулу органического вещества;
2) составьте возможную структурную формулу этого вещества, которая однозначно отражает порядок связи атомов в его молекуле;
3) напишите уравнение реакции, протекающей при нагревании исходного вещества с избытком гидроксида натрия.
ω(H) = 2,47%
ω(C) = 29,63%
ω(O) = 39,5%
ω(Na) = 28,4%
Пусть m(вещества) = 100 г, тогда:
n(C) = 29,63 г / 12 г/моль = 2,469 моль
n(H) = 2,47 г / 1 г/моль = 2,47 моль
n(O) = 39,5 г / 16 г/моль = 2,469 моль
n(Na) = 28,4 г / 23 г/моль = 1,235 моль
n(C) : n(H) : n(O) : n(Na) = 2,469 : 2,47 : 2,469 : 1,235 = 2 : 2 : 2 : 1 = 4 : 4 : 4 : 2
Простейшая формула: C4H4O4Na2
Молекулярная формула: C4H4O4Na2
Структурная формула:

Уравнение реакции:

Органическое вещество содержит 2,06% водорода, 24,74% углерода, 32,99% кислорода и 40,21% калия по массе. Известно, что при нагревании этого вещества с избытком гидроксида калия образуется предельный углеводород.
На основании данных условия задания:
1) проведите необходимые вычисления (указывайте единицы измерения искомых физических величин) и установите молекулярную формулу органического вещества;
2) составьте возможную структурную формулу этого вещества, которая однозначно отражает порядок связи атомов в его молекуле;
3) напишите уравнение реакции, протекающей при нагревании исходного вещества с избытком гидроксида калия.
ω(H) = 2,06%
ω(C) = 24,74%
ω(O) = 32,99%
ω(K) = 40,21%
Пусть m(вещества) = 100 г, тогда:
n(C) = 24,74 г / 12 г/моль = 2,062 моль
n(H) = 2,06 г / 1 г/моль = 2,06 моль
n(O) = 32,99 г / 16 г/моль = 2,062 моль
n(K) = 40,21 г / 39 г/моль = 1,031 моль
n(C) : n(H) : n(O) : n(K) = 2,062 : 2,06 : 2,062 : 1,031 = 2 : 2 : 2 : 1 = 4 : 4 : 4 : 2
Простейшая формула: C4H4O4K2
M(C4H4O4K2) = 4·12 + 4·1 + 4·16 + 2·39 = 48 + 4 + 64 + 78 = 194 г/моль
Молекулярная формула: C4H4O4K2
Структурная формула:

Уравнение реакции:

При гидролизе органического вещества, протекающем в разбавленном растворе щёлочи при нагревании, получены продукт состава С2H3O2Na и соединение, содержащее по массе 38,71% углерода, 9,68% водорода и кислород.
На основании данных условия задания:
1) проведите необходимые вычисления (указывайте единицы измерения искомых физических величин) и установите молекулярную формулу органического вещества;
2) составьте возможную структурную формулу этого вещества, которая однозначно отражает порядок связи атомов в его молекуле;
3) напишите уравнение реакции гидролиза исходного вещества в щелочной среде.
ω(C) = 38,71%
ω(H) = 9,68%
ω(O) = 100% − 38,71% − 9,68% = 51,61%
Пусть m(вещества) = 100 г, тогда:
n(C) = 38,71 г / 12 г/моль = 3,226 моль
n(H) = 9,68 г / 1 г/моль = 9,68 моль
n(O) = 51,61 г / 16 г/моль = 3,226 моль
n(C) : n(H) : n(O) = 3,226 : 9,68 : 3,226 = 1 : 3 : 1
Простейшая формула второго продукта: CH3O
Молекулярная формула второго продукта: C2H6O2 (этиленгликоль)
Молекулярная формула исходного вещества: C6H10O4
Структурная формула исходного вещества:

Уравнение реакции гидролиза исходного вещества:

При сжигании образца органического вещества массой 8,76 г получено 8,064 л (н.у.) углекислого газа и 5,4 г воды. При нагревании в присутствии кислоты данное вещество подвергается гидролизу с образованием двух продуктов в соотношении 2 : 1, первый из которых имеет состав С2H4O2.
На основании данных условия задания:
1) проведите необходимые вычисления (указывайте единицы измерения искомых физических величин) и установите молекулярную формулу органического вещества;
2) составьте возможную структурную формулу этого вещества, которая однозначно отражает порядок связи атомов в его молекуле;
3) напишите уравнение реакции гидролиза исходного вещества в кислой среде.
ν(CO2) = 8,064 л / 22,4 л/моль = 0,36 моль
ν(H2O) = 5,4 г / 18 г/моль = 0,3 моль
n(C) = n(CO2) = 0,36 моль
m(C) = 0,36 моль · 12 г/моль = 4,32 г
n(H) = 2·n(H2O) = 2·0,3 = 0,6 моль
m(H) = 0,6 моль · 1 г/моль = 0,6 г
m(O) = 8,76 г − 4,32 г − 0,6 г = 3,84 г
n(O) = 3,84 г / 16 г/моль = 0,24 моль
n(C) : n(H) : n(O) = 0,36 : 0,6 : 0,24 = 3 : 5 : 2
Простейшая формула: C3H5O2
Молекулярная формула: C6H10O4
Структурная формула:

Уравнение реакции гидролиза:

При взаимодействии соли вторичного амина с ацетатом серебра образуется органическое вещество А и бромид серебра. Вещество А содержит 11,76% азота, 26,89% кислорода и 10,92% водорода по массе.
На основании данных условия задания:
1) проведите необходимые вычисления (указывайте единицы измерения искомых физических величин) и установите молекулярную формулу органического вещества;
2) составьте возможную структурную формулу этого вещества, которая однозначно отражает порядок связи атомов в его молекуле;
3) напишите уравнение реакции получения вещества А взаимодействием соли вторичного амина и ацетата серебра.
ω(N) = 11,76%
ω(O) = 26,89%
ω(H) = 10,92%
ω(C) = 100% − 11,76% − 26,89% − 10,92% = 50,43%
Пусть m(вещества А) = 100 г, тогда:
n(C) = 50,43 г / 12 г/моль = 4,203 моль
n(H) = 10,92 г / 1 г/моль = 10,92 моль
n(N) = 11,76 г / 14 г/моль = 0,84 моль
n(O) = 26,89 г / 16 г/моль = 1,681 моль
n(C) : n(H) : n(N) : n(O) = 4,203 : 10,92 : 0,84 : 1,681 = 5 : 13 : 1 : 2
Простейшая формула: C5H13NO2
Молекулярная формула: C5H13NO2
Структурная формула:

Уравнение реакции:

Некоторое вещество было получено при окислении циклического углеводорода, не содержащего заместителей в цикле, перманганатом калия в присутствии серной кислоты. При сжигании образца этого вещества массой 15,84 г получено 13,44 л (н.у.) углекислого газа и 8,64 г воды.
На основании данных условия задания:
1) проведите необходимые вычисления (указывайте единицы измерения искомых физических величин) и установите молекулярную формулу органического вещества;
2) составьте возможную структурную формулу этого вещества, которая однозначно отражает порядок связи атомов в его молекуле;
3) напишите уравнение реакции получения этого вещества окислением соответствующего циклического углеводорода перманганатом калия в присутствии серной кислоты.
ν(CO2) = 13,44 л / 22,4 л/моль = 0,6 моль
ν(H2O) = 8,64 г / 18 г/моль = 0,48 моль
n(C) = n(CO2) = 0,6 моль
m(C) = 0,6 моль · 12 г/моль = 7,2 г
n(H) = 2·n(H2O) = 2·0,48 = 0,96 моль
m(H) = 0,96 моль · 1 г/моль = 0,96 г
m(O) = 15,84 г − 7,2 г − 0,96 г = 7,68 г
n(O) = 7,68 г / 16 г/моль = 0,48 моль
n(C) : n(H) : n(O) = 0,6 : 0,96 : 0,48 = 1,25 : 2 : 1 = 5 : 8 : 4
Простейшая формула: C5H8O4
Молекулярная формула: C5H8O4
Структурная формула:

Уравнение реакции окисления:

Некоторое органическое вещество содержит 70,59% углерода, 5,88% водорода и 23,53% кислорода по массе. Данное вещество подвергается гидролизу под действием гидроксида натрия с образованием двух солей.
На основании данных условия задания:
1) проведите необходимые вычисления (указывайте единицы измерения искомых физических величин) и установите молекулярную формулу органического вещества;
2) составьте возможную структурную формулу этого вещества, которая однозначно отражает порядок связи атомов в его молекуле;
3) напишите уравнение гидролиза данного вещества в присутствии гидроксида натрия.
ω(C) = 70,59%
ω(H) = 5,88%
ω(O) = 23,53%
Пусть m(вещества) = 100 г, тогда:
n(C) = 70,59 г / 12 г/моль = 5,883 моль
n(H) = 5,88 г / 1 г/моль = 5,88 моль
n(O) = 23,53 г / 16 г/моль = 1,471 моль
n(C) : n(H) : n(O) = 5,883 : 5,88 : 1,471 = 4 : 4 : 1
Простейшая формула: C4H4O
Молекулярная формула: C8H8O2
Структурная формула:

Уравнение реакции гидролиза:

При взаимодействии соли первичного амина с ацетатом серебра образуется органическое вещество А и хлорид серебра. Вещество А содержит 15,38% азота, 35,16% кислорода и 9,90% водорода по массе.
На основании данных условия задания:
1) проведите необходимые вычисления (указывайте единицы измерения искомых физических величин) и установите молекулярную формулу органического вещества;
2) составьте возможную структурную формулу этого вещества, которая однозначно отражает порядок связи атомов в его молекуле;
3) напишите уравнение реакции получения вещества А взаимодействием соли первичного амина и ацетата серебра.
ω(N) = 15,38%
ω(O) = 35,16%
ω(H) = 9,90%
ω(C) = 100% − 15,38% − 35,16% − 9,90% = 39,56%
Пусть m(вещества А) = 100 г, тогда:
n(C) = 39,56 г / 12 г/моль = 3,297 моль
n(H) = 9,90 г / 1 г/моль = 9,90 моль
n(N) = 15,38 г / 14 г/моль = 1,099 моль
n(O) = 35,16 г / 16 г/моль = 2,198 моль
n(C) : n(H) : n(N) : n(O) = 3,297 : 9,90 : 1,099 : 2,198 = 3 : 9 : 1 : 2
Простейшая формула: C3H9NO2
Молекулярная формула: C3H9NO2
Структурная формула:

Уравнение реакции:

При сжигании образца органического вещества массой 9,52 г получено 24,64 г углекислого газа и 5,04 г воды. Данное вещество подвергается гидролизу под действием гидроксида натрия с образованием двух солей.
На основании данных условия задания:
1) проведите необходимые вычисления (указывайте единицы измерения искомых физических величин) и установите молекулярную формулу органического вещества;
2) составьте возможную структурную формулу этого вещества, которая однозначно отражает порядок связи атомов в его молекуле;
3) напишите уравнение гидролиза данного вещества в присутствии гидроксида натрия.
ν(CO2) = 24,64 г / 44 г/моль = 0,56 моль
ν(H2O) = 5,04 г / 18 г/моль = 0,28 моль
n(C) = n(CO2) = 0,56 моль
m(C) = 0,56 моль · 12 г/моль = 6,72 г
n(H) = 2·n(H2O) = 2·0,28 = 0,56 моль
m(H) = 0,56 моль · 1 г/моль = 0,56 г
m(O) = 9,52 г − 6,72 г − 0,56 г = 2,24 г
n(O) = 2,24 г / 16 г/моль = 0,14 моль
n(C) : n(H) : n(O) = 0,56 : 0,56 : 0,14 = 4 : 4 : 1
Простейшая формула: C4H4O
M(C4H4O) = 4·12 + 4·1 + 16 = 48 + 4 + 16 = 68 г/моль
Молекулярная формула: C8H8O2
M(C8H8O2) = 8·12 + 8·1 + 2·16 = 96 + 8 + 32 = 136 г/моль
Структурная формула:

Уравнение реакции гидролиза:

При сгорании 21,6 г органического вещества нециклического строения получили 70,4 г углекислого газа и 21,6 г воды. Известно, что при присоединении 1 моль хлороводорода к 1 моль этого вещества преимущественно образуется соединение, содержащее атом хлора у первичного атома углерода.
На основании данных условия задания:
1) проведите необходимые вычисления (указывайте единицы измерения искомых физических величин) и установите молекулярную формулу органического вещества;
2) составьте возможную структурную формулу этого вещества, которая однозначно отражает порядок связи атомов в его молекуле;
3) напишите уравнение реакции данного вещества с хлороводородом.
ν(CO2) = 70,4 г / 44 г/моль = 1,6 моль
ν(H2O) = 21,6 г / 18 г/моль = 1,2 моль
n(C) = n(CO2) = 1,6 моль
m(C) = 1,6 моль · 12 г/моль = 19,2 г
n(H) = 2·n(H2O) = 2·1,2 = 2,4 моль
m(H) = 2,4 моль · 1 г/моль = 2,4 г
m(C) + m(H) = 19,2 г + 2,4 г = 21,6 г
n(C) : n(H) = 1,6 : 2,4 = 2 : 3
Простейшая формула: C2H3
M(C2H3) = 2·12 + 3·1 = 24 + 3 = 27 г/моль
Молекулярная формула: C4H6
Структурная формула:
![]()
Уравнение реакции:

При взаимодействии соли вторичного амина с ацетатом серебра образуется органическое вещество А и йодид серебра. Вещество А содержит 45,71% углерода, 10,48% водорода и 30,48% кислорода по массе.
На основании данных условия задания:
1) проведите необходимые вычисления (указывайте единицы измерения искомых физических величин) и установите молекулярную формулу органического вещества;
2) составьте возможную структурную формулу этого вещества, которая однозначно отражает порядок связи атомов в его молекуле;
3) напишите уравнение реакции получения вещества А взаимодействием соли вторичного амина и ацетата серебра.
ω(C) = 45,71%
ω(H) = 10,48%
ω(O) = 30,48%
ω(N) = 100% − 45,71% − 10,48% − 30,48% = 13,33%
Пусть m(вещества А) = 100 г, тогда:
n(C) = 45,71 г / 12 г/моль = 3,809 моль
n(H) = 10,48 г / 1 г/моль = 10,48 моль
n(N) = 13,33 г / 14 г/моль = 0,952 моль
n(O) = 30,48 г / 16 г/моль = 1,905 моль
n(C) : n(H) : n(N) : n(O) = 3,809 : 10,48 : 0,952 : 1,905 = 4 : 11 : 1 : 2
Простейшая формула: C4H11NO2
M(C4H11NO2) = 4·12 + 11·1 + 14 + 2·16 = 48 + 11 + 14 + 32 = 105 г/моль
Молекулярная формула: C4H11NO2
Структурная формула:

Уравнение реакции:

При сжигании образца органического вещества массой 16,32 г получено 21,5 л (н.у.) углекислого газа и 8,64 г воды. Данное вещество подвергается гидролизу под действием гидроксида калия с образованием двух солей.
На основании данных условия задания:
1) проведите необходимые вычисления (указывайте единицы измерения искомых физических величин) и установите молекулярную формулу органического вещества;
2) составьте возможную структурную формулу этого вещества, которая однозначно отражает порядок связи атомов в его молекуле;
3) напишите уравнение гидролиза данного вещества в присутствии гидроксида калия.
ν(CO2) = 21,5 л / 22,4 л/моль = 0,96 моль
ν(H2O) = 8,64 г / 18 г/моль = 0,48 моль
n(C) = n(CO2) = 0,96 моль
m(C) = 0,96 моль · 12 г/моль = 11,52 г
n(H) = 2·n(H2O) = 2·0,48 = 0,96 моль
m(H) = 0,96 моль · 1 г/моль = 0,96 г
m(O) = 16,32 г − 11,52 г − 0,96 г = 3,84 г
n(O) = 3,84 г / 16 г/моль = 0,24 моль
n(C) : n(H) : n(O) = 0,96 : 0,96 : 0,24 = 4 : 4 : 1
Простейшая формула: C4H4O
M(C4H4O) = 4·12 + 4·1 + 16 = 48 + 4 + 16 = 68 г/моль
Молекулярная формула: C8H8O2
M(C8H8O2) = 8·12 + 8·1 + 2·16 = 96 + 8 + 32 = 136 г/моль
Структурная формула:

Уравнение реакции гидролиза:

При взаимодействии соли вторичного амина с ацетатом серебра образуется органическое вещество А и хлорид серебра. Вещество А содержит 50,43% углерода, 11,76% азота и 26,89% кислорода по массе.
На основании данных условия задания:
1) проведите необходимые вычисления (указывайте единицы измерения искомых физических величин) и установите молекулярную формулу органического вещества;
2) составьте возможную структурную формулу этого вещества, которая однозначно отражает порядок связи атомов в его молекуле;
3) напишите уравнение реакции получения вещества А взаимодействием соли вторичного амина и ацетата серебра.
ω(C) = 50,43%
ω(N) = 11,76%
ω(O) = 26,89%
ω(H) = 100% − 50,43% − 11,76% − 26,89% = 10,92%
Пусть m(вещества А) = 100 г, тогда:
n(C) = 50,43 г / 12 г/моль = 4,203 моль
n(H) = 10,92 г / 1 г/моль = 10,92 моль
n(N) = 11,76 г / 14 г/моль = 0,84 моль
n(O) = 26,89 г / 16 г/моль = 1,681 моль
n(C) : n(H) : n(N) : n(O) = 4,203 : 10,92 : 0,84 : 1,681 = 5 : 13 : 1 : 2
Простейшая формула: C5H13NO2
M(C5H13NO2) = 5·12 + 13·1 + 14 + 2·16 = 60 + 13 + 14 + 32 = 119 г/моль
Молекулярная формула: C5H13NO2
Структурная формула:

Уравнение реакции:

При сжигании образца органического вещества А получено 4,48 л (н.у.) углекислого газа, 1,44 г воды и 12,96 г бромоводорода. Данное вещество А может быть получено присоединением избытка брома к соответствующему углеводороду Б. Также известно, что при бромировани этого углеводорода Б в условиях недостатка брома возможно образование структурных изомеров.
На основании данных условия задания:
1) проведите необходимые вычисления (указывайте единицы измерения искомых физических величин) и установите молекулярную формулу органического вещества;
2) составьте возможную структурную формулу этого вещества, которая однозначно отражает порядок связи атомов в его молекуле;
3) напишите уравнение реакции получения данного вещества А взаимодействием соответствующего углеводорода Б с избытком брома.
ν(CO2) = 4,48 л / 22,4 л/моль = 0,2 моль
ν(H2O) = 1,44 г / 18 г/моль = 0,08 моль
ν(HBr) = 12,96 г / 81 г/моль = 0,16 моль
n(C) = n(CO2) = 0,2 моль
n(H) = 2·n(H2O) + n(HBr) = 2·0,08 + 0,16 = 0,32 моль
n(Br) = n(HBr) = 0,16 моль
n(C) : n(H) : n(Br) = 0,2 : 0,32 : 0,16 = 5 : 8 : 4
Молекулярная формула вещества А: C5H8Br4
Молекулярная формула углеводорода Б: C5H8
Структурная формула вещества А:

Уравнение реакции:

При сжигании образца органического вещества массой 12 г получено 31,68 г углекислого газа и 7,2 г воды. Данное вещество подвергается гидролизу под действием гидроксида калия с образованием двух солей.
На основании данных условия задания:
1) проведите необходимые вычисления (указывайте единицы измерения искомых физических величин) и установите молекулярную формулу органического вещества;
2) составьте возможную структурную формулу этого вещества, которая однозначно отражает порядок связи атомов в его молекуле;
3) напишите уравнение гидролиза данного вещества в присутствии гидроксида калия.
ν(CO2) = 31,68 г / 44 г/моль = 0,72 моль
ν(H2O) = 7,2 г / 18 г/моль = 0,4 моль
n(C) = n(CO2) = 0,72 моль
m(C) = 0,72 моль · 12 г/моль = 8,64 г
n(H) = 2·n(H2O) = 2·0,4 = 0,8 моль
m(H) = 0,8 моль · 1 г/моль = 0,8 г
m(O) = 12 г − 8,64 г − 0,8 г = 2,56 г
n(O) = 2,56 г / 16 г/моль = 0,16 моль
n(C) : n(H) : n(O) = 0,72 : 0,8 : 0,16 = 4,5 : 5 : 1 = 9 : 10 : 2
Простейшая формула: C9H10O2
Молекулярная формула: C9H10O2
Структурная формула:

Уравнение реакции гидролиза:

Вещество А содержит 54,13% углерода, 11,28% водорода, 24,06% кислорода и 10,53% азота по массе. Известно, что вещество А содержит один четвертичный атом углерода. При нагревании вещества А с гидроксидом бария образуется органическая соль и выделяется газ, молекула которого содержит один атом углерода.
На основании данных условия задания:
1) проведите необходимые вычисления (указывайте единицы измерения искомых физических величин) и установите молекулярную формулу органического вещества;
2) составьте возможную структурную формулу этого вещества, которая однозначно отражает порядок связи атомов в его молекуле;
3) напишите уравнение реакции, протекающей при нагревании вещества А с гидроксидом бария.
ω(C) = 54,13%
ω(H) = 11,28%
ω(O) = 24,06%
ω(N) = 10,53%
Пусть m(вещества А) = 100 г, тогда:
n(C) = 54,13 г / 12 г/моль = 4,511 моль
n(H) = 11,28 г / 1 г/моль = 11,28 моль
n(O) = 24,06 г / 16 г/моль = 1,504 моль
n(N) = 10,53 г / 14 г/моль = 0,752 моль
n(C) : n(H) : n(O) : n(N) = 4,511 : 11,28 : 1,504 : 0,752 = 6 : 15 : 2 : 1
Простейшая формула: C6H15NO2
M(C6H15NO2) = 6·12 + 15·1 + 14 + 2·16 = 72 + 15 + 14 + 32 = 133 г/моль
Молекулярная формула: C6H15NO2
Структурная формула:

Уравнение реакции:

Вещество А содержит 62,74% углерода, 7,19% водорода, 20,92% кислорода и 9,15% азота по массе. Известно, что вещество А содержит только один атом углерода в sp3-гибридизации. При нагревании вещества А с гидроксидом кальция образуется органическая соль и выделяется газ, молекула которого содержит один атом углерода.
На основании данных условия задания:
1) проведите необходимые вычисления (указывайте единицы измерения искомых физических величин) и установите молекулярную формулу органического вещества;
2) составьте возможную структурную формулу этого вещества, которая однозначно отражает порядок связи атомов в его молекуле;
3) напишите уравнение реакции, протекающей при нагревании вещества А с гидроксидом кальция.
ω(C) = 62,74%
ω(H) = 7,19%
ω(O) = 20,92%
ω(N) = 9,15%
Пусть m(вещества А) = 100 г, тогда:
n(C) = 62,74 г / 12 г/моль = 5,228 моль
n(H) = 7,19 г / 1 г/моль = 7,19 моль
n(O) = 20,92 г / 16 г/моль = 1,308 моль
n(N) = 9,15 г / 14 г/моль = 0,654 моль
n(C) : n(H) : n(O) : n(N) = 5,228 : 7,19 : 1,308 : 0,654 = 8 : 11 : 2 : 1
Простейшая формула: C8H11NO2
Молекулярная формула: C8H11NO2
Структурная формула:

Уравнение реакции:

Вещество А содержит 9,30% углерода, 5,43% водорода, 49,62% кислорода, 10,85% азота и 24,80% серы по массе. Известно, что вещество А образуется при восстановлении вещества Б цинком в присутствии серной кислоты.
На основании данных условия задания:
1) проведите необходимые вычисления (указывайте единицы измерения искомых физических величин) и установите молекулярную формулу органического вещества;
2) составьте возможную структурную формулу этого вещества, которая однозначно отражает порядок связи атомов в его молекуле;
3) напишите уравнение реакции, протекающей при восстановлении вещества Б цинком в присутствии серной кислоты.
ω(C) = 9,30%
ω(H) = 5,43%
ω(O) = 49,62%
ω(N) = 10,85%
ω(S) = 24,80%
Пусть m(вещества А) = 100 г, тогда:
n(C) = 9,30 г / 12 г/моль = 0,775 моль
n(H) = 5,43 г / 1 г/моль = 5,43 моль
n(O) = 49,62 г / 16 г/моль = 3,101 моль
n(N) = 10,85 г / 14 г/моль = 0,775 моль
n(S) = 24,80 г / 32 г/моль = 0,775 моль
n(C) : n(H) : n(O) : n(N) : n(S) = 0,775 : 5,43 : 3,101 : 0,775 : 0,775 = 1 : 7 : 4 : 1 : 1
Простейшая формула: CH7NO4S
Молекулярная формула: CH7NO4S
Структурная формула:
[CH3NH3]+HSO4—
Уравнение реакции:
CH3NO2 + 3Zn + 7H2SO4 → [CH3NH3]+HSO4— + 3ZnSO4 + 4H2O
При взаимодействии двух солей, одна из которых содержит органический катион, получено вещество А и бромид серебра. При сгорании 3,12 г вещества А образуется 5,28 г углекислого газа, 1,44 г воды и 448 мл азота (н.у.).
На основании данных условия задания:
1) проведите необходимые вычисления (указывайте единицы измерения искомых физических величин) и установите молекулярную формулу органического вещества;
2) составьте возможную структурную формулу этого вещества, которая однозначно отражает порядок связи атомов в его молекуле;
3) напишите уравнение реакции получения вещества А при взаимодействии исходных солей.
ν(CO2) = 5,28 г / 44 г/моль = 0,12 моль
ν(H2O) = 1,44 г / 18 г/моль = 0,08 моль
ν(N2) = 0,448 л / 22,4 л/моль = 0,02 моль
n(C) = n(CO2) = 0,12 моль
m(C) = 0,12 моль · 12 г/моль = 1,44 г
n(H) = 2·n(H2O) = 2·0,08 = 0,16 моль
m(H) = 0,16 моль · 1 г/моль = 0,16 г
n(N) = 2·n(N2) = 2·0,02 = 0,04 моль
m(N) = 0,04 моль · 14 г/моль = 0,56 г
m(O) = 3,12 г − 1,44 г − 0,16 г − 0,56 г = 0,96 г
n(O) = 0,96 г / 16 г/моль = 0,06 моль
n(C) : n(H) : n(N) : n(O) = 0,12 : 0,16 : 0,04 : 0,06 = 6 : 8 : 2 : 3
Простейшая формула: C6H8N2O3
Молекулярная формула: C6H8N2O3
Структурная формула:
[C6H5NH3]+NO3—
Уравнение реакции:
[C6H5NH3]+Br— + AgNO3 → [C6H5NH3]+NO3— + AgBr↓
При сгорании 2,78 г органического вещества А получили 6,16 г углекислого газа, 1,62 г воды и 224 мл азота (н.у.). Вещество А образуется при нагревании карбонильного соединения Б с гидроксидом диамминсеребра(I). Известно, что вещество А не содержит атомов углерода в sp-гибридизации.
На основании данных условия задания:
1) проведите необходимые вычисления (указывайте единицы измерения искомых физических величин) и установите молекулярную формулу органического вещества;
2) составьте возможную структурную формулу этого вещества, которая однозначно отражает порядок связи атомов в его молекуле;
3) напишите уравнение реакции получения вещества А при взаимодействии соединения Б с гидроксидом диамминсеребра(I).
ν(CO2) = 6,16 г / 44 г/моль = 0,14 моль
ν(H2O) = 1,62 г / 18 г/моль = 0,09 моль
ν(N2) = 0,224 л / 22,4 л/моль = 0,01 моль
n(C) = n(CO2) = 0,14 моль
m(C) = 0,14 моль · 12 г/моль = 1,68 г
n(H) = 2·n(H2O) = 2·0,09 = 0,18 моль
m(H) = 0,18 моль · 1 г/моль = 0,18 г
n(N) = 2·n(N2) = 2·0,01 = 0,02 моль
m(N) = 0,02 моль · 14 г/моль = 0,28 г
m(O) = 2,78 г − 1,68 г − 0,18 г − 0,28 г = 0,64 г
n(O) = 0,64 г / 16 г/моль = 0,04 моль
n(C) : n(H) : n(N) : n(O) = 0,14 : 0,18 : 0,02 : 0,04 = 7 : 9 : 1 : 2
Простейшая формула: C7H9NO2
Молекулярная формула: C7H9NO2
Структурная формула:

Уравнение реакции:

Вещество А содержит 45,93% углерода, 2,39% водорода и 51,68% серебра по массе и образуется при взаимодействии углеводорода Б с избытком гидроксида диамминсеребра(I).
На основании данных условия задания:
1) проведите необходимые вычисления (указывайте единицы измерения искомых физических величин) и установите молекулярную формулу органического вещества;
2) составьте возможную структурную формулу этого вещества, которая однозначно отражает порядок связи атомов в его молекуле;
3) напишите уравнение реакции гидратации углеводорода Б.
ω(C) = 45,93%
ω(H) = 2,39%
ω(Ag) = 51,68%
Пусть m(вещества А) = 100 г, тогда:
n(C) = 45,93 г / 12 г/моль = 3,828 моль
n(H) = 2,39 г / 1 г/моль = 2,39 моль
n(Ag) = 51,68 г / 108 г/моль = 0,478 моль
n(C) : n(H) : n(Ag) = 3,828 : 2,39 : 0,478 = 8 : 5 : 1
Простейшая формула: C8H5Ag
Молекулярная формула: C8H5Ag
Структурная формула углеводорода Б:
C6H5−C≡CH
Уравнение реакции гидратации:
C6H5−C≡CH + H2O → C6H5−C(O)−CH3
При сгорании 9 г органического вещества А получили 15,68 л углекислого газа (н.у.) и 5,4 г воды. Известно, что вещество А не содержит атомов углерода в sp3-гибридизации, а при его окислении сернокислым раствором перманганата калия образуется только одно органическое соединение – бензойная кислота.
На основании данных условия задания:
1) проведите необходимые вычисления (указывайте единицы измерения искомых физических величин) и установите молекулярную формулу органического вещества;
2) составьте возможную структурную формулу этого вещества, которая однозначно отражает порядок связи атомов в его молекуле;
3) напишите уравнение окисления вещества А раствором перманганата калия в присутствии серной кислоты.
ν(CO2) = 15,68 л / 22,4 л/моль = 0,7 моль
ν(H2O) = 5,4 г / 18 г/моль = 0,3 моль
n(C) = n(CO2) = 0,7 моль
m(C) = 0,7 моль · 12 г/моль = 8,4 г
n(H) = 2·n(H2O) = 2·0,3 = 0,6 моль
m(H) = 0,6 моль · 1 г/моль = 0,6 г
m(C) + m(H) = 8,4 г + 0,6 г = 9 г
n(C) : n(H) = 0,7 : 0,6 = 7 : 6
Простейшая формула: C7H6
Молекулярная формула: C14H12
Структурная формула:
C6H5CH=CHC6H5
Уравнение реакции окисления:
5C6H5CH=CHC6H5 + 8KMnO4 + 12H2SO4 → 10C6H5COOH + 8MnSO4 + 4K2SO4 + 12H2O
При сгорании 8,9 г органического вещества А получили 15,68 л углекислого газа (н.у.) и 4,5 г воды. Известно, что вещество А не содержит атомов углерода в sp3-гибридизации, а при его окислении сернокислым раствором перманганата калия образуется только одно органическое соединение – бензойная кислота.
На основании данных условия задания:
1) проведите необходимые вычисления (указывайте единицы измерения искомых физических величин) и установите молекулярную формулу органического вещества;
2) составьте возможную структурную формулу этого вещества, которая однозначно отражает порядок связи атомов в его молекуле;
3) напишите уравнение окисления вещества А раствором перманганата калия в присутствии серной кислоты.
ν(CO2) = 15,68 л / 22,4 л/моль = 0,7 моль
ν(H2O) = 4,5 г / 18 г/моль = 0,25 моль
n(C) = n(CO2) = 0,7 моль
m(C) = 0,7 моль · 12 г/моль = 8,4 г
n(H) = 2·n(H2O) = 2·0,25 = 0,5 моль
m(H) = 0,5 моль · 1 г/моль = 0,5 г
m(C) + m(H) = 8,4 г + 0,5 г = 8,9 г
n(C) : n(H) = 0,7 : 0,5 = 7 : 5
Простейшая формула: C7H5
Молекулярная формула: C14H10
Структурная формула:
C6H5−C≡C−C6H5
Уравнение реакции окисления:

При сгорании 11,6 г органического вещества А получили 8,96 л углекислого газа (н.у.) и 3,6 г воды. Известно, что вещество А образуется при дегидрировании гидроксильного соединения Б в присутствии медного катализатора, а также вступает в реакцию с гидроксидом диамминсеребра(I) в молярном соотношении 1:4.
На основании данных условия задания:
1) проведите необходимые вычисления (указывайте единицы измерения искомых физических величин) и установите молекулярную формулу органического вещества;
2) составьте возможную структурную формулу этого вещества, которая однозначно отражает порядок связи атомов в его молекуле;
3) напишите уравнение реакции вещества А с избытком гидроксида диамминсеребра(I).
ν(CO2) = 8,96 л / 22,4 л/моль = 0,4 моль
ν(H2O) = 3,6 г / 18 г/моль = 0,2 моль
n(C) = n(CO2) = 0,4 моль
m(C) = 0,4 моль · 12 г/моль = 4,8 г
n(H) = 2·n(H2O) = 2·0,2 = 0,4 моль
m(H) = 0,4 моль · 1 г/моль = 0,4 г
m(O) = 11,6 г − 4,8 г − 0,4 г = 6,4 г
n(O) = 6,4 г / 16 г/моль = 0,4 моль
n(C) : n(H) : n(O) = 0,4 : 0,4 : 0,4 = 1 : 1 : 1
Простейшая формула: CHO
Молекулярная формула: C2H2O2
Структурная формула:
HOOCCOOH
Уравнение реакции:

При сгорании 1,8 г органического вещества А получили 1,68 л углекислого газа (н.у.) и 0,9 г воды. Известно, что вещество А образуется при нагревании гидроксильного соединения Б с оксидом меди(II), а также вступает в реакцию с гидроксидом диамминсеребра(I) в молярном соотношении 1:4.
На основании данных условия задания:
1) проведите необходимые вычисления (указывайте единицы измерения искомых физических величин) и установите молекулярную формулу органического вещества;
2) составьте возможную структурную формулу этого вещества, которая однозначно отражает порядок связи атомов в его молекуле;
3) напишите уравнение реакции вещества А с избытком гидроксида диамминсеребра(I).
ν(CO2) = 1,68 л / 22,4 л/моль = 0,075 моль
ν(H2O) = 0,9 г / 18 г/моль = 0,05 моль
n(C) = n(CO2) = 0,075 моль
m(C) = 0,075 моль · 12 г/моль = 0,9 г
n(H) = 2·n(H2O) = 2·0,05 = 0,1 моль
m(H) = 0,1 моль · 1 г/моль = 0,1 г
m(O) = 1,8 г − 0,9 г − 0,1 г = 0,8 г
n(O) = 0,8 г / 16 г/моль = 0,05 моль
n(C) : n(H) : n(O) = 0,075 : 0,1 : 0,05 = 3 : 4 : 2
Простейшая формула: C3H4O2
Молекулярная формула: C3H4O4
Структурная формула:
HOOCCH2COOH
Уравнение реакции:
HOOCCH2COOH + 4[Ag(NH3)2]OH → (NH4)2C3H2O4 + 4Ag↓ + 6NH3 + 2H2O
При сгорании 3,3 г органического вещества А получили 2,64 г углекислого газа, 2,43 г бромоводорода, 90 мг воды и 112 мл азота (н.у.). Известно, что вещество А образуется при бромировании азотсодержащего соединения Б. Известно, что в соединении Б не содержится атомов углерода в состоянии sp3-гибридизации.
На основании данных условия задания:
1) проведите необходимые вычисления (указывайте единицы измерения искомых физических величин) и установите молекулярную формулу органического вещества;
2) составьте возможную структурную формулу этого вещества, которая однозначно отражает порядок связи атомов в его молекуле;
3) напишите уравнение бромирования азотсодержащего соединения Б с образованием вещества А.
ν(CO2) = 2,64 г / 44 г/моль = 0,06 моль
ν(HBr) = 2,43 г / 81 г/моль = 0,03 моль
ν(H2O) = 0,09 г / 18 г/моль = 0,005 моль
ν(N2) = 0,112 л / 22,4 л/моль = 0,005 моль
n(C) = n(CO2) = 0,06 моль
n(H) = 2·n(H2O) + n(HBr) = 2·0,005 + 0,03 = 0,04 моль
n(Br) = n(HBr) = 0,03 моль
n(N) = 2·n(N2) = 2·0,005 = 0,01 моль
n(C) : n(H) : n(Br) : n(N) = 0,06 : 0,04 : 0,03 : 0,01 = 6 : 4 : 3 : 1
Простейшая формула: C6H4Br3N
Молекулярная формула: C6H4Br3N
Структурная формула:

Уравнение реакции бромирования:

При сгорании 13,24 г органического вещества А получили 10,56 г углекислого газа и 9,72 г бромоводорода. Известно, что вещество А образуется при бромировании гидроксильного соединения Б.
На основании данных условия задания:
1) проведите необходимые вычисления (указывайте единицы измерения искомых физических величин) и установите молекулярную формулу органического вещества;
2) составьте возможную структурную формулу этого вещества, которая однозначно отражает порядок связи атомов в его молекуле;
3) напишите уравнение бромирования гидроксильного соединения Б с образованием вещества А.
ν(CO2) = 10,56 г / 44 г/моль = 0,24 моль
ν(HBr) = 9,72 г / 81 г/моль = 0,12 моль
n(C) = n(CO2) = 0,24 моль
m(C) = 0,24 моль · 12 г/моль = 2,88 г
n(H) = n(HBr) = 0,12 моль
m(H) = 0,12 моль · 1 г/моль = 0,12 г
n(Br) = n(HBr) = 0,12 моль
m(Br) = 0,12 моль · 80 г/моль = 9,6 г
m(O) = 13,24 г − 2,88 г − 0,12 г − 9,6 г = 0,64 г
n(O) = 0,64 г / 16 г/моль = 0,04 моль
n(C) : n(H) : n(Br) : n(O) = 0,24 : 0,12 : 0,12 : 0,04 = 6 : 3 : 3 : 1
Простейшая формула: C6H3Br3O
M(C6H3Br3O) = 6·12 + 3·1 + 3·80 + 16 = 72 + 3 + 240 + 16 = 331 г/моль
Молекулярная формула: C6H3Br3O
Структурная формула:

Уравнение реакции бромирования:

При сгорании 2,15 г органического вещества А получили 2,24 л углекислого газа (н.у.) и 1,35 г воды. Известно, что вещество А образуется при гидратации углеводорода Б, который вступает в реакцию с гидроксидом диамминсеребра(I) в молярном соотношении 1:2.
На основании данных условия задания:
1) проведите необходимые вычисления (указывайте единицы измерения искомых физических величин) и установите молекулярную формулу органического вещества;
2) составьте возможную структурную формулу этого вещества, которая однозначно отражает порядок связи атомов в его молекуле;
3) напишите уравнение гидратации углеводорода Б с образованием вещества А.
ν(CO2) = 2,24 л / 22,4 л/моль = 0,1 моль
ν(H2O) = 1,35 г / 18 г/моль = 0,075 моль
n(C) = n(CO2) = 0,1 моль
m(C) = 0,1 моль · 12 г/моль = 1,2 г
n(H) = 2·n(H2O) = 2·0,075 = 0,15 моль
m(H) = 0,15 моль · 1 г/моль = 0,15 г
m(O) = 2,15 г − 1,2 г − 0,15 г = 0,8 г
n(O) = 0,8 г / 16 г/моль = 0,05 моль
n(C) : n(H) : n(O) = 0,1 : 0,15 : 0,05 = 2 : 3 : 1
Простейшая формула: C2H3O
Молекулярная формула: C4H6O2
Структурная формула:

Уравнение реакции гидратации:

При сгорании 1 г органического вещества А получили 1,12 л углекислого газа (н.у.) и 0,72 г воды. Известно, что вещество А образуется при гидратации углеводорода Б, который вступает в реакцию с гидроксидом диамминсеребра(I) в молярном соотношении 1:2.
На основании данных условия задания:
1) проведите необходимые вычисления (указывайте единицы измерения искомых физических величин) и установите молекулярную формулу органического вещества;
2) составьте возможную структурную формулу этого вещества, которая однозначно отражает порядок связи атомов в его молекуле;
3) напишите уравнение гидратации углеводорода Б с образованием вещества А.
ν(CO2) = 1,12 л / 22,4 л/моль = 0,05 моль
ν(H2O) = 0,72 г / 18 г/моль = 0,04 моль
n(C) = n(CO2) = 0,05 моль
m(C) = 0,05 моль · 12 г/моль = 0,6 г
n(H) = 2·n(H2O) = 2·0,04 = 0,08 моль
m(H) = 0,08 моль · 1 г/моль = 0,08 г
m(O) = 1 г − 0,6 г − 0,08 г = 0,32 г
n(O) = 0,32 г / 16 г/моль = 0,02 моль
n(C) : n(H) : n(O) = 0,05 : 0,08 : 0,02 = 2,5 : 4 : 1 = 5 : 8 : 2
Простейшая формула: C5H8O2
Молекулярная формула: C5H8O2
Структурная формула:

Уравнение реакции гидратации:

Вещество А содержит 21,58% углерода, 0,72% водорода и 77,7% серебра по массе и образуется при взаимодействии углеводорода Б с избытком гидроксида диамминсеребра(I).
На основании данных условия задания:
1) проведите необходимые вычисления (указывайте единицы измерения искомых физических величин) и установите молекулярную формулу органического вещества;
2) составьте возможную структурную формулу этого вещества, которая однозначно отражает порядок связи атомов в его молекуле;
3) напишите уравнение реакции получения А из Б, используя аммиачный раствор оксида серебра.
ω(C) = 21,58%
ω(H) = 0,72%
ω(Ag) = 77,7%
Пусть m(вещества А) = 100 г, тогда:
n(C) = 21,58 г / 12 г/моль = 1,798 моль
n(H) = 0,72 г / 1 г/моль = 0,72 моль
n(Ag) = 77,7 г / 108 г/моль = 0,719 моль
n(C) : n(H) : n(Ag) = 1,798 : 0,72 : 0,719 = 2,5 : 1 : 1 = 5 : 2 : 2
Простейшая формула: C5H2Ag2
Молекулярная формула: C5H2Ag2
Структурная формула углеводорода Б:
HC≡C−CH2−C≡CH
Уравнение реакции:
HC≡C−CH2−C≡CH + 2[Ag(NH3)2]OH → AgC≡C−CH2−C≡CAg + 2H2O + 4NH3
При сгорании 4,3 г органического вещества А получили 4,48 л углекислого газа (н.у.) и 2,7 г воды. Известно, что вещество А образуется при гидратации углеводорода Б, который вступает в реакцию с гидроксидом диамминсеребра(I) в молярном соотношении 1:2.
На основании данных условия задания:
1) проведите необходимые вычисления (указывайте единицы измерения искомых физических величин) и установите молекулярную формулу органического вещества А;
2) составьте возможную структурную формулу вещества А, которая однозначно отражает порядок связи атомов в его молекуле;
3) напишите уравнение гидратации углеводорода Б с образованием вещества А.
ν(CO2) = 4,48 л / 22,4 л/моль = 0,2 моль
ν(H2O) = 2,7 г / 18 г/моль = 0,15 моль
n(C) = n(CO2) = 0,2 моль
m(C) = 0,2 моль · 12 г/моль = 2,4 г
n(H) = 2·n(H2O) = 2·0,15 = 0,3 моль
m(H) = 0,3 моль · 1 г/моль = 0,3 г
m(O) = 4,3 г − 2,4 г − 0,3 г = 1,6 г
n(O) = 1,6 г / 16 г/моль = 0,1 моль
n(C) : n(H) : n(O) = 0,2 : 0,3 : 0,1 = 2 : 3 : 1
Простейшая формула: C2H3O
Молекулярная формула: C4H6O2
Структурная формула:

Уравнение реакции гидратации Б:

При сгорании 0,5 г органического вещества А получили 0,56 л углекислого газа (н.у.) и 0,36 г воды. Известно, что вещество А образуется при гидратации углеводорода Б, который вступает в реакцию с гидроксидом диамминсеребра(I) в молярном соотношении 1:2.
На основании данных условия задания:
1) проведите необходимые вычисления (указывайте единицы измерения искомых физических величин) и установите молекулярную формулу органического вещества А;
2) составьте возможную структурную формулу вещества А, которая однозначно отражает порядок связи атомов в его молекуле;
3) напишите уравнение гидратации углеводорода Б с образованием вещества А.
ν(CO2) = 0,56 л / 22,4 л/моль = 0,025 моль
ν(H2O) = 0,36 г / 18 г/моль = 0,02 моль
n(C) = n(CO2) = 0,025 моль
m(C) = 0,025 моль · 12 г/моль = 0,3 г
n(H) = 2·n(H2O) = 2·0,02 = 0,04 моль
m(H) = 0,04 моль · 1 г/моль = 0,04 г
m(O) = 0,5 г − 0,3 г − 0,04 г = 0,16 г
n(O) = 0,16 г / 16 г/моль = 0,01 моль
n(C) : n(H) : n(O) = 0,025 : 0,04 : 0,01 = 2,5 : 4 : 1 = 5 : 8 : 2
Простейшая формула: C5H8O2
Молекулярная формула: C5H8O2
Структурная формула:

Уравнение реакции гидратации:

При сгорании органического вещества А массой 4,0 г получено 4,48 л (н.у.) углекислого газа и 2,88 г воды. Известно, что вещество А вступает в реакцию с раствором гидроксида бария при нагревании, в результате чего образуется предельный одноатомный спирт и соль, кислотный остаток которой содержит три атома углерода.
На основании данных условия задания:
1) проведите необходимые вычисления (указывайте единицы измерения искомых физических величин) и установите молекулярную формулу органического вещества;
2) составьте возможную структурную формулу этого вещества, которая однозначно отражает порядок связи атомов в его молекуле;
3) напишите уравнение реакции вещества А с раствором гидроксида бария при нагревании.
ν(CO2) = 4,48 л / 22,4 л/моль = 0,2 моль
ν(H2O) = 2,88 г / 18 г/моль = 0,16 моль
n(C) = n(CO2) = 0,2 моль
m(C) = 0,2 моль · 12 г/моль = 2,4 г
n(H) = 2·n(H2O) = 2·0,16 = 0,32 моль
m(H) = 0,32 моль · 1 г/моль = 0,32 г
m(O) = 4,0 г − 2,4 г − 0,32 г = 1,28 г
n(O) = 1,28 г / 16 г/моль = 0,08 моль
n(C) : n(H) : n(O) = 0,2 : 0,32 : 0,08 = 2,5 : 4 : 1 = 5 : 8 : 2
Простейшая формула: C5H8O2
Молекулярная формула: C5H8O2
Структурная формула:

Уравнение реакции:

При сгорании органического вещества А массой 3,4 г получено 4,48 л (н.у.) углекислого газа и 1,8 г воды. Известно, что вещество А вступает в реакцию с раствором гидроксида лития при нагревании, в результате чего образуется предельный одноатомный спирт и соль, кислотный остаток которой содержит семь атомов углерода.
На основании данных условия задания:
1) проведите необходимые вычисления (указывайте единицы измерения искомых физических величин) и установите молекулярную формулу органического вещества;
2) составьте возможную структурную формулу этого вещества, которая однозначно отражает порядок связи атомов в его молекуле;
3) напишите уравнение реакции вещества А с раствором гидроксида лития при нагревании.
ν(CO2) = 4,48 л / 22,4 л/моль = 0,2 моль
ν(H2O) = 1,8 г / 18 г/моль = 0,1 моль
n(C) = n(CO2) = 0,2 моль
m(C) = 0,2 моль · 12 г/моль = 2,4 г
n(H) = 2·n(H2O) = 2·0,1 = 0,2 моль
m(H) = 0,2 моль · 1 г/моль = 0,2 г
m(O) = 3,4 г − 2,4 г − 0,2 г = 0,8 г
n(O) = 0,8 г / 16 г/моль = 0,05 моль
n(C) : n(H) : n(O) = 0,2 : 0,2 : 0,05 = 4 : 4 : 1
Простейшая формула: C4H4O
Молекулярная формула: C8H8O2
Структурная формула:

Уравнение реакции:

При сгорании органического вещества А массой 2,64 г получено 1,792 л углекислого газа (н.у.), 1,44 г воды и 448 мл азота (н.у.). Известно, что вещество А подвергается гидролизу. Если провести гидролиз в присутствии соляной кислоты, то в качестве единственного продукта образуется соль, содержащая хлорид-ион.
На основании данных условия задания:
1) проведите необходимые вычисления (указывайте единицы измерения искомых физических величин) и установите молекулярную формулу органического вещества;
2) составьте возможную структурную формулу этого вещества, которая однозначно отражает порядок связи атомов в его молекуле;
3) напишите уравнение реакции гидролиза вещества А в присутствии соляной кислоты.
ν(CO2) = 1,792 л / 22,4 л/моль = 0,08 моль
ν(H2O) = 1,44 г / 18 г/моль = 0,08 моль
ν(N2) = 0,448 л / 22,4 л/моль = 0,02 моль
n(C) = n(CO2) = 0,08 моль
m(C) = 0,08 моль · 12 г/моль = 0,96 г
n(H) = 2·n(H2O) = 2·0,08 = 0,16 моль
m(H) = 0,16 моль · 1 г/моль = 0,16 г
n(N) = 2·n(N2) = 2·0,02 = 0,04 моль
m(N) = 0,04 моль · 14 г/моль = 0,56 г
m(O) = 2,64 г − 0,96 г − 0,16 г − 0,56 г = 0,96 г
n(O) = 0,96 г / 16 г/моль = 0,06 моль
n(C) : n(H) : n(N) : n(O) = 0,08 : 0,16 : 0,04 : 0,06 = 2 : 4 : 1 : 1,5 = 4 : 8 : 2 : 3
Простейшая формула: C4H8N2O3
Молекулярная формула: C4H8N2O3
Структурная формула:

Уравнение реакции гидролиза:

При сгорании органического вещества А массой 3,2 г получено 2,688 л углекислого газа (н.у.), 2,16 г воды и 448 мл азота (н.у.). Известно, что вещество А подвергается гидролизу. Если провести гидролиз вещества А в присутствии гидроксида калия, то в качестве единственного органического продукта образуется калиевая соль.
На основании данных условия задания:
1) проведите необходимые вычисления (указывайте единицы измерения искомых физических величин) и установите молекулярную формулу органического вещества;
2) составьте возможную структурную формулу этого вещества, которая однозначно отражает порядок связи атомов в его молекуле;
3) напишите уравнение реакции гидролиза вещества А в присутствии гидроксида калия.
ν(CO2) = 2,688 л / 22,4 л/моль = 0,12 моль
ν(H2O) = 2,16 г / 18 г/моль = 0,12 моль
ν(N2) = 0,448 л / 22,4 л/моль = 0,02 моль
n(C) = n(CO2) = 0,12 моль
m(C) = 0,12 моль · 12 г/моль = 1,44 г
n(H) = 2·n(H2O) = 2·0,12 = 0,24 моль
m(H) = 0,24 моль · 1 г/моль = 0,24 г
n(N) = 2·n(N2) = 2·0,02 = 0,04 моль
m(N) = 0,04 моль · 14 г/моль = 0,56 г
m(O) = 3,2 г − 1,44 г − 0,24 г − 0,56 г = 0,96 г
n(O) = 0,96 г / 16 г/моль = 0,06 моль
n(C) : n(H) : n(N) : n(O) = 0,12 : 0,24 : 0,04 : 0,06 = 3 : 6 : 1 : 1,5 = 6 : 12 : 2 : 3
Простейшая формула: C6H12N2O3
Молекулярная формула: C6H12N2O3
Структурная формула:

Уравнение реакции гидролиза:

При сгорании органического вещества А массой 2,64 г получено 1,792 л углекислого газа (н.у.), 1,44 г воды и 448 мл азота (н.у.). Известно, что вещество А подвергается гидролизу. Если провести гидролиз вещества А в присутствии гидроксида натрия, то в качестве единственного органического продукта образуется натриевая соль.
На основании данных условия задания:
1) проведите необходимые вычисления (указывайте единицы измерения искомых физических величин) и установите молекулярную формулу органического вещества;
2) составьте возможную структурную формулу этого вещества, которая однозначно отражает порядок связи атомов в его молекуле;
3) напишите уравнение реакции гидролиза вещества А в присутствии гидроксида натрия.
ν(CO2) = 1,792 л / 22,4 л/моль = 0,08 моль
ν(H2O) = 1,44 г / 18 г/моль = 0,08 моль
ν(N2) = 0,448 л / 22,4 л/моль = 0,02 моль
n(C) = n(CO2) = 0,08 моль
m(C) = 0,08 моль · 12 г/моль = 0,96 г
n(H) = 2·n(H2O) = 2·0,08 = 0,16 моль
m(H) = 0,16 моль · 1 г/моль = 0,16 г
n(N) = 2·n(N2) = 2·0,02 = 0,04 моль
m(N) = 0,04 моль · 14 г/моль = 0,56 г
m(O) = 2,64 г − 0,96 г − 0,16 г − 0,56 г = 0,96 г
n(O) = 0,96 г / 16 г/моль = 0,06 моль
n(C) : n(H) : n(N) : n(O) = 0,08 : 0,16 : 0,04 : 0,06 = 2 : 4 : 1 : 1,5 = 4 : 8 : 2 : 3
Простейшая формула: C4H8N2O3
Молекулярная формула: C4H8N2O3
Структурная формула:

Уравнение реакции гидролиза:

При сгорании органического вещества А массой 6,4 г получено 5,376 л углекислого газа (н.у.), 4,32 г воды и 896 мл азота (н.у.). Известно, что вещество А подвергается гидролизу. Если провести гидролиз в присутствии соляной кислоты, то в качестве единственного продукта образуется соль, содержащая хлорид-ион.
На основании данных условия задания:
1) проведите необходимые вычисления (указывайте единицы измерения искомых физических величин) и установите молекулярную формулу органического вещества;
2) составьте возможную структурную формулу этого вещества, которая однозначно отражает порядок связи атомов в его молекуле;
3) напишите уравнение реакции гидролиза вещества А в присутствии соляной кислоты.
ν(CO2) = 5,376 л / 22,4 л/моль = 0,24 моль
ν(H2O) = 4,32 г / 18 г/моль = 0,24 моль
ν(N2) = 0,896 л / 22,4 л/моль = 0,04 моль
n(C) = n(CO2) = 0,24 моль
m(C) = 0,24 моль · 12 г/моль = 2,88 г
n(H) = 2·n(H2O) = 2·0,24 = 0,48 моль
m(H) = 0,48 моль · 1 г/моль = 0,48 г
n(N) = 2·n(N2) = 2·0,04 = 0,08 моль
m(N) = 0,08 моль · 14 г/моль = 1,12 г
m(O) = 6,4 г − 2,88 г − 0,48 г − 1,12 г = 1,92 г
n(O) = 1,92 г / 16 г/моль = 0,12 моль
n(C) : n(H) : n(N) : n(O) = 0,24 : 0,48 : 0,08 : 0,12 = 3 : 6 : 1 : 1,5 = 6 : 12 : 2 : 3
Простейшая формула: C6H12N2O3
Молекулярная формула: C6H12N2O3
Структурная формула:

Уравнение реакции гидролиза:

При сгорании органического вещества А массой 8,24 г получили 7,168 л углекислого газа (н.у.), 896 мл азота (н.у.) и 6,48 г воды. При нагревании с соляной кислотой вещество А подвергается гидролизу, продуктами которого являются одноатомный спирт и соль, катион которой содержит два атома углерода.
На основании данных условия задания:
1) проведите необходимые вычисления (указывайте единицы измерения искомых физических величин) и установите молекулярную формулу органического вещества;
2) составьте возможную структурную формулу этого вещества, которая однозначно отражает порядок связи атомов в его молекуле;
3) напишите уравнение реакции гидролиза вещества А в присутствии соляной кислоты.
ν(CO2) = 7,168 л / 22,4 л/моль = 0,32 моль
ν(N2) = 0,896 л / 22,4 л/моль = 0,04 моль
ν(H2O) = 6,48 г / 18 г/моль = 0,36 моль
n(C) = n(CO2) = 0,32 моль
m(C) = 0,32 моль · 12 г/моль = 3,84 г
n(H) = 2·n(H2O) = 2·0,36 = 0,72 моль
m(H) = 0,72 моль · 1 г/моль = 0,72 г
n(N) = 2·n(N2) = 2·0,04 = 0,08 моль
m(N) = 0,08 моль · 14 г/моль = 1,12 г
m(O) = 8,24 г − 3,84 г − 0,72 г − 1,12 г = 2,56 г
n(O) = 2,56 г / 16 г/моль = 0,16 моль
n(C) : n(H) : n(N) : n(O) = 0,32 : 0,72 : 0,08 : 0,16 = 4 : 9 : 1 : 2
Простейшая формула: C4H9NO2
Молекулярная формула: C4H9NO2
Структурная формула:

Уравнение реакции гидролиза:

При сгорании органического вещества А массой 10,3 г получили 8,96 л углекислого газа (н.у.), 1,12 л азота (н.у.) и 8,1 г воды. При нагревании с водным раствором гидроксида калия вещество А подвергается гидролизу, продуктами которого являются одноатомный спирт и соль, кислотный остаток которой содержит два атома углерода.
На основании данных условия задания:
1) проведите необходимые вычисления (указывайте единицы измерения искомых физических величин) и установите молекулярную формулу органического вещества;
2) составьте возможную структурную формулу этого вещества, которая однозначно отражает порядок связи атомов в его молекуле;
3) напишите уравнение реакции гидролиза вещества А в присутствии гидроксида калия.
ν(CO2) = 8,96 л / 22,4 л/моль = 0,4 моль
ν(N2) = 1,12 л / 22,4 л/моль = 0,05 моль
ν(H2O) = 8,1 г / 18 г/моль = 0,45 моль
n(C) = n(CO2) = 0,4 моль
m(C) = 0,4 моль · 12 г/моль = 4,8 г
n(H) = 2·n(H2O) = 2·0,45 = 0,9 моль
m(H) = 0,9 моль · 1 г/моль = 0,9 г
n(N) = 2·n(N2) = 2·0,05 = 0,1 моль
m(N) = 0,1 моль · 14 г/моль = 1,4 г
m(O) = 10,3 г − 4,8 г − 0,9 г − 1,4 г = 3,2 г
n(O) = 3,2 г / 16 г/моль = 0,2 моль
n(C) : n(H) : n(N) : n(O) = 0,4 : 0,9 : 0,1 : 0,2 = 4 : 9 : 1 : 2
Простейшая формула: C4H9NO2
Молекулярная формула: C4H9NO2
Структурная формула:

Уравнение реакции гидролиза:

При взаимодействии двух солей, одна из которых содержит органический катион, получено вещество А и бромид серебра. При сгорании 6,24 г вещества А образуется 10,56 г углекислого газа, 2,88 г воды и 896 мл азота (н.у.).
На основании данных условия задания:
1) проведите необходимые вычисления (указывайте единицы измерения искомых физических величин) и установите молекулярную формулу органического вещества;
2) составьте возможную структурную формулу этого вещества, которая однозначно отражает порядок связи атомов в его молекуле;
3) напишите уравнение реакции получения вещества А при взаимодействии исходных солей.
ν(CO2) = 10,56 г / 44 г/моль = 0,24 моль
ν(H2O) = 2,88 г / 18 г/моль = 0,16 моль
ν(N2) = 0,896 л / 22,4 л/моль = 0,04 моль
n(C) = n(CO2) = 0,24 моль
m(C) = 0,24 моль · 12 г/моль = 2,88 г
n(H) = 2·n(H2O) = 2·0,16 = 0,32 моль
m(H) = 0,32 моль · 1 г/моль = 0,32 г
n(N) = 2·n(N2) = 2·0,04 = 0,08 моль
m(N) = 0,08 моль · 14 г/моль = 1,12 г
m(O) = 6,24 г − 2,88 г − 0,32 г − 1,12 г = 1,92 г
n(O) = 1,92 г / 16 г/моль = 0,12 моль
n(C) : n(H) : n(N) : n(O) = 0,24 : 0,32 : 0,08 : 0,12 = 6 : 8 : 2 : 3
Простейшая формула: C6H8N2O3
M(C6H8N2O3) = 6·12 + 8·1 + 2·14 + 3·16 = 72 + 8 + 28 + 48 = 156 г/моль
Молекулярная формула: C6H8N2O3
Структурная формула:
[C6H5NH3]+NO3—
Уравнение реакции:
[C6H5NH3]+Br— + AgNO3 → [C6H5NH3]+NO3— + AgBr↓
При сгорании 1,39 г органического вещества А получили 3,08 г углекислого газа, 0,81 г воды и 112 мл азота (н.у.). Вещество А образуется при нагревании карбонильного соединения Б с гидроксидом диамминсеребра(I). Известно, что вещество А не содержит атомов углерода в sp-гибридизации.
На основании данных условия задания:
1) проведите необходимые вычисления (указывайте единицы измерения искомых физических величин) и установите молекулярную формулу органического вещества;
2) составьте возможную структурную формулу этого вещества, которая однозначно отражает порядок связи атомов в его молекуле;
3) напишите уравнение реакции получения вещества А при взаимодействии соединения Б с гидроксидом диамминсеребра(I).
ν(CO2) = 3,08 г / 44 г/моль = 0,07 моль
ν(H2O) = 0,81 г / 18 г/моль = 0,045 моль
ν(N2) = 0,112 л / 22,4 л/моль = 0,005 моль
n(C) = n(CO2) = 0,07 моль
m(C) = 0,07 моль · 12 г/моль = 0,84 г
n(H) = 2·n(H2O) = 2·0,045 = 0,09 моль
m(H) = 0,09 моль · 1 г/моль = 0,09 г
n(N) = 2·n(N2) = 2·0,005 = 0,01 моль
m(N) = 0,01 моль · 14 г/моль = 0,14 г
m(O) = 1,39 г − 0,84 г − 0,09 г − 0,14 г = 0,32 г
n(O) = 0,32 г / 16 г/моль = 0,02 моль
n(C) : n(H) : n(N) : n(O) = 0,07 : 0,09 : 0,01 : 0,02 = 7 : 9 : 1 : 2
Простейшая формула: C7H9NO2
Молекулярная формула: C7H9NO2
Структурная формула:
C6H5COONH4
Уравнение реакции:

При сгорании органического вещества А массой 5,30 г получили 8,96 л углекислого газа (н.у.) и 4,5 г воды. Известно, что при окислении вещества А сернокислым раствором перманганата калия образуется двухосновная кислота, карбоксильные группы в молекуле которой расположены у соседних атомов углерода, а углекислый газ не выделяется.
На основании данных условия задания:
1) проведите необходимые вычисления (указывайте единицы измерения искомых физических величин) и установите молекулярную формулу органического вещества;
2) составьте возможную структурную формулу этого вещества, которая однозначно отражает порядок связи атомов в его молекуле;
3) напишите уравнение окисления вещества А раствором перманганата калия в присутствии серной кислоты.
ν(CO2) = 8,96 л / 22,4 л/моль = 0,4 моль
ν(H2O) = 4,5 г / 18 г/моль = 0,25 моль
n(C) = n(CO2) = 0,4 моль
m(C) = 0,4 моль · 12 г/моль = 4,8 г
n(H) = 2·n(H2O) = 2·0,25 = 0,5 моль
m(H) = 0,5 моль · 1 г/моль = 0,5 г
m(C) + m(H) = 4,8 г + 0,5 г = 5,3 г
n(C) : n(H) = 0,4 : 0,5 = 4 : 5
Простейшая формула: C4H5
Молекулярная формула: C8H10
Структурная формула:

Уравнение реакции окисления:

При сгорании органического вещества А массой 2,65 г получили 4,48 л углекислого газа (н.у.) и 2,25 г воды. Известно, что при окислении вещества А сернокислым раствором перманганата калия образуется одноосновная кислота и выделяется углекислый газ.
На основании данных условия задания:
1) проведите необходимые вычисления (указывайте единицы измерения искомых физических величин) и установите молекулярную формулу органического вещества;
2) составьте возможную структурную формулу этого вещества, которая однозначно отражает порядок связи атомов в его молекуле;
3) напишите уравнение окисления вещества А раствором перманганата калия в присутствии серной кислоты.
ν(CO2) = 4,48 л / 22,4 л/моль = 0,2 моль
ν(H2O) = 2,25 г / 18 г/моль = 0,125 моль
n(C) = n(CO2) = 0,2 моль
m(C) = 0,2 моль · 12 г/моль = 2,4 г
n(H) = 2·n(H2O) = 2·0,125 = 0,25 моль
m(H) = 0,25 моль · 1 г/моль = 0,25 г
m(C) + m(H) = 2,4 г + 0,25 г = 2,65 г
n(C) : n(H) = 0,2 : 0,25 = 4 : 5
Простейшая формула: C4H5
Молекулярная формула: C8H10
Структурная формула:
C6H5CH2CH3
Уравнение реакции окисления:

При сгорании органического вещества А массой 1,59 г получили 4,62 г углекислого газа и 810 мг воды. Известно, что вещество А реагирует с аммиачным раствором оксида серебра.
На основании данных условия задания:
1) проведите необходимые вычисления (указывайте единицы измерения искомых физических величин) и установите молекулярную формулу органического вещества;
2) составьте возможную структурную формулу этого вещества, которая однозначно отражает порядок связи атомов в его молекуле;
3) напишите уравнение реакции вещества А с аммиачным раствором оксида серебра.
ν(CO2) = 4,62 г / 44 г/моль = 0,105 моль
ν(H2O) = 0,81 г / 18 г/моль = 0,045 моль
n(C) = n(CO2) = 0,105 моль
m(C) = 0,105 моль · 12 г/моль = 1,26 г
n(H) = 2·n(H2O) = 2·0,045 = 0,09 моль
m(H) = 0,09 моль · 1 г/моль = 0,09 г
m(O) = 1,59 г − 1,26 г − 0,09 г = 0,24 г
n(O) = 0,24 г / 16 г/моль = 0,015 моль
n(C) : n(H) : n(O) = 0,105 : 0,09 : 0,015 = 7 : 6 : 1
Простейшая формула: C7H6O
Молекулярная формула: C7H6O
Структурная формула:

Уравнение реакции:

При сгорании органического вещества А массой 21,6 г получили 31,36 л углекислого газа (н.у.) и 14,4 г воды. Известно, что вещество А вступает в реакцию этерификации с уксусной кислотой.
На основании данных условия задания:
1) проведите необходимые вычисления (указывайте единицы измерения искомых физических величин) и установите молекулярную формулу органического вещества;
2) составьте возможную структурную формулу этого вещества, которая однозначно отражает порядок связи атомов в его молекуле;
3) напишите уравнение реакции вещества А с уксусной кислотой.
ν(CO2) = 31,36 л / 22,4 л/моль = 1,4 моль
ν(H2O) = 14,4 г / 18 г/моль = 0,8 моль
n(C) = n(CO2) = 1,4 моль
m(C) = 1,4 моль · 12 г/моль = 16,8 г
n(H) = 2·n(H2O) = 2·0,8 = 1,6 моль
m(H) = 1,6 моль · 1 г/моль = 1,6 г
m(O) = 21,6 г − 16,8 г − 1,6 г = 3,2 г
n(O) = 3,2 г / 16 г/моль = 0,2 моль
n(C) : n(H) : n(O) = 1,4 : 1,6 : 0,2 = 7 : 8 : 1
Простейшая формула: C7H8O
Молекулярная формула: C7H8O
Структурная формула:
C6H5CH2OH
Уравнение реакции этерификации:

При сжигании образца дипептида природного происхождения массой 32 г получено 26,88 л углекислого газа (н.у.), 21,6 г воды и 4,48 л азота (н.у.). При гидролизе данного дипептида в растворе гидроксида калия образуется только одна соль.
На основании данных условия задания:
1) проведите необходимые вычисления (указывайте единицы измерения искомых физических величин) и установите молекулярную формулу органического вещества;
2) составьте возможную структурную формулу этого вещества, которая однозначно отражает порядок связи атомов в его молекуле;
3) напишите уравнение реакции гидролиза дипептида в растворе гидроксида калия.
ν(CO2) = 26,88 л / 22,4 л/моль = 1,2 моль
ν(H2O) = 21,6 г / 18 г/моль = 1,2 моль
ν(N2) = 4,48 л / 22,4 л/моль = 0,2 моль
n(C) = n(CO2) = 1,2 моль
m(C) = 1,2 моль · 12 г/моль = 14,4 г
n(H) = 2·n(H2O) = 2·1,2 = 2,4 моль
m(H) = 2,4 моль · 1 г/моль = 2,4 г
n(N) = 2·n(N2) = 2·0,2 = 0,4 моль
m(N) = 0,4 моль · 14 г/моль = 5,6 г
m(O) = 32 г − 14,4 г − 2,4 г − 5,6 г = 9,6 г
n(O) = 9,6 г / 16 г/моль = 0,6 моль
n(C) : n(H) : n(N) : n(O) = 1,2 : 2,4 : 0,4 : 0,6 = 3 : 6 : 1 : 1,5 = 6 : 12 : 2 : 3
Простейшая формула: C6H12N2O3
Молекулярная формула: C6H12N2O3
Структурная формула:

Уравнение реакции гидролиза:

При сжигании образца дипептида природного происхождения массой 26,4 г получено 17,92 л углекислого газа (н.у.), 14,4 г воды и 4,48 л азота (н.у.). При гидролизе данного дипептида в присутствии соляной кислоты образуется только одна соль.
На основании данных условия задания:
1) проведите необходимые вычисления (указывайте единицы измерения искомых физических величин) и установите молекулярную формулу органического вещества;
2) составьте возможную структурную формулу этого вещества, которая однозначно отражает порядок связи атомов в его молекуле;
3) напишите уравнение реакции гидролиза дипептида в присутствии соляной кислоты.
ν(CO2) = 17,92 л / 22,4 л/моль = 0,8 моль
ν(H2O) = 14,4 г / 18 г/моль = 0,8 моль
ν(N2) = 4,48 л / 22,4 л/моль = 0,2 моль
n(C) = n(CO2) = 0,8 моль
m(C) = 0,8 моль · 12 г/моль = 9,6 г
n(H) = 2·n(H2O) = 2·0,8 = 1,6 моль
m(H) = 1,6 моль · 1 г/моль = 1,6 г
n(N) = 2·n(N2) = 2·0,2 = 0,4 моль
m(N) = 0,4 моль · 14 г/моль = 5,6 г
m(O) = 26,4 г − 9,6 г − 1,6 г − 5,6 г = 9,6 г
n(O) = 9,6 г / 16 г/моль = 0,6 моль
n(C) : n(H) : n(N) : n(O) = 0,8 : 1,6 : 0,4 : 0,6 = 2 : 4 : 1 : 1,5 = 4 : 8 : 2 : 3
Простейшая формула: C4H8N2O3
Молекулярная формула: C4H8N2O3
Структурная формула:

Уравнение реакции гидролиза:

При сгорании 35,1 г органического вещества А получили 33,6 л углекислого газа (н.у.), 3,36 л азота (н.у.) и 29,7 г воды. При нагревании с водным раствором гидроксида натрия данное вещество подвергается гидролизу, продуктами которого являются соединение состава С2H4NО2Na и первичный спирт.
На основании данных условия задания:
1) проведите необходимые вычисления (указывайте единицы измерения искомых физических величин) и установите молекулярную формулу органического вещества;
2) составьте возможную структурную формулу этого вещества, которая однозначно отражает порядок связи атомов в его молекуле;
3) напишите уравнение реакции гидролиза исходного вещества в растворе гидроксида натрия.
ν(CO2) = 33,6 л / 22,4 л/моль = 1,5 моль
ν(N2) = 3,36 л / 22,4 л/моль = 0,15 моль
ν(H2O) = 29,7 г / 18 г/моль = 1,65 моль
n(C) = n(CO2) = 1,5 моль
m(C) = 1,5 моль · 12 г/моль = 18 г
n(H) = 2·n(H2O) = 2·1,65 = 3,3 моль
m(H) = 3,3 моль · 1 г/моль = 3,3 г
n(N) = 2·n(N2) = 2·0,15 = 0,3 моль
m(N) = 0,3 моль · 14 г/моль = 4,2 г
m(O) = 35,1 г − 18 г − 3,3 г − 4,2 г = 9,6 г
n(O) = 9,6 г / 16 г/моль = 0,6 моль
n(C) : n(H) : n(N) : n(O) = 1,5 : 3,3 : 0,3 : 0,6 = 5 : 11 : 1 : 2
Простейшая формула: C5H11NO2
Молекулярная формула: C5H11NO2
Структурная формула:

Уравнение реакции гидролиза:

При сгорании 8,775 г органического вещества А получили 8,4 л углекислого газа (н.у.), 0,84 л азота (н.у.) и 7,425 г воды. При нагревании с водным раствором гидроксида калия данное вещество подвергается гидролизу, продуктами которого являются соединение состава С2H4NО2K и вторичный спирт.
На основании данных условия задания:
1) проведите необходимые вычисления (указывайте единицы измерения искомых физических величин) и установите молекулярную формулу органического вещества;
2) составьте возможную структурную формулу этого вещества, которая однозначно отражает порядок связи атомов в его молекуле;
3) напишите уравнение реакции гидролиза исходного вещества в растворе гидроксида калия.
ν(CO2) = 8,4 л / 22,4 л/моль = 0,375 моль
ν(N2) = 0,84 л / 22,4 л/моль = 0,0375 моль
ν(H2O) = 7,425 г / 18 г/моль = 0,4125 моль
n(C) = n(CO2) = 0,375 моль
m(C) = 0,375 моль · 12 г/моль = 4,5 г
n(H) = 2·n(H2O) = 2·0,4125 = 0,825 моль
m(H) = 0,825 моль · 1 г/моль = 0,825 г
n(N) = 2·n(N2) = 2·0,0375 = 0,075 моль
m(N) = 0,075 моль · 14 г/моль = 1,05 г
m(O) = 8,775 г − 4,5 г − 0,825 г − 1,05 г = 2,4 г
n(O) = 2,4 г / 16 г/моль = 0,15 моль
n(C) : n(H) : n(N) : n(O) = 0,375 : 0,825 : 0,075 : 0,15 = 5 : 11 : 1 : 2
Простейшая формула: C5H11NO2
Молекулярная формула: C5H11NO2
Структурная формула:

Уравнение реакции гидролиза:

Вещество А содержит 37,5% углерода, 1,56% водорода, 35,94% натрия по массе, остальное – кислород. Вещество А образуется при обработке избытком раствора гидроксида натрия вещества Б без нагревания. Известно, что функциональные группы в молекуле вещества Б не находятся у соседних атомов углерода.
На основании данных условия задания:
1) проведите необходимые вычисления (указывайте единицы измерения искомых физических величин) и установите молекулярную формулу органического вещества;
2) составьте возможную структурную формулу этого вещества, которая однозначно отражает порядок связи атомов в его молекуле;
3) напишите уравнение реакции получения вещества А из вещества Б и гидроксида натрия.
ω(C) = 37,5%
ω(H) = 1,56%
ω(Na) = 35,94%
ω(O) = 100% − 37,5% − 1,56% − 35,94% = 25%
Пусть m(вещества А) = 100 г, тогда:
n(C) = 37,5 г / 12 г/моль = 3,125 моль
n(H) = 1,56 г / 1 г/моль = 1,56 моль
n(Na) = 35,94 г / 23 г/моль = 1,563 моль
n(O) = 25 г / 16 г/моль = 1,563 моль
n(C) : n(H) : n(Na) : n(O) = 3,125 : 1,56 : 1,563 : 1,563 = 2 : 1 : 1 : 1
Простейшая формула: C2HNaO
Молекулярная формула: C6H3Na3O3
Структурная формула:

Уравнение реакции:

Вещество А содержит 30% углерода, 1,25% водорода, 48,75% калия по массе, остальное – кислород. Вещество А образуется при обработке избытком раствора гидроксида калия вещества Б без нагревания. Известно, что функциональные группы в молекуле вещества Б не находятся у соседних атомов углерода.
На основании данных условия задания:
1) проведите необходимые вычисления (указывайте единицы измерения искомых физических величин) и установите молекулярную формулу органического вещества;
2) составьте возможную структурную формулу этого вещества, которая однозначно отражает порядок связи атомов в его молекуле;
3) напишите уравнение реакции получения вещества А из вещества Б и гидроксида калия.
ω(C) = 30%
ω(H) = 1,25%
ω(K) = 48,75%
ω(O) = 100% − 30% − 1,25% − 48,75% = 20%
Пусть m(вещества А) = 100 г, тогда:
n(C) = 30 г / 12 г/моль = 2,5 моль
n(H) = 1,25 г / 1 г/моль = 1,25 моль
n(K) = 48,75 г / 39 г/моль = 1,25 моль
n(O) = 20 г / 16 г/моль = 1,25 моль
n(C) : n(H) : n(K) : n(O) = 2,5 : 1,25 : 1,25 : 1,25 = 2 : 1 : 1 : 1 = 6 : 3 : 3 : 3
Простейшая формула: C6H3K3O3
Молекулярная формула: C6H3K3O3
Структурная формула:

Уравнение реакции:

Вещество А содержит 47,52% углерода, 6,93% азота, 39,60% брома по массе и водород. Вещество А образуется при действии бромэтана на азотсодержащее вещество Б.
На основании данных условия задания:
1) проведите необходимые вычисления (указывайте единицы измерения искомых физических величин) и установите молекулярную формулу органического вещества;
2) составьте возможную структурную формулу этого вещества, которая однозначно отражает порядок связи атомов в его молекуле;
3) напишите уравнение реакции получения вещества А из вещества Б и бромэтана.
ω(C) = 47,52%
ω(N) = 6,93%
ω(Br) = 39,60%
ω(H) = 100% − 47,52% − 6,93% − 39,60% = 5,95%
Пусть m(вещества А) = 100 г, тогда:
n(C) = 47,52 г / 12 г/моль = 3,96 моль
n(H) = 5,95 г / 1 г/моль = 5,95 моль
n(N) = 6,93 г / 14 г/моль = 0,495 моль
n(Br) = 39,60 г / 80 г/моль = 0,495 моль
n(C) : n(H) : n(N) : n(Br) = 3,96 : 5,95 : 0,495 : 0,495 = 8 : 12 : 1 : 1
Простейшая формула: C8H12NBr
Молекулярная формула: C8H12NBr
Структурная формула:

Уравнение реакции:

При сгорании органического вещества А массой 3,03 г получили 3,136 л (н.у.) углекислого газа, 448 мл (н.у.) хлороводорода, 224 мл (н.у.) азота и 3,06 г воды. Вещество А образуется при действии хлорэтана на азотсодержащее вещество Б, молекула которого содержит четвертичный атом углерода.
На основании данных условия задания:
1) проведите необходимые вычисления (указывайте единицы измерения искомых физических величин) и установите молекулярную формулу органического вещества;
2) составьте возможную структурную формулу этого вещества, которая однозначно отражает порядок связи атомов в его молекуле;
3) напишите уравнение реакции получения вещества А из вещества Б и хлорэтана.
ν(CO2) = 3,136 л / 22,4 л/моль = 0,14 моль
ν(HCl) = 0,448 л / 22,4 л/моль = 0,02 моль
ν(N2) = 0,224 л / 22,4 л/моль = 0,01 моль
ν(H2O) = 3,06 г / 18 г/моль = 0,17 моль
n(C) = n(CO2) = 0,14 моль
m(C) = 0,14 моль · 12 г/моль = 1,68 г
n(H) = 2·n(H2O) + n(HCl) = 2·0,17 + 0,02 = 0,36 моль
m(H) = 0,36 моль · 1 г/моль = 0,36 г
n(N) = 2·n(N2) = 2·0,01 = 0,02 моль
m(N) = 0,02 моль · 14 г/моль = 0,28 г
n(Cl) = n(HCl) = 0,02 моль
m(Cl) = 0,02 моль · 35,5 г/моль = 0,71 г
m(C) + m(H) + m(N) + m(Cl) = 1,68 + 0,36 + 0,28 + 0,71 = 3,03 г
n(C) : n(H) : n(N) : n(Cl) = 0,14 : 0,36 : 0,02 : 0,02 = 7 : 18 : 1 : 1
Простейшая формула: C7H18NCl
Молекулярная формула: C7H18NCl
Структурная формула:

Уравнение реакции:

При сгорании органического вещества А массой 2,87 г получили 3,136 л (н.у.) углекислого газа, 448 мл (н.у.) хлороводорода, 224 мл (н.у.) азота и 1,62 г воды. Вещество А образуется при действии хлорметана на азотсодержащее вещество Б.
На основании данных условия задания:
1) проведите необходимые вычисления (указывайте единицы измерения искомых физических величин) и установите молекулярную формулу органического вещества;
2) составьте возможную структурную формулу этого вещества, которая однозначно отражает порядок связи атомов в его молекуле;
3) напишите уравнение реакции получения вещества А из вещества Б и хлорметана.
ν(CO2) = 3,136 л / 22,4 л/моль = 0,14 моль
ν(HCl) = 0,448 л / 22,4 л/моль = 0,02 моль
ν(N2) = 0,224 л / 22,4 л/моль = 0,01 моль
ν(H2O) = 1,62 г / 18 г/моль = 0,09 моль
n(C) = n(CO2) = 0,14 моль
m(C) = 0,14 моль · 12 г/моль = 1,68 г
n(H) = 2·n(H2O) + n(HCl) = 2·0,09 + 0,02 = 0,2 моль
m(H) = 0,2 моль · 1 г/моль = 0,2 г
n(N) = 2·n(N2) = 2·0,01 = 0,02 моль
m(N) = 0,02 моль · 14 г/моль = 0,28 г
n(Cl) = n(HCl) = 0,02 моль
m(Cl) = 0,02 моль · 35,5 г/моль = 0,71 г
m(C) + m(H) + m(N) + m(Cl) = 1,68 + 0,2 + 0,28 + 0,71 = 2,87 г
n(C) : n(H) : n(N) : n(Cl) = 0,14 : 0,2 : 0,02 : 0,02 = 7 : 10 : 1 : 1
Простейшая формула: C7H10NCl
Молекулярная формула: C7H10NCl
Структурная формула:

Уравнение реакции:

При сгорании органического вещества А массой 6,975 г получили 5,5 г углекислого газа и 3,36 л (н.у.) хлороводорода. При гидролизе вещества А в присутствии гидроксида калия образуется органическая соль Б, не содержащая атомов хлора.
На основании данных условия задания:
1) проведите необходимые вычисления (указывайте единицы измерения искомых физических величин) и установите молекулярную формулу органического вещества;
2) составьте возможную структурную формулу этого вещества, которая однозначно отражает порядок связи атомов в его молекуле;
3) молекула вещества А содержит третичный атом углерода. Напишите уравнение реакции гидролиза вещества А в присутствии гидроксида калия.
ν(CO2) = 5,5 г / 44 г/моль = 0,125 моль
ν(HCl) = 3,36 л / 22,4 л/моль = 0,15 моль
n(C) = n(CO2) = 0,125 моль
m(C) = 0,125 моль · 12 г/моль = 1,5 г
n(H) = n(HCl) = 0,15 моль
m(H) = 0,15 моль · 1 г/моль = 0,15 г
n(Cl) = n(HCl) = 0,15 моль
m(Cl) = 0,15 моль · 35,5 г/моль = 5,325 г
m(C) + m(H) + m(Cl) = 1,5 + 0,15 + 5,325 = 6,975 г
n(C) : n(H) : n(Cl) = 0,125 : 0,15 : 0,15 = 5 : 6 : 6
Простейшая формула: C5H6Cl6
Молекулярная формула: C5H6Cl6
Структурная формула:

Уравнение реакции гидролиза:

При сгорании органического вещества А массой 13,95 г получили 5,6 л (н.у.) углекислого газа и 6,72 л (н.у.) хлороводорода. При гидролизе вещества А в присутствии гидроксида натрия образуется органическая соль Б, не содержащая атомов хлора. Молекула вещества А содержит четвертичный атом углерода.
На основании данных условия задания:
1) проведите необходимые вычисления (указывайте единицы измерения искомых физических величин) и установите молекулярную формулу органического вещества;
2) составьте возможную структурную формулу этого вещества, которая однозначно отражает порядок связи атомов в его молекуле;
3) напишите уравнение реакции гидролиза вещества А в присутствии гидроксида натрия.
ν(CO2) = 5,6 л / 22,4 л/моль = 0,25 моль
ν(HCl) = 6,72 л / 22,4 л/моль = 0,3 моль
n(C) = n(CO2) = 0,25 моль
m(C) = 0,25 моль · 12 г/моль = 3 г
n(H) = n(HCl) = 0,3 моль
m(H) = 0,3 моль · 1 г/моль = 0,3 г
n(Cl) = n(HCl) = 0,3 моль
m(Cl) = 0,3 моль · 35,5 г/моль = 10,65 г
m(C) + m(H) + m(Cl) = 3 + 0,3 + 10,65 = 13,95 г
n(C) : n(H) : n(Cl) = 0,25 : 0,3 : 0,3 = 5 : 6 : 6
Простейшая формула: C5H6Cl6
Молекулярная формула: C5H6Cl6
Структурная формула:

Уравнение реакции гидролиза:

При сгорании органического вещества А массой 27,3 г получили 19,8 г углекислого газа и 13,44 л (н.у.) хлороводорода. При гидролизе вещества А в присутствии гидроксида калия образуется органическое вещество Б, которое взаимодействует при нагревании с гидроксидом меди(II) в молярном соотношении 1 : 4.
На основании данных условия задания:
1) проведите необходимые вычисления (указывайте единицы измерения искомых физических величин) и установите молекулярную формулу органического вещества;
2) составьте возможную структурную формулу этого вещества, которая однозначно отражает порядок связи атомов в его молекуле;
3) напишите уравнение реакции гидролиза вещества А в присутствии гидроксида калия.
ν(CO2) = 19,8 г / 44 г/моль = 0,45 моль
ν(HCl) = 13,44 л / 22,4 л/моль = 0,6 моль
n(C) = n(CO2) = 0,45 моль
m(C) = 0,45 моль · 12 г/моль = 5,4 г
n(H) = n(HCl) = 0,6 моль
m(H) = 0,6 моль · 1 г/моль = 0,6 г
n(Cl) = n(HCl) = 0,6 моль
m(Cl) = 0,6 моль · 35,5 г/моль = 21,3 г
m(C) + m(H) + m(Cl) = 5,4 + 0,6 + 21,3 = 27,3 г
n(C) : n(H) : n(Cl) = 0,45 : 0,6 : 0,6 = 3 : 4 : 4
Простейшая формула: C3H4Cl4
Молекулярная формула: C3H4Cl4
Структурная формула:

Уравнение реакции гидролиза:

Вещество А содержит 45,71% углерода, 30,48% кислорода, 21,90% натрия по массе и водород. Известно, что функциональные группы в веществе А максимально удалены друг от друга. При нагревании вещества А с гидроксидом натрия образуется вещество Б, которое не обесцвечивает бромную воду.
На основании данных условия задания:
1) проведите необходимые вычисления (указывайте единицы измерения искомых физических величин) и установите молекулярную формулу органического вещества;
2) составьте возможную структурную формулу этого вещества, которая однозначно отражает порядок связи атомов в его молекуле;
3) напишите уравнение реакции, протекающей при нагревании вещества А с гидроксидом натрия.
ω(C) = 45,71%
ω(O) = 30,48%
ω(Na) = 21,90%
ω(H) = 100% − 45,71% − 30,48% − 21,90% = 1,91%
Пусть m(вещества А) = 100 г, тогда:
n(C) = 45,71 г / 12 г/моль = 3,809 моль
n(H) = 1,91 г / 1 г/моль = 1,91 моль
n(O) = 30,48 г / 16 г/моль = 1,905 моль
n(Na) = 21,90 г / 23 г/моль = 0,952 моль
n(C) : n(H) : n(O) : n(Na) = 3,809 : 1,91 : 1,905 : 0,952 = 4 : 2 : 2 : 1
Простейшая формула: C4H2O2Na
Молекулярная формула: C8H4O4Na2
Структурная формула:

Уравнение реакции:

Вещество А содержит 34,09% углерода, 36,36% кислорода, 26,14% натрия по массе и водород. При нагревании вещества А с гидроксидом натрия образуется вещество Б, молекула которого содержит только вторичный и первичные атомы углерода. Вещество А содержит четвертичный атом углерода.
На основании данных условия задания:
1) проведите необходимые вычисления (указывайте единицы измерения искомых физических величин) и установите молекулярную формулу органического вещества;
2) составьте возможную структурную формулу этого вещества, которая однозначно отражает порядок связи атомов в его молекуле;
3) напишите уравнение реакции, протекающей при нагревании вещества А с гидроксидом натрия.
ω(C) = 34,09%
ω(O) = 36,36%
ω(Na) = 26,14%
ω(H) = 100% − 34,09% − 36,36% − 26,14% = 3,41%
Пусть m(вещества А) = 100 г, тогда:
n(C) = 34,09 г / 12 г/моль = 2,841 моль
n(H) = 3,41 г / 1 г/моль = 3,41 моль
n(O) = 36,36 г / 16 г/моль = 2,273 моль
n(Na) = 26,14 г / 23 г/моль = 1,137 моль
n(C) : n(H) : n(O) : n(Na) = 2,841 : 3,41 : 2,273 : 1,137 = 2,5 : 3 : 2 : 1 = 5 : 6 : 4 : 2
Простейшая формула: C5H6O4Na2
Молекулярная формула: C5H6O4Na2
Структурная формула:

Уравнение реакции:

При сгорании 38,5 г органического вещества получили 92,4 г углекислого газа и 18,9 г воды. Известно, что функциональные группы в молекуле этого вещества находятся у соседних атомов углерода.
На основании данных условия задания:
1) проведите необходимые вычисления (указывайте единицы измерения искомых физических величин) и установите молекулярную формулу органического вещества;
2) составьте возможную структурную формулу этого вещества, которая однозначно отражает порядок связи атомов в его молекуле;
3) напишите уравнение реакции этого вещества с избытком водного раствора гидроксида натрия.
ν(CO2) = 92,4 г / 44 г/моль = 2,1 моль
ν(H2O) = 18,9 г / 18 г/моль = 1,05 моль
n(C) = n(CO2) = 2,1 моль
m(C) = 2,1 моль · 12 г/моль = 25,2 г
n(H) = 2·n(H2O) = 2·1,05 = 2,1 моль
m(H) = 2,1 моль · 1 г/моль = 2,1 г
m(O) = 38,5 г − 25,2 г − 2,1 г = 11,2 г
n(O) = 11,2 г / 16 г/моль = 0,7 моль
n(C) : n(H) : n(O) = 2,1 : 2,1 : 0,7 = 3 : 3 : 1
Простейшая формула: C3H3O
Молекулярная формула: C6H6O2
Структурная формула:

Уравнение реакции:

Вещество А содержит 2,60% водорода, 20,78% кислорода, 29,87% натрия по массе, остальное углерод. Вещество А образуется при обработке вещества Б избытком водного раствора гидроксида натрия без нагревания. Известно, что функциональные группы в молекуле вещества Б находятся у соседних атомов углерода.
На основании данных условия задания:
1) проведите необходимые вычисления (указывайте единицы измерения искомых физических величин) и установите молекулярную формулу органического вещества;
2) составьте возможную структурную формулу этого вещества, которая однозначно отражает порядок связи атомов в его молекуле;
3) напишите уравнение реакции получения вещества А из вещества Б и гидроксида натрия.
ω(H) = 2,60%
ω(O) = 20,78%
ω(Na) = 29,87%
ω(C) = 100% − 2,60% − 20,78% − 29,87% = 46,75%
Пусть m(вещества А) = 100 г, тогда:
n(C) = 46,75 г / 12 г/моль = 3,896 моль
n(H) = 2,60 г / 1 г/моль = 2,60 моль
n(O) = 20,78 г / 16 г/моль = 1,299 моль
n(Na) = 29,87 г / 23 г/моль = 1,299 моль
n(C) : n(H) : n(O) : n(Na) = 3,896 : 2,60 : 1,299 : 1,299 = 3 : 2 : 1 : 1 = 6 : 4 : 2 : 2
Простейшая формула: C3H2ONa
Молекулярная формула: C6H4O2Na2
Структурная формула:

Уравнение реакции:

Вещество А содержит 46,75% углерода, 20,78% кислорода, 29,87% натрия по массе, остальное – водород. Вещество А образуется при обработке избытком раствора гидроксида натрия вещества Б без нагревания. Известно, что функциональные группы в молекуле вещества Б максимально удалены друг от друга.
На основании данных условия задания:
1) проведите необходимые вычисления (указывайте единицы измерения искомых физических величин) и установите молекулярную формулу органического вещества;
2) составьте возможную структурную формулу этого вещества, которая однозначно отражает порядок связи атомов в его молекуле;
3) напишите уравнение реакции получения вещества А из вещества Б и гидроксида натрия.
ω(C) = 46,75%
ω(O) = 20,78%
ω(Na) = 29,87%
ω(H) = 100% − 46,75% − 20,78% − 29,87% = 2,60%
Пусть m(вещества А) = 100 г, тогда:
n(C) = 46,75 г / 12 г/моль = 3,896 моль
n(H) = 2,60 г / 1 г/моль = 2,60 моль
n(O) = 20,78 г / 16 г/моль = 1,299 моль
n(Na) = 29,87 г / 23 г/моль = 1,299 моль
n(C) : n(H) : n(O) : n(Na) = 3,896 : 2,60 : 1,299 : 1,299 = 3 : 2 : 1 : 1
Простейшая формула: C3H2ONa
Молекулярная формула: C6H4O2Na2
Структурная формула:

Уравнение реакции:

При сгорании 12,11 г органического вещества получили 18,48 г углекислого газа, 5,67 г бромоводорода и 2,52 г воды. Известно, что функциональные группы в молекуле этого вещества находятся у соседних атомов углерода.
На основании данных условия задания:
1) проведите необходимые вычисления (указывайте единицы измерения искомых физических величин) и установите молекулярную формулу органического вещества;
2) составьте возможную структурную формулу этого вещества, которая однозначно отражает порядок связи атомов в его молекуле;
3) напишите уравнение реакции этого вещества с избытком водного раствора гидроксида натрия без нагревания.
Дано:
m(вещества) = 12,11 г
m(CO2) = 18,48 г
m(HBr) = 5,67 г
m(H2O) = 2,52 г
n(CO2) = 18,48 г / 44 г/моль = 0,42 моль
n(HBr) = 5,67 г / 81 г/моль = 0,07 моль
n(H2O) = 2,52 г / 18 г/моль = 0,14 моль
n(C) = n(CO2) = 0,42 моль
n(Br) = n(HBr) = 0,07 моль
n(H) = n(HBr) + 2·n(H2O) = 0,07 + 2·0,14 = 0,35 моль
m(C) = 0,42 моль · 12 г/моль = 5,04 г
m(H) = 0,35 моль · 1 г/моль = 0,35 г
m(Br) = 0,07 моль · 80 г/моль = 5,60 г
m(O) = 12,11 г — 5,04 г — 0,35 г — 5,60 г = 1,12 г
n(O) = 1,12 г / 16 г/моль = 0,07 моль
n(C) : n(H) : n(O) : n(Br) = 0,42 : 0,35 : 0,07 : 0,07 = 6 : 5 : 1 : 1
Простейшая формула: C6H5OBr
Молекулярная формула: C6H5OBr
Структурная формула:

Уравнение реакции:

При сгорании 5,19 г органического вещества получили 4,032 л (н.у.) углекислого газа, 2,43 г бромоводорода и 1,08 г воды. Известно, что функциональные группы в молекуле этого вещества максимально удалены друг от друга.
На основании данных условия задания:
1) проведите необходимые вычисления (указывайте единицы измерения искомых физических величин) и установите молекулярную формулу органического вещества;
2) составьте возможную структурную формулу этого вещества, которая однозначно отражает порядок связи атомов в его молекуле;
3) напишите уравнение реакции этого вещества с избытком водного раствора гидроксида калия без нагревания.
Дано:
m(вещества) = 5,19 г
V(CO2) = 4,032 л (н.у.)
m(HBr) = 2,43 г
m(H2O) = 1,08 г
n(CO2) = 4,032 л / 22,4 л/моль = 0,18 моль
n(HBr) = 2,43 г / 81 г/моль = 0,03 моль
n(H2O) = 1,08 г / 18 г/моль = 0,06 моль
n(C) = n(CO2) = 0,18 моль
n(Br) = n(HBr) = 0,03 моль
n(H) = n(HBr) + 2·n(H2O) = 0,03 + 2·0,06 = 0,15 моль
m(C) = 0,18 моль · 12 г/моль = 2,16 г
m(H) = 0,15 моль · 1 г/моль = 0,15 г
m(Br) = 0,03 моль · 80 г/моль = 2,40 г
m(O) = 5,19 г — 2,16 г — 0,15 г — 2,40 г = 0,48 г
n(O) = 0,48 г / 16 г/моль = 0,03 моль
n(C) : n(H) : n(O) : n(Br) = 0,18 : 0,15 : 0,03 : 0,03 = 6 : 5 : 1 : 1
Простейшая формула: C6H5OBr
Молекулярная формула: C6H5OBr
Структурная формула:

Уравнение реакции:

При сжигании органического вещества А массой 4,56 г получено 3,96 г углекислого газа, 2,16 г воды и 672 мл (н.у.) азота. Вещество А образуется при действии разбавленной азотной кислоты на натриевую соль Б.
На основании данных условия задания:
1) проведите необходимые вычисления (указывайте единицы измерения искомых физических величин) и установите молекулярную формулу органического вещества;
2) составьте возможную структурную формулу этого вещества, которая однозначно отражает порядок связи атомов в его молекуле;
3) напишите уравнение реакции получения вещества А при взаимодействии натриевой соли Б с азотной кислотой.
Дано:
m(вещества А) = 4,56 г
m(CO2) = 3,96 г
m(H2O) = 2,16 г
V(N2) = 672 мл = 0,672 л (н.у.)
n(CO2) = 3,96 г / 44 г/моль = 0,09 моль
n(H2O) = 2,16 г / 18 г/моль = 0,12 моль
n(N2) = 0,672 л / 22,4 л/моль = 0,03 моль
n(C) = n(CO2) = 0,09 моль
n(H) = 2·n(H2O) = 2·0,12 = 0,24 моль
n(N) = 2·n(N2) = 2·0,03 = 0,06 моль
m(C) = 0,09 моль · 12 г/моль = 1,08 г
m(H) = 0,24 моль · 1 г/моль = 0,24 г
m(N) = 0,06 моль · 14 г/моль = 0,84 г
m(O) = 4,56 г — 1,08 г — 0,24 г — 0,84 г = 2,40 г
n(O) = 2,40 г / 16 г/моль = 0,15 моль
n(C) : n(H) : n(N) : n(O) = 0,09 : 0,24 : 0,06 : 0,15 = 3 : 8 : 2 : 5
Простейшая формула: C3H8N2O5
Молекулярная формула: C3H8N2O5
Структурная формула:

Уравнение реакции:

При сжигании органического вещества А массой 3,45 г получено 2,20 г углекислого газа, 1,35 г воды и 560 мл (н.у.) азота. Вещество А образуется при действии разбавленной азотной кислоты на натриевую соль Б.
На основании данных условия задания:
1) проведите необходимые вычисления (указывайте единицы измерения искомых физических величин) и установите молекулярную формулу органического вещества;
2) составьте возможную структурную формулу этого вещества, которая однозначно отражает порядок связи атомов в его молекуле;
3) напишите уравнение реакции получения вещества А при взаимодействии натриевой соли Б с азотной кислотой.
Дано:
m(вещества А) = 3,45 г
m(CO2) = 2,20 г
m(H2O) = 1,35 г
V(N2) = 560 мл = 0,560 л (н.у.)
n(CO2) = 2,20 г / 44 г/моль = 0,05 моль
n(H2O) = 1,35 г / 18 г/моль = 0,075 моль
n(N2) = 0,560 л / 22,4 л/моль = 0,025 моль
n(C) = n(CO2) = 0,05 моль
n(H) = 2·n(H2O) = 2·0,075 = 0,15 моль
n(N) = 2·n(N2) = 2·0,025 = 0,05 моль
m(C) = 0,05 моль · 12 г/моль = 0,60 г
m(H) = 0,15 моль · 1 г/моль = 0,15 г
m(N) = 0,05 моль · 14 г/моль = 0,70 г
m(O) = 3,45 г — 0,60 г — 0,15 г — 0,70 г = 2,00 г
n(O) = 2,00 г / 16 г/моль = 0,125 моль
n(C) : n(H) : n(N) : n(O) = 0,05 : 0,15 : 0,05 : 0,125 = 2 : 6 : 2 : 5
Простейшая формула: C2H6N2O5
Молекулярная формула: C2H6N2O5
Структурная формула:

Уравнение реакции:

Вещество А содержит 13,87% углерода, 8,09% азота, 18,5% серы, 55,49% кислорода по массе и водород. Вещество А образуется при действии разбавленной серной кислоты на натриевую соль Б.
На основании данных условия задания:
1) проведите необходимые вычисления (указывайте единицы измерения искомых физических величин) и установите молекулярную формулу органического вещества;
2) составьте возможную структурную формулу этого вещества, которая однозначно отражает порядок связи атомов в его молекуле;
3) напишите уравнение реакции получения вещества А при взаимодействии натриевой соли Б с серной кислотой.
ω(C) = 13,87%
ω(N) = 8,09%
ω(S) = 18,50%
ω(O) = 55,49%
ω(H) = 100% − 13,87% − 8,09% − 18,50% − 55,49% = 4,05%
Пусть m(вещества А) = 100 г, тогда:
n(C) = 13,87 г / 12 г/моль = 1,156 моль
n(H) = 4,05 г / 1 г/моль = 4,05 моль
n(N) = 8,09 г / 14 г/моль = 0,578 моль
n(S) = 18,50 г / 32 г/моль = 0,578 моль
n(O) = 55,49 г / 16 г/моль = 3,468 моль
n(C) : n(H) : n(N) : n(S) : n(O) = 1,156 : 4,05 : 0,578 : 0,578 : 3,468 = 2 : 7 : 1 : 1 : 6
Простейшая формула: C2H7NSO6
Молекулярная формула: C2H7NSO6
Структурная формула:

Уравнение реакции:

Вещество А содержит 19,25% углерода, 7,49% азота, 17,11% серы, 51,34% кислорода по массе и водород. Вещество А образуется при действии разбавленной серной кислоты на натриевую соль Б.
На основании данных условия задания:
1) проведите необходимые вычисления (указывайте единицы измерения искомых физических величин) и установите молекулярную формулу органического вещества;
2) составьте возможную структурную формулу этого вещества, которая однозначно отражает порядок связи атомов в его молекуле;
3) напишите уравнение реакции получения вещества А при взаимодействии натриевой соли Б с серной кислотой.
ω(C) = 19,25%
ω(N) = 7,49%
ω(S) = 17,11%
ω(O) = 51,34%
ω(H) = 100% − 19,25% − 7,49% − 17,11% − 51,34% = 4,81%
Пусть m(вещества А) = 100 г, тогда:
n(C) = 19,25 г / 12 г/моль = 1,604 моль
n(H) = 4,81 г / 1 г/моль = 4,81 моль
n(N) = 7,49 г / 14 г/моль = 0,535 моль
n(S) = 17,11 г / 32 г/моль = 0,535 моль
n(O) = 51,34 г / 16 г/моль = 3,209 моль
n(C) : n(H) : n(N) : n(S) : n(O) = 1,604 : 4,81 : 0,535 : 0,535 : 3,209 = 3 : 9 : 1 : 1 : 6
Простейшая формула: C3H9NSO6
Молекулярная формула: C3H9NSO6
Структурная формула:

Уравнение реакции:

При сгорании органического вещества А массой 2,67 г получили 896 мл (н.у.) углекислого газа и 1,344 л (н.у.) хлороводорода. При гидролизе вещества А в присутствии гидроксида калия образуется органическая соль Б, не содержащая атомов хлора.
На основании данных условия задания:
1) проведите необходимые вычисления (указывайте единицы измерения искомых физических величин) и установите молекулярную формулу органического вещества;
2) составьте возможную структурную формулу этого вещества, которая однозначно отражает порядок связи атомов в его молекуле;
3) напишите уравнение реакции гидролиза вещества А в присутствии гидроксида калия.
Дано:
m(вещества А) = 2,67 г
V(CO2) = 896 мл = 0,896 л (н.у.)
V(HCl) = 1,344 л (н.у.)
n(CO2) = 0,896 л / 22,4 л/моль = 0,04 моль
n(HCl) = 1,344 л / 22,4 л/моль = 0,06 моль
n(C) = n(CO2) = 0,04 моль
n(Cl) = n(HCl) = 0,06 моль
n(H) из HCl = n(HCl) = 0,06 моль
m(C) = 0,04 моль · 12 г/моль = 0,48 г
m(Cl) = 0,06 моль · 35,5 г/моль = 2,13 г
m(H) общая = 2,67 г — 0,48 г — 2,13 г = 0,06 г
n(H) общая = 0,06 г / 1 г/моль = 0,06 моль
n(C) : n(H) : n(Cl) = 0,04 : 0,06 : 0,06 = 2 : 3 : 3
Простейшая формула: C2H3Cl3
Молекулярная формула: C2H3Cl3
Структурная формула:
CH3CCl3
Уравнение реакции:
CH3CCl3 + 4KOH → CH3COOK + 3KCl + 2H2O
При сгорании органического вещества А массой 27,9 г получили 22 г углекислого газа и 13,44 л (н.у.) хлороводорода. Молекула вещества А не содержит третичных и четвертичных атомов углерода. При гидролизе вещества А в присутствии гидроксида калия образуется органическая соль Б, не содержащая атомов хлора.
На основании данных условия задания:
1) проведите необходимые вычисления (указывайте единицы измерения искомых физических величин) и установите молекулярную формулу органического вещества;
2) составьте возможную структурную формулу этого вещества, которая однозначно отражает порядок связи атомов в его молекуле;
3) напишите уравнение реакции гидролиза вещества А в присутствии гидроксида калия.
Дано:
m(вещества А) = 27,9 г
m(CO2) = 22 г
V(HCl) = 13,44 л (н.у.)
n(CO2) = 22 г / 44 г/моль = 0,5 моль
n(HCl) = 13,44 л / 22,4 л/моль = 0,6 моль
n(C) = n(CO2) = 0,5 моль
n(Cl) = n(HCl) = 0,6 моль
n(H) из HCl = n(HCl) = 0,6 моль
m(C) = 0,5 моль · 12 г/моль = 6,0 г
m(Cl) = 0,6 моль · 35,5 г/моль = 21,3 г
m(H) общая = 27,9 г — 6,0 г — 21,3 г = 0,6 г
n(H) общая = 0,6 г / 1 г/моль = 0,6 моль
n(C) : n(H) : n(Cl) = 0,5 : 0,6 : 0,6 = 5 : 6 : 6
Простейшая формула: C5H6Cl6
Молекулярная формула: C5H6Cl6
Структурная формула:
Cl3C−CH2−CH2−CH2−CCl3
Уравнение реакции:
Cl3C−CH2−CH2−CCl3 + 8KOH → KOOC−CH2−CH2−CH2−COOK + 6KCl + 4H2O
При сгорании органического вещества А массой 43,65 г получили 20,16 л (н.у.) углекислого газа и 20,16 л (н.у.) хлороводорода. Вещество А образуется при взаимодействии вещества Б с хлором под действием ультрафиолетового освещения. Известно, что в молекуле вещества Б все атомы углерода находятся в sp2-гибридизации, а в молекуле вещества А — в sp3-гибридизации.
На основании данных условия задания:
1) проведите необходимые вычисления (указывайте единицы измерения искомых физических величин) и установите молекулярную формулу органического вещества;
2) составьте возможную структурную формулу этого вещества, которая однозначно отражает порядок связи атомов в его молекуле;
3) напишите уравнение реакции получения вещества А при хлорировании вещества Б.
Дано:
m(вещества А) = 43,65 г
V(CO2) = 20,16 л (н.у.)
V(HCl) = 20,16 л (н.у.)
n(CO2) = 20,16 л / 22,4 л/моль = 0,9 моль
n(HCl) = 20,16 л / 22,4 л/моль = 0,9 моль
n(C) = n(CO2) = 0,9 моль
n(Cl) = n(HCl) = 0,9 моль
n(H) из HCl = n(HCl) = 0,9 моль
m(C) = 0,9 моль · 12 г/моль = 10,8 г
m(Cl) = 0,9 моль · 35,5 г/моль = 31,95 г
m(H) общая = 43,65 г — 10,8 г — 31,95 г = 0,9 г
n(H) общая = 0,9 г / 1 г/моль = 0,9 моль
n(C) : n(H) : n(Cl) = 0,9 : 0,9 : 0,9 = 1 : 1 : 1
Простейшая формула: CHCl
Молекулярная формула: C6H6Cl6
Структурная формула:

Уравнение реакции:

При сгорании органического вещества А массой 295 мг получили 336 мл (н.у.) углекислого газа и 315 мг воды. Известно, что вещество А можно получить при взаимодействии натриевой соли Б с хлорэтаном в соотношении 1 : 2.
На основании данных условия задания:
1) проведите необходимые вычисления (указывайте единицы измерения искомых физических величин) и установите молекулярную формулу органического вещества;
2) составьте возможную структурную формулу этого вещества, которая однозначно отражает порядок связи атомов в его молекуле;
3) напишите уравнение реакции получения вещества А взаимодействием натриевой соли Б с хлорэтаном.
Дано:
m(вещества А) = 295 мг = 0,295 г
V(CO2) = 336 мл = 0,336 л (н.у.)
m(H2O) = 315 мг = 0,315 г
n(CO2) = 0,336 л / 22,4 л/моль = 0,015 моль
n(H2O) = 0,315 г / 18 г/моль = 0,0175 моль
n(C) = n(CO2) = 0,015 моль
n(H) = 2·n(H2O) = 2·0,0175 = 0,035 моль
m(C) = 0,015 моль · 12 г/моль = 0,18 г
m(H) = 0,035 моль · 1 г/моль = 0,035 г
m(O) = 0,295 г — 0,18 г — 0,035 г = 0,08 г
n(O) = 0,08 г / 16 г/моль = 0,005 моль
n(C) : n(H) : n(O) = 0,015 : 0,035 : 0,005 = 3 : 7 : 1
Простейшая формула: C3H7O
Молекулярная формула: C6H14O2
Структурная формула:
CH3CH2-O-CH2CH2-O-CH2CH3
Уравнение реакции:
NaO-CH2CH2-ONa + 2CH3CH2Cl → CH3CH2-O-CH2CH2-O-CH2CH3 + 2NaCl
При сгорании органического вещества А массой 225 мг получили 224 мл (н.у.) углекислого газа и 225 мг воды. Известно, что вещество А можно получить при взаимодействии натриевой соли Б с бромметаном в соотношении 1 : 2.
На основании данных условия задания:
1) проведите необходимые вычисления (указывайте единицы измерения искомых физических величин) и установите молекулярную формулу органического вещества;
2) составьте возможную структурную формулу этого вещества, которая однозначно отражает порядок связи атомов в его молекуле;
3) напишите уравнение реакции получения вещества А взаимодействием натриевой соли Б с бромметаном.
Дано:
m(вещества А) = 225 мг = 0,225 г
V(CO2) = 224 мл = 0,224 л (н.у.)
m(H2O) = 225 мг = 0,225 г
n(CO2) = 0,224 л / 22,4 л/моль = 0,01 моль
n(H2O) = 0,225 г / 18 г/моль = 0,0125 моль
n(C) = n(CO2) = 0,01 моль
n(H) = 2·n(H2O) = 2·0,0125 = 0,025 моль
m(C) = 0,01 моль · 12 г/моль = 0,12 г
m(H) = 0,025 моль · 1 г/моль = 0,025 г
m(O) = 0,225 г — 0,12 г — 0,025 г = 0,08 г
n(O) = 0,08 г / 16 г/моль = 0,005 моль
n(C) : n(H) : n(O) = 0,01 : 0,025 : 0,005 = 2 : 5 : 1
Простейшая формула: C2H5O
Молекулярная формула: C4H10O2
Структурная формула:
CH3-O-CH2CH2-O-CH3
Уравнение реакции:
NaO-CH2CH2-ONa + 2CH3Br → CH3-O-CH2CH2-O-CH3 + 2NaBr
При сжигании органического вещества природного происхождения массой 1,46 г получено 2,2 г углекислого газа, 900 мг воды и 224 мл (н.у.) азота. При гидролизе данного вещества в присутствии соляной кислоты образуются две соли.
На основании данных условия задания:
1) проведите необходимые вычисления (указывайте единицы измерения искомых физических величин) и установите молекулярную формулу органического вещества;
2) составьте возможную структурную формулу этого вещества, которая однозначно отражает порядок связи атомов в его молекуле;
3) напишите уравнение реакции гидролиза органического вещества в присутствии соляной кислоты.
Дано:
m(вещества) = 1,46 г
m(CO2) = 2,2 г
m(H2O) = 900 мг = 0,9 г
V(N2) = 224 мл = 0,224 л (н.у.)
n(CO2) = 2,2 г / 44 г/моль = 0,05 моль
n(H2O) = 0,9 г / 18 г/моль = 0,05 моль
n(N2) = 0,224 л / 22,4 л/моль = 0,01 моль
n(C) = n(CO2) = 0,05 моль
n(H) = 2·n(H2O) = 2·0,05 = 0,1 моль
n(N) = 2·n(N2) = 2·0,01 = 0,02 моль
m(C) = 0,05 моль · 12 г/моль = 0,6 г
m(H) = 0,1 моль · 1 г/моль = 0,1 г
m(N) = 0,02 моль · 14 г/моль = 0,28 г
m(O) = 1,46 г — 0,6 г — 0,1 г — 0,28 г = 0,48 г
n(O) = 0,48 г / 16 г/моль = 0,03 моль
n(C) : n(H) : n(N) : n(O) = 0,05 : 0,1 : 0,02 : 0,03 = 5 : 10 : 2 : 3
Простейшая формула: C5H10N2O3
Молекулярная формула: C5H10N2O3
Структурная формула:

Уравнение реакции:

При сжигании органического вещества природного происхождения массой 5,84 г получено 8,8 г углекислого газа, 3,6 г воды и 896 мл (н.у.) азота. При гидролизе данного вещества в присутствии гидроксида калия образуются две соли.
На основании данных условия задания:
1) проведите необходимые вычисления (указывайте единицы измерения искомых физических величин) и установите молекулярную формулу органического вещества;
2) составьте возможную структурную формулу этого вещества, которая однозначно отражает порядок связи атомов в его молекуле;
3) напишите уравнение реакции гидролиза органического вещества в присутствии гидроксида калия.
Дано:
m(вещества) = 5,84 г
m(CO2) = 8,8 г
m(H2O) = 3,6 г
V(N2) = 896 мл = 0,896 л (н.у.)
n(CO2) = 8,8 г / 44 г/моль = 0,2 моль
n(H2O) = 3,6 г / 18 г/моль = 0,2 моль
n(N2) = 0,896 л / 22,4 л/моль = 0,04 моль
n(C) = n(CO2) = 0,2 моль
n(H) = 2·n(H2O) = 2·0,2 = 0,4 моль
n(N) = 2·n(N2) = 2·0,04 = 0,08 моль
m(C) = 0,2 моль · 12 г/моль = 2,4 г
m(H) = 0,4 моль · 1 г/моль = 0,4 г
m(N) = 0,08 моль · 14 г/моль = 1,12 г
m(O) = 5,84 г — 2,4 г — 0,4 г — 1,12 г = 1,92 г
n(O) = 1,92 г / 16 г/моль = 0,12 моль
n(C) : n(H) : n(N) : n(O) = 0,2 : 0,4 : 0,08 : 0,12 = 5 : 10 : 2 : 3
Простейшая формула: C5H10N2O3
Молекулярная формула: C5H10N2O3
Структурная формула:

Уравнение реакции:

При сгорании органического вещества А массой 0,54 г получили 784 мл (н.у.) углекислого газа и 360 мг воды. Известно, что вещество А можно получить при взаимодействии натриевой соли Б с бромметаном.
На основании данных условия задания:
1) проведите необходимые вычисления (указывайте единицы измерения искомых физических величин) и установите молекулярную формулу органического вещества;
2) составьте возможную структурную формулу этого вещества, которая однозначно отражает порядок связи атомов в его молекуле;
3) напишите уравнение реакции получения вещества А взаимодействием натриевой соли Б с бромметаном.
Дано:
m(вещества А) = 0,54 г
V(CO2) = 784 мл = 0,784 л (н.у.)
m(H2O) = 360 мг = 0,36 г
n(CO2) = 0,784 л / 22,4 л/моль = 0,035 моль
n(H2O) = 0,36 г / 18 г/моль = 0,02 моль
n(C) = n(CO2) = 0,035 моль
n(H) = 2·n(H2O) = 2·0,02 = 0,04 моль
m(C) = 0,035 моль · 12 г/моль = 0,42 г
m(H) = 0,04 моль · 1 г/моль = 0,04 г
m(O) = 0,54 г — 0,42 г — 0,04 г = 0,08 г
n(O) = 0,08 г / 16 г/моль = 0,005 моль
n(C) : n(H) : n(O) = 0,035 : 0,04 : 0,005 = 7 : 8 : 1
Простейшая формула: C7H8O
Молекулярная формула: C7H8O
Структурная формула:
C6H5-O-CH3
Уравнение реакции:

При сгорании 4,32 г органического вещества А образуется 5,04 л (н.у.) углекислого газа, 2,43 г воды и 1,59 г карбоната натрия. Вещество А образуется при действии раствора щёлочи на вещество Б, три заместителя в молекуле которого расположены у нечётных атомов углерода.
На основании данных условия задания:
1) проведите необходимые вычисления (указывайте единицы измерения искомых физических величин) и установите молекулярную формулу органического вещества;
2) составьте возможную структурную формулу этого вещества, которая однозначно отражает порядок связи атомов в его молекуле;
3) напишите уравнение реакции получения вещества А при действии раствора щёлочи на вещество Б.
Дано:
m(вещества А) = 4,32 г
V(CO2) = 5,04 л (н.у.)
m(H2O) = 2,43 г
m(Na2CO3) = 1,59 г
n(CO2) = 5,04 л / 22,4 л/моль = 0,225 моль
n(H2O) = 2,43 г / 18 г/моль = 0,135 моль
n(Na2CO3) = 1,59 г / 106 г/моль = 0,015 моль
n(C) из CO2 = 0,225 моль
n(C) из Na2CO3 = 0,015 моль
n(C) общий = 0,225 + 0,015 = 0,24 моль
n(H) = 2·n(H2O) = 2·0,135 = 0,27 моль
n(Na) = 2·n(Na2CO3) = 2·0,015 = 0,03 моль
m(C) = 0,24 моль · 12 г/моль = 2,88 г
m(H) = 0,27 моль · 1 г/моль = 0,27 г
m(Na) = 0,03 моль · 23 г/моль = 0,69 г
m(O) = 4,32 г — 2,88 г — 0,27 г — 0,69 г = 0,48 г
n(O) = 0,48 г / 16 г/моль = 0,03 моль
n(C) : n(H) : n(O) : n(Na) = 0,24 : 0,27 : 0,03 : 0,03 = 8 : 9 : 1 : 1
Простейшая формула: C8H9ONa
Молекулярная формула: C8H9ONa
Структурная формула:

Уравнение реакции:

При сгорании 29,2 г органического вещества А образовалось 26,88 л (н.у.) оксида углерода(IV), 4,48 л (н.у.) азота и 25,2 г воды. Известно, что молекула вещества А имеет неразветвлённый углеродный скелет, содержит три функциональные группы, при этом азотсодержащие группы максимально удалены друг от друга. Вещество А способно реагировать как с соляной кислотой, так и с гидроксидом натрия.
На основании данных условия задания:
1) проведите необходимые вычисления (указывайте единицы измерения искомых физических величин) и установите молекулярную формулу органического вещества;
2) составьте возможную структурную формулу этого вещества, которая однозначно отражает порядок связи атомов в его молекуле;
3) напишите уравнение реакции вещества А с избытком соляной кислоты.
Дано:
m(вещества А) = 29,2 г
V(CO2) = 26,88 л (н.у.)
V(N2) = 4,48 л (н.у.)
m(H2O) = 25,2 г
n(CO2) = 26,88 л / 22,4 л/моль = 1,2 моль
n(N2) = 4,48 л / 22,4 л/моль = 0,2 моль
n(H2O) = 25,2 г / 18 г/моль = 1,4 моль
n(C) = n(CO2) = 1,2 моль
n(N) = 2·n(N2) = 2·0,2 = 0,4 моль
n(H) = 2·n(H2O) = 2·1,4 = 2,8 моль
m(C) = 1,2 моль · 12 г/моль = 14,4 г
m(N) = 0,4 моль · 14 г/моль = 5,6 г
m(H) = 2,8 моль · 1 г/моль = 2,8 г
m(O) = 29,2 г — 14,4 г — 5,6 г — 2,8 г = 6,4 г
n(O) = 6,4 г / 16 г/моль = 0,4 моль
n(C) : n(H) : n(N) : n(O) = 1,2 : 2,8 : 0,4 : 0,4 = 6 : 14 : 2 : 2
Простейшая формула: C6H14N2O2
Молекулярная формула: C6H14N2O2
Структурная формула:

Уравнение реакции:

Некоторое органическое вещество А содержит по массе 66,67% углерода, 11,11% водорода и 22,22% кислорода. Известно, что оно взаимодействует со свежеосаждённым гидроксидом меди(II) и образуется при мягком окислении вещества Б холодным водным раствором перманганата калия. Молекула вещества Б имеет только два заместителя, расположенных у атомов углерода при кратной связи.
На основании данных условия задания:
1) проведите необходимые вычисления (указывайте единицы измерения искомых физических величин) и установите молекулярную формулу органического вещества;
2) составьте возможную структурную формулу этого вещества, которая однозначно отражает порядок связи атомов в его молекуле;
3) напишите уравнение реакции получения вещества А окислением вещества Б раствором перманганата калия.
ω(C) = 66,67%
ω(H) = 11,11%
ω(O) = 22,22%
Пусть m(вещества А) = 100 г, тогда:
n(C) = 66,67 г / 12 г/моль = 5,556 моль
n(H) = 11,11 г / 1 г/моль = 11,11 моль
n(O) = 22,22 г / 16 г/моль = 1,389 моль
n(C) : n(H) : n(O) = 5,556 : 11,11 : 1,389 = 4 : 8 : 1
Простейшая формула: C4H8O
Молекулярная формула: C8H16O2
Структурная формула:

Уравнение реакции:

Органическое вещество А, содержащее по массе 51,9% углерода, 4,3% водорода, 19,8% кислорода и калий, образуется при действии раствора щёлочи на вещество Б. Известно, что 1 моль вещества Б может прореагировать с 2 моль калия, а заместители в молекуле вещества Б расположены у первого и третьего атомов углерода.
На основании данных условия задания:
1) проведите необходимые вычисления (указывайте единицы измерения искомых физических величин) и установите молекулярную формулу органического вещества;
2) составьте возможную структурную формулу этого вещества, которая однозначно отражает порядок связи атомов в его молекуле;
3) напишите уравнение реакции получения вещества А при действии раствора щёлочи на вещество Б.
ω(C) = 51,9%
ω(H) = 4,3%
ω(O) = 19,8%
ω(K) = 100% − 51,9% − 4,3% − 19,8% = 24,0%
Пусть m(вещества А) = 100 г, тогда:
n(C) = 51,9 г / 12 г/моль = 4,325 моль
n(H) = 4,3 г / 1 г/моль = 4,3 моль
n(O) = 19,8 г / 16 г/моль = 1,238 моль
n(K) = 24,0 г / 39 г/моль = 0,615 моль
n(C) : n(H) : n(O) : n(K) = 4,325 : 4,3 : 1,238 : 0,615 = 7 : 7 : 2 : 1
Простейшая формула: C7H7O2K
Молекулярная формула: C7H7O2K
Структурная формула:

Уравнение реакции:

Органическое вещество А, содержащее по массе 57,5% углерода, 4,8% водорода, 21,9% кислорода и натрий, образуется при действии раствора щёлочи на вещество Б. Известно, что 1 моль вещества Б может прореагировать с 2 моль натрия, а заместители в молекуле вещества Б расположены у первого и третьего атомов углерода.
На основании данных условия задания:
1) проведите необходимые вычисления (указывайте единицы измерения искомых физических величин) и установите молекулярную формулу органического вещества;
2) составьте возможную структурную формулу этого вещества, которая однозначно отражает порядок связи атомов в его молекуле;
3) напишите уравнение получения вещества А при действии раствора щёлочи на вещество Б.
ω(C) = 57,5%
ω(H) = 4,8%
ω(O) = 21,9%
ω(Na) = 100% − 57,5% − 4,8% − 21,9% = 15,8%
Пусть m(вещества А) = 100 г, тогда:
n(C) = 57,5 г / 12 г/моль = 4,792 моль
n(H) = 4,8 г / 1 г/моль = 4,8 моль
n(O) = 21,9 г / 16 г/моль = 1,369 моль
n(Na) = 15,8 г / 23 г/моль = 0,687 моль
n(C) : n(H) : n(O) : n(Na) = 4,792 : 4,8 : 1,369 : 0,687 = 7 : 7 : 2 : 1
Простейшая формула: C7H7O2Na
Молекулярная формула: C7H7O2Na
Структурная формула:

Уравнение реакции:

Органическое вещество А, содержащее по массе 51,9% углерода, 4,3% водорода, 19,8% кислорода и калий, образуется при действии раствора щёлочи на вещество Б. Известно, что 1 моль вещества Б реагирует с 2 моль натрия, а в его молекуле заместители располагаются у соседних атомов углерода.
На основании данных условия задания:
1) проведите необходимые вычисления (указывайте единицы измерения искомых физических величин) и установите молекулярную формулу органического вещества;
2) составьте возможную структурную формулу этого вещества, которая однозначно отражает порядок связи атомов в его молекуле;
3) напишите уравнение получения вещества А при действии раствора щёлочи на вещество Б.
ω(C) = 51,9%
ω(H) = 4,3%
ω(O) = 19,8%
ω(K) = 100% − 51,9% − 4,3% − 19,8% = 24,0%
Пусть m(вещества А) = 100 г, тогда:
n(C) = 51,9 г / 12 г/моль = 4,325 моль
n(H) = 4,3 г / 1 г/моль = 4,3 моль
n(O) = 19,8 г / 16 г/моль = 1,238 моль
n(K) = 24,0 г / 39 г/моль = 0,615 моль
n(C) : n(H) : n(O) : n(K) = 4,325 : 4,3 : 1,238 : 0,615 = 7 : 7 : 2 : 1
Простейшая формула: C7H7O2K
Молекулярная формула: C7H7O2K
Структурная формула:

Уравнение реакции:

При сгорании 3,24 г органического вещества А образуется 2,912 л (н.у.) углекислого газа, 1,26 г воды и 1,38 г карбоната калия. Вещество А образуется при действии раствора щёлочи на вещество Б. Известно, что вещество Б реагирует с бромоводородом, а в его молекуле заместители располагаются у соседних атомов углерода.
На основании данных условия задания:
1) проведите необходимые вычисления (указывайте единицы измерения искомых физических величин) и установите молекулярную формулу органического вещества;
2) составьте возможную структурную формулу этого вещества, которая однозначно отражает порядок связи атомов в его молекуле;
3) напишите уравнение получения вещества А при действии раствора щёлочи на вещество Б.
Дано:
m(вещества А) = 3,24 г
V(CO2) = 2,912 л (н.у.)
m(H2O) = 1,26 г
m(K2CO3) = 1,38 г
n(CO2) = 2,912 л / 22,4 л/моль = 0,13 моль
n(H2O) = 1,26 г / 18 г/моль = 0,07 моль
n(K2CO3) = 1,38 г / 138 г/моль = 0,01 моль
n(C) из CO2 = 0,13 моль
n(C) из K2CO3 = 0,01 моль
n(C) общий = 0,13 + 0,01 = 0,14 моль
n(H) = 2·n(H2O) = 2·0,07 = 0,14 моль
n(K) = 2·n(K2CO3) = 2·0,01 = 0,02 моль
m(C) = 0,14 моль · 12 г/моль = 1,68 г
m(H) = 0,14 моль · 1 г/моль = 0,14 г
m(K) = 0,02 моль · 39 г/моль = 0,78 г
m(O) = 3,24 г — 1,68 г — 0,14 г — 0,78 г = 0,64 г
n(O) = 0,64 г / 16 г/моль = 0,04 моль
n(C) : n(H) : n(O) : n(K) = 0,14 : 0,14 : 0,04 : 0,02 = 7 : 7 : 2 : 1
Простейшая формула: C7H7O2K
Молекулярная формула: C7H7O2K
Структурная формула:

Уравнение реакции:

При сгорании 1,44 г органического вещества А образуется 1,68 л (н.у.) углекислого газа, 0,81 г воды и 0,53 г карбоната натрия. Вещество А образуется при действии раствора щёлочи на вещество Б, два заместителя в молекуле которого максимально удалены друг от друга.
На основании данных условия задания:
1) проведите необходимые вычисления (указывайте единицы измерения искомых физических величин) и установите молекулярную формулу органического вещества;
2) составьте возможную структурную формулу этого вещества, которая однозначно отражает порядок связи атомов в его молекуле;
3) напишите уравнение реакции получения вещества А при действии раствора щёлочи на вещество Б.
Дано:
m(вещества А) = 1,44 г
V(CO2) = 1,68 л (н.у.)
m(H2O) = 0,81 г
m(Na2CO3) = 0,53 г
n(CO2) = 1,68 л / 22,4 л/моль = 0,075 моль
n(H2O) = 0,81 г / 18 г/моль = 0,045 моль
n(Na2CO3) = 0,53 г / 106 г/моль = 0,005 моль
n(C) из CO2 = 0,075 моль
n(C) из Na2CO3 = 0,005 моль
n(C) общий = 0,075 + 0,005 = 0,08 моль
n(H) = 2·n(H2O) = 2·0,045 = 0,09 моль
n(Na) = 2·n(Na2CO3) = 2·0,005 = 0,01 моль
m(C) = 0,08 моль · 12 г/моль = 0,96 г
m(H) = 0,09 моль · 1 г/моль = 0,09 г
m(Na) = 0,01 моль · 23 г/моль = 0,23 г
m(O) = 1,44 г — 0,96 г — 0,09 г — 0,23 г = 0,16 г
n(O) = 0,16 г / 16 г/моль = 0,01 моль
n(C) : n(H) : n(O) : n(Na) = 0,08 : 0,09 : 0,01 : 0,01 = 8 : 9 : 1 : 1
Простейшая формула: C8H9ONa
Молекулярная формула: C8H9ONa
Структурная формула:

Уравнение реакции:

При сгорании 2,16 г органического вещества А образуется 2,52 л (н.у.) углекислого газа, 1,215 г воды и 0,795 г карбоната натрия. Вещество А образуется при действии гидроксида натрия на вещество Б, два заместителя в молекуле которого расположены у соседних атомов углерода.
На основании данных условия задания:
1) проведите необходимые вычисления (указывайте единицы измерения искомых физических величин) и установите молекулярную формулу органического вещества;
2) составьте возможную структурную формулу этого вещества, которая однозначно отражает порядок связи атомов в его молекуле;
3) напишите уравнение реакции получения вещества А при действии натрия на вещество Б.
Дано:
m(вещества А) = 2,16 г
V(CO2) = 2,52 л (н.у.)
m(H2O) = 1,215 г
m(Na2CO3) = 0,795 г
n(CO2) = 2,52 л / 22,4 л/моль = 0,1125 моль
n(H2O) = 1,215 г / 18 г/моль = 0,0675 моль
n(Na2CO3) = 0,795 г / 106 г/моль = 0,0075 моль
n(C) из CO2 = 0,1125 моль
n(C) из Na2CO3 = 0,0075 моль
n(C) общий = 0,1125 + 0,0075 = 0,12 моль
n(H) = 2·n(H2O) = 2·0,0675 = 0,135 моль
n(Na) = 2·n(Na2CO3) = 2·0,0075 = 0,015 моль
m(C) = 0,12 моль · 12 г/моль = 1,44 г
m(H) = 0,135 моль · 1 г/моль = 0,135 г
m(Na) = 0,015 моль · 23 г/моль = 0,345 г
m(O) = 2,16 г — 1,44 г — 0,135 г — 0,345 г = 0,24 г
n(O) = 0,24 г / 16 г/моль = 0,015 моль
n(C) : n(H) : n(O) : n(Na) = 0,12 : 0,135 : 0,015 : 0,015 = 8 : 9 : 1 : 1
Простейшая формула: C8H9ONa
Молекулярная формула: C8H9ONa
Структурная формула:

Уравнение реакции:

При сгорании 2,03 г органического вещества А образуется 1,904 л (н.у.) углекислого газа, 0,9 г воды, 0,112 л (н.у.) азота и 0,69 г карбоната калия. Известно, что в веществе А азотсодержащая функциональная группа находится в α-положении по отношению к кислородсодержащей, а в ароматическом ядре замещён только один атом водорода.
На основании данных условия задания:
1) проведите необходимые вычисления (указывайте единицы измерения искомых физических величин) и установите молекулярную формулу органического вещества;
2) составьте возможную структурную формулу этого вещества, которая однозначно отражает порядок связи атомов в его молекуле;
3) напишите уравнение взаимодействия вещества А с избытком соляной кислоты.
Дано:
m(вещества А) = 2,03 г
V(CO2) = 1,904 л (н.у.)
m(H2O) = 0,9 г
V(N2) = 0,112 л (н.у.)
m(K2CO3) = 0,69 г
n(CO2) = 1,904 л / 22,4 л/моль = 0,085 моль
n(H2O) = 0,9 г / 18 г/моль = 0,05 моль
n(N2) = 0,112 л / 22,4 л/моль = 0,005 моль
n(K2CO3) = 0,69 г / 138 г/моль = 0,005 моль
n(C) из CO2 = 0,085 моль
n(C) из K2CO3 = 0,005 моль
n(C) общий = 0,085 + 0,005 = 0,09 моль
n(H) = 2·n(H2O) = 2·0,05 = 0,1 моль
n(N) = 2·n(N2) = 2·0,005 = 0,01 моль
n(K) = 2·n(K2CO3) = 2·0,005 = 0,01 моль
m(C) = 0,09 моль · 12 г/моль = 1,08 г
m(H) = 0,1 моль · 1 г/моль = 0,1 г
m(N) = 0,01 моль · 14 г/моль = 0,14 г
m(K) = 0,01 моль · 39 г/моль = 0,39 г
m(O) = 2,03 г — 1,08 г — 0,1 г — 0,14 г — 0,39 г = 0,32 г
n(O) = 0,32 г / 16 г/моль = 0,02 моль
n(C) : n(H) : n(N) : n(O) : n(K) = 0,09 : 0,1 : 0,01 : 0,02 : 0,01 = 9 : 10 : 1 : 2 : 1
Простейшая формула: C9H10NO2K
Молекулярная формула: C9H10NO2K
Структурная формула:

Уравнение реакции:

При сгорании 2,88 г некоторого органического вещества А образуется 3,584 л (н.у.) углекислого газа и 2,88 г воды. Известно, что вещество А взаимодействует со свежеосаждённым гидроксидом меди(II) и образуется при мягком окислении вещества Б холодным водным раствором перманганата калия. Молекула вещества Б имеет только два заместителя, расположенных у атомов углерода при кратной связи.
На основании данных условия задания:
1) проведите необходимые вычисления (указывайте единицы измерения искомых физических величин) и установите молекулярную формулу органического вещества;
2) составьте возможную структурную формулу этого вещества, которая однозначно отражает порядок связи атомов в его молекуле;
3) напишите уравнение реакции получения вещества А окислением вещества Б раствором перманганата калия.
Дано:
m(вещества А) = 2,88 г
V(CO2) = 3,584 л (н.у.)
m(H2O) = 2,88 г
n(CO2) = 3,584 л / 22,4 л/моль = 0,16 моль
n(H2O) = 2,88 г / 18 г/моль = 0,16 моль
n(C) = n(CO2) = 0,16 моль
n(H) = 2·n(H2O) = 2·0,16 = 0,32 моль
m(C) = 0,16 моль · 12 г/моль = 1,92 г
m(H) = 0,32 моль · 1 г/моль = 0,32 г
m(O) = 2,88 г — 1,92 г — 0,32 г = 0,64 г
n(O) = 0,64 г / 16 г/моль = 0,04 моль
n(C) : n(H) : n(O) = 0,16 : 0,32 : 0,04 = 4 : 8 : 1
Простейшая формула: C4H8O
Молекулярная формула: C8H16O2
Структурная формула:

Уравнение реакции:

При сгорании 3,045 г органического вещества А образуется 5,61 г углекислого газа, 1,35 г воды, 168 мл (н.у.) азота и 1,035 г карбоната калия. Вещество A образуется при взаимодействии органического вещества B с гидроксидом калия. Известно, что в молекуле вещества В азотсодержащая функциональная группа находится в α-положении по отношению к кислородсодержащей, а в ароматическом кольце замещён только один атом водорода.
На основании данных условия задания:
1) проведите необходимые вычисления (указывайте единицы измерения искомых физических величин) и установите молекулярную формулу органического вещества;
2) составьте возможную структурную формулу этого вещества, которая однозначно отражает порядок связи атомов в его молекуле;
3) напишите уравнение взаимодействия вещества B с гидроксидом калия.
Дано:
m(вещества А) = 3,045 г
m(CO2) = 5,61 г
m(H2O) = 1,35 г
V(N2) = 168 мл = 0,168 л (н.у.)
m(K2CO3) = 1,035 г
n(CO2) = 5,61 г / 44 г/моль = 0,1275 моль
n(H2O) = 1,35 г / 18 г/моль = 0,075 моль
n(N2) = 0,168 л / 22,4 л/моль = 0,0075 моль
n(K2CO3) = 1,035 г / 138 г/моль = 0,0075 моль
n(C) из CO2 = 0,1275 моль
n(C) из K2CO3 = 0,0075 моль
n(C) общий = 0,1275 + 0,0075 = 0,135 моль
n(H) = 2·n(H2O) = 2·0,075 = 0,15 моль
n(N) = 2·n(N2) = 2·0,0075 = 0,015 моль
n(K) = 2·n(K2CO3) = 2·0,0075 = 0,015 моль
m(C) = 0,135 моль · 12 г/моль = 1,62 г
m(H) = 0,15 моль · 1 г/моль = 0,15 г
m(N) = 0,015 моль · 14 г/моль = 0,21 г
m(K) = 0,015 моль · 39 г/моль = 0,585 г
m(O) = 3,045 г — 1,62 г — 0,15 г — 0,21 г — 0,585 г = 0,48 г
n(O) = 0,48 г / 16 г/моль = 0,03 моль
n(C) : n(H) : n(N) : n(O) : n(K) = 0,135 : 0,15 : 0,015 : 0,03 : 0,015 = 9 : 10 : 1 : 2 : 1
Простейшая формула: C9H10NO2K
Молекулярная формула: C9H10NO2K
Структурная формула:

Уравнение реакции:

Вещество A содержит 57,75% углерода, 7,49% азота, 17,11% кислорода, 12,30% натрия по массе, остальное водород. Вещество A образуется при взаимодействии вещества B с гидроксидом натрия. Известно, что в молекуле вещества В азотсодержащая функциональная группа находится в α-положении по отношению к кислородсодержащей, а в ароматическом кольце замещён только один атом водорода.
На основании данных условия задания:
1) проведите необходимые вычисления (указывайте единицы измерения искомых физических величин) и установите молекулярную формулу органического вещества;
2) составьте возможную структурную формулу этого вещества, которая однозначно отражает порядок связи атомов в его молекуле;
3) напишите уравнение реакции получения вещества A из вещества B и гидроксида натрия.
ω(C) = 57,75%
ω(N) = 7,49%
ω(O) = 17,11%
ω(Na) = 12,30%
ω(H) = 100% − 57,75% − 7,49% − 17,11% − 12,30% = 5,35%
Пусть m(вещества А) = 100 г, тогда:
n(C) = 57,75 г / 12 г/моль = 4,813 моль
n(H) = 5,35 г / 1 г/моль = 5,35 моль
n(N) = 7,49 г / 14 г/моль = 0,535 моль
n(O) = 17,11 г / 16 г/моль = 1,069 моль
n(Na) = 12,30 г / 23 г/моль = 0,535 моль
n(C) : n(H) : n(N) : n(O) : n(Na) = 4,813 : 5,35 : 0,535 : 1,069 : 0,535 = 9 : 10 : 1 : 2 : 1
Простейшая формула: C9H10NO2Na
Молекулярная формула: C9H10NO2Na
Структурная формула:

Уравнение реакции:

При сгорании 7,35 г органического вещества А образуется 5,6 л (н.у.) углекислого газа, 4,05 г воды, 0,56 л (н.у.) азота. Известно, что вещество А имеет неразветвлённый углеродный скелет, содержит три функциональные группы, при этом азотсодержащая группа находится в α-положении к одной из кислородсодержащих групп. Вещество A может реагировать как с гидроксидом калия, так и с соляной кислотой.
На основании данных условия задания:
1) проведите необходимые вычисления (указывайте единицы измерения искомых физических величин) и установите молекулярную формулу органического вещества;
2) составьте возможную структурную формулу этого вещества, которая однозначно отражает порядок связи атомов в его молекуле;
3) напишите уравнение реакции вещества А с избытком гидроксида калия.
Дано:
m(вещества А) = 7,35 г
V(CO2) = 5,6 л (н.у.)
m(H2O) = 4,05 г
V(N2) = 0,56 л (н.у.)
n(CO2) = 5,6 л / 22,4 л/моль = 0,25 моль
n(H2O) = 4,05 г / 18 г/моль = 0,225 моль
n(N2) = 0,56 л / 22,4 л/моль = 0,025 моль
n(C) = n(CO2) = 0,25 моль
n(H) = 2·n(H2O) = 2·0,225 = 0,45 моль
n(N) = 2·n(N2) = 2·0,025 = 0,05 моль
m(C) = 0,25 моль · 12 г/моль = 3,0 г
m(H) = 0,45 моль · 1 г/моль = 0,45 г
m(N) = 0,05 моль · 14 г/моль = 0,7 г
m(O) = 7,35 г — 3,0 г — 0,45 г — 0,7 г = 3,2 г
n(O) = 3,2 г / 16 г/моль = 0,2 моль
n(C) : n(H) : n(N) : n(O) = 0,25 : 0,45 : 0,05 : 0,2 = 5 : 9 : 1 : 4
Простейшая формула: C5H9NO4
Молекулярная формула: C5H9NO4
Структурная формула:

Уравнение реакции:

Вещество A содержит 39,13% углерода, 17,39% кислорода, 15,22% азота, 21,20% калия по массе, остальное водород. Вещество A образуется при взаимодействии вещества B с гидроксидом калия. Известно, что молекула вещества B имеет неразветвлённый углеродный скелет, содержит три функциональные группы, при этом азотсодержащие функциональные группы максимально удалены друг от друга.
На основании данных условия задания:
1) проведите необходимые вычисления (указывайте единицы измерения искомых физических величин) и установите молекулярную формулу органического вещества;
2) составьте возможную структурную формулу этого вещества, которая однозначно отражает порядок связи атомов в его молекуле;
3) напишите уравнение получения вещества A при взаимодействии вещества B с гидроксидом калия.
ω(C) = 39,13%
ω(O) = 17,39%
ω(N) = 15,22%
ω(K) = 21,20%
ω(H) = 100% − 39,13% − 17,39% − 15,22% − 21,20% = 7,06%
Пусть m(вещества А) = 100 г, тогда:
n(C) = 39,13 г / 12 г/моль = 3,261 моль
n(H) = 7,06 г / 1 г/моль = 7,06 моль
n(O) = 17,39 г / 16 г/моль = 1,087 моль
n(N) = 15,22 г / 14 г/моль = 1,087 моль
n(K) = 21,20 г / 39 г/моль = 0,544 моль
n(C) : n(H) : n(N) : n(O) : n(K) = 3,261 : 7,06 : 1,087 : 1,087 : 0,544 = 6 : 13 : 2 : 2 : 1
Простейшая формула: C6H13N2O2K
Молекулярная формула: C6H13N2O2K
Структурная формула:

Уравнение реакции:

При сгорании 8,64 г органического вещества А образуется 10,08 л (н.у.) углекислого газа, 4,86 г воды и 3,18 г карбоната натрия. Известно, что вещество А содержит только один первичный атом углерода, а заместители находятся у нечётных атомов углерода. Вещество A может быть получено в результате реакции вещества Б со щёлочью.
На основании данных условия задания:
1) проведите необходимые вычисления (указывайте единицы измерения искомых физических величин) и установите молекулярную формулу органического вещества;
2) составьте возможную структурную формулу этого вещества, которая однозначно отражает порядок связи атомов в его молекуле;
3) напишите уравнение реакции получения вещества А из вещества Б при его взаимодействии со щёлочью.
Дано:
m(вещества А) = 8,64 г
V(CO2) = 10,08 л (н.у.)
m(H2O) = 4,86 г
m(Na2CO3) = 3,18 г
n(CO2) = 10,08 л / 22,4 л/моль = 0,45 моль
n(H2O) = 4,86 г / 18 г/моль = 0,27 моль
n(Na2CO3) = 3,18 г / 106 г/моль = 0,03 моль
n(C) из CO2 = 0,45 моль
n(C) из Na2CO3 = 0,03 моль
n(C) общий = 0,45 + 0,03 = 0,48 моль
n(H) = 2·n(H2O) = 2·0,27 = 0,54 моль
n(Na) = 2·n(Na2CO3) = 2·0,03 = 0,06 моль
m(C) = 0,48 моль · 12 г/моль = 5,76 г
m(H) = 0,54 моль · 1 г/моль = 0,54 г
m(Na) = 0,06 моль · 23 г/моль = 1,38 г
m(O) = 8,64 г — 5,76 г — 0,54 г — 1,38 г = 0,96 г
n(O) = 0,96 г / 16 г/моль = 0,06 моль
n(C) : n(H) : n(O) : n(Na) = 0,48 : 0,54 : 0,06 : 0,06 = 8 : 9 : 1 : 1
Простейшая формула: C8H9ONa
Молекулярная формула: C8H9ONa
Структурная формула:

Уравнение реакции:

При сгорании 42 г органического вещества А образуется 35,84 л (н.у.) углекислого газа, 39,6 г воды и 4,48 л (н.у.) азота. Известно, что вещество А взаимодействует с водным раствором гидроксида калия при нагревании, при этом образуются два продукта, содержащие одинаковое количество атомов углерода.
На основании данных условия задания:
1) проведите необходимые вычисления (указывайте единицы измерения искомых физических величин) и установите молекулярную формулу органического вещества;
2) составьте возможную структурную формулу этого вещества, которая однозначно отражает порядок связи атомов в его молекуле;
3) напишите уравнение реакции вещества А с водным раствором гидроксида калия при нагревании.
Дано:
m(вещества А) = 42 г
V(CO2) = 35,84 л (н.у.)
m(H2O) = 39,6 г
V(N2) = 4,48 л (н.у.)
n(CO2) = 35,84 л / 22,4 л/моль = 1,6 моль
n(H2O) = 39,6 г / 18 г/моль = 2,2 моль
n(N2) = 4,48 л / 22,4 л/моль = 0,2 моль
n(C) = n(CO2) = 1,6 моль
n(H) = 2·n(H2O) = 2·2,2 = 4,4 моль
n(N) = 2·n(N2) = 2·0,2 = 0,4 моль
m(C) = 1,6 моль · 12 г/моль = 19,2 г
m(H) = 4,4 моль · 1 г/моль = 4,4 г
m(N) = 0,4 моль · 14 г/моль = 5,6 г
m(O) = 42 г — 19,2 г — 4,4 г — 5,6 г = 12,8 г
n(O) = 12,8 г / 16 г/моль = 0,8 моль
n(C) : n(H) : n(N) : n(O) = 1,6 : 4,4 : 0,4 : 0,8 = 4 : 11 : 1 : 2
Простейшая формула: C4H11NO2
Молекулярная формула: C4H11NO2
Структурная формула:

Уравнение реакции:

Вещество А содержит по массе 55,81% углерода, 37,21% кислорода (остальное – водород). Известно, что вещество А взаимодействует с водным раствором гидроксида бария при нагревании. При этом образуются соль и вещество Б, которое содержит только вторичные атомы углерода и заместители, расположенные на максимальном расстоянии друг от друга.
На основании данных условия задания:
1) проведите необходимые вычисления (указывайте единицы измерения искомых физических величин) и установите молекулярную формулу органического вещества;
2) составьте возможную структурную формулу этого вещества, которая однозначно отражает порядок связи атомов в его молекуле;
3) напишите уравнение реакции вещества А с избытком водного раствора гидроксида бария при нагревании.
ω(C) = 55,81%
ω(O) = 37,21%
ω(H) = 100% − 55,81% − 37,21% = 6,98%
Пусть m(вещества А) = 100 г, тогда:
n(C) = 55,81 г / 12 г/моль = 4,651 моль
n(H) = 6,98 г / 1 г/моль = 6,98 моль
n(O) = 37,21 г / 16 г/моль = 2,326 моль
n(C) : n(H) : n(O) = 4,651 : 6,98 : 2,326 = 2 : 3 : 1
Простейшая формула: C2H3O
Молекулярная формула: C8H12O4
Структурная формула:

Уравнение реакции:

При сгорании 3,06 г органического вещества А образуется 3,136 л (н.у.) углекислого газа, 1,26 г воды и 0,224 л (н.у.) азота. Известно, что вещество А не взаимодействует с натрием, не подвергается гидролизу, а его молекула содержит заместители у соседних атомов углерода.
На основании данных условия задания:
1) проведите необходимые вычисления (указывайте единицы измерения искомых физических величин) и установите молекулярную формулу органического вещества;
2) составьте возможную структурную формулу этого вещества, которая однозначно отражает порядок связи атомов в его молекуле;
3) напишите уравнение реакции каталитического гидрирования вещества А.
Дано:
m(вещества А) = 3,06 г
V(CO2) = 3,136 л (н.у.)
m(H2O) = 1,26 г
V(N2) = 0,224 л (н.у.)
n(CO2) = 3,136 л / 22,4 л/моль = 0,14 моль
n(H2O) = 1,26 г / 18 г/моль = 0,07 моль
n(N2) = 0,224 л / 22,4 л/моль = 0,01 моль
n(C) = n(CO2) = 0,14 моль
n(H) = 2·n(H2O) = 2·0,07 = 0,14 моль
n(N) = 2·n(N2) = 2·0,01 = 0,02 моль
m(C) = 0,14 моль · 12 г/моль = 1,68 г
m(H) = 0,14 моль · 1 г/моль = 0,14 г
m(N) = 0,02 моль · 14 г/моль = 0,28 г
m(O) = 3,06 г — 1,68 г — 0,14 г — 0,28 г = 0,96 г
n(O) = 0,96 г / 16 г/моль = 0,06 моль
n(C) : n(H) : n(N) : n(O) = 0,14 : 0,14 : 0,02 : 0,06 = 7 : 7 : 1 : 3
Простейшая формула: C7H7NO3
Молекулярная формула: C7H7NO3
Структурная формула:

Уравнение реакции:

При сгорании 11,04 г органического вещества А образуется 5,376 л (н.у.) углекислого газа, 5,04 г воды, 0,896 л (н.у.) азота и 1,792 л (н.у.) бромоводорода. Известно, что вещество А имеет в своем составе только вторичные атомы углерода, а его функциональные группы занимают 1,4-положение по отношению друг к другу. Вещество A может быть получено при взаимодействии вещества Б с избытком бромоводорода.
На основании данных условия задания:
1) проведите необходимые вычисления (указывайте единицы измерения искомых физических величин) и установите молекулярную формулу органического вещества;
2) составьте возможную структурную формулу этого вещества, которая однозначно отражает порядок связи атомов в его молекуле;
3) напишите уравнение реакции получения вещества А из вещества Б при его взаимодействии с избытком бромоводорода.
Дано:
m(вещества А) = 11,04 г
V(CO2) = 5,376 л (н.у.)
m(H2O) = 5,04 г
V(N2) = 0,896 л (н.у.)
V(HBr) = 1,792 л (н.у.)
n(CO2) = 5,376 л / 22,4 л/моль = 0,24 моль
n(H2O) = 5,04 г / 18 г/моль = 0,28 моль
n(N2) = 0,896 л / 22,4 л/моль = 0,04 моль
n(HBr) = 1,792 л / 22,4 л/моль = 0,08 моль
n(C) = n(CO2) = 0,24 моль
n(H) = 2·n(H2O) + n(HBr) = 2·0,28 + 0,08 = 0,64 моль
n(N) = 2·n(N2) = 2·0,04 = 0,08 моль
n(Br) = n(HBr) = 0,08 моль
m(C) = 0,24 моль · 12 г/моль = 2,88 г
m(H) = 0,64 моль · 1 г/моль = 0,64 г
m(N) = 0,08 моль · 14 г/моль = 1,12 г
m(Br) = 0,08 моль · 80 г/моль = 6,4 г
Проверка: 2,88 + 0,64 + 1,12 + 6,4 = 11,04 г
n(C) : n(H) : n(N) : n(Br) = 0,24 : 0,64 : 0,08 : 0,08 = 3 : 8 : 1 : 1
Простейшая формула: C3H8NBr
Молекулярная формула: C6H16N2Br2
Структурная формула: 
Уравнение реакции: 
При сгорании 44 г органического вещества А образуется 36,4 л (н.у.) углекислого газа, 11,25 г воды и 17,25 г карбоната калия. Известно, что вещество А содержит функциональные группы у соседних атомов углерода и может быть получено при взаимодействии вещества Б с водным раствором гидрокарбоната калия.
На основании данных условия задания:
1) проведите необходимые вычисления (указывайте единицы измерения искомых физических величин) и установите молекулярную формулу органического вещества;
2) составьте возможную структурную формулу этого вещества, которая однозначно отражает порядок связи атомов в его молекуле;
3) напишите уравнение реакции получения вещества А из вещества Б при его взаимодействии с водным раствором гидрокарбоната калия.
Дано:
m(вещества А) = 44 г
V(CO2) = 36,4 л (н.у.)
m(H2O) = 11,25 г
m(K2CO3) = 17,25 г
n(CO2) = 36,4 л / 22,4 л/моль = 1,625 моль
n(H2O) = 11,25 г / 18 г/моль = 0,625 моль
n(K2CO3) = 17,25 г / 138 г/моль = 0,125 моль
n(C) = n(CO2) + n(C в K2CO3) = 1,625 + 0,125 = 1,75 моль
n(H) = 2·n(H2O) = 2·0,625 = 1,25 моль
n(K) = 2·n(K2CO3) = 2·0,125 = 0,25 моль
m(C) = 1,75 моль · 12 г/моль = 21 г
m(H) = 1,25 моль · 1 г/моль = 1,25 г
m(K) = 0,25 моль · 39 г/моль = 9,75 г
m(O) = 44 г — 21 г — 1,25 г — 9,75 г = 12 г
n(O) = 12 г / 16 г/моль = 0,75 моль
n(C) : n(H) : n(K) : n(O) = 1,75 : 1,25 : 0,25 : 0,75 = 7 : 5 : 1 : 3
Простейшая формула: C7H5KO3
Молекулярная формула: C7H5KO3
Структурная формула: 
Уравнение реакции: 
Вещество А содержит по массе 60,38% углерода, 8,81% азота, 20,13% кислорода (остальное – водород). Известно, что вещество А не содержит кратных связей углерод-углерод, имеет в своём составе только один третичный атом углерода и вступает в реакцию «серебряного зеркала».
На основании данных условия задания:
1) проведите необходимые вычисления (указывайте единицы измерения искомых физических величин) и установите молекулярную формулу органического вещества;
2) составьте возможную структурную формулу этого вещества, которая однозначно отражает порядок связи атомов в его молекуле;
3) напишите уравнение реакции вещества А с водным раствором гидроксида лития при нагревании.
Дано:
ω(C) = 60,38%
ω(N) = 8,81%
ω(O) = 20,13%
ω(H) = 100% — 60,38% — 8,81% — 20,13% = 10,68%
Примем массу вещества равной 100 г:
m(C) = 60,38 г
m(H) = 10,68 г
m(N) = 8,81 г
m(O) = 20,13 г
n(C) = 60,38 г / 12 г/моль = 5,032 моль
n(H) = 10,68 г / 1 г/моль = 10,68 моль
n(N) = 8,81 г / 14 г/моль = 0,629 моль
n(O) = 20,13 г / 16 г/моль = 1,258 моль
n(C) : n(H) : n(N) : n(O) = 5,032 : 10,68 : 0,629 : 1,258 = 8 : 17 : 1 : 2
Простейшая формула: C8H17NO2
Молекулярная формула: C8H17NO2
Структурная формула: 
Уравнение реакции: 
Вещество А содержит по массе 38,30% углерода, 17,02% кислорода, 41,49% калия (остальное – водород). Вещество А имеет только три заместителя. Известно, что все заместители в веществе А являются углеродсодержащими и находятся у нечётных атомов углерода. Известно также, что в результате реакции 1 моль вещества А с 3 моль бромметана образуется простой эфир.
На основании данных условия задания:
1) проведите необходимые вычисления (указывайте единицы измерения искомых физических величин) и установите молекулярную формулу органического вещества;
2) составьте возможную структурную формулу этого вещества, которая однозначно отражает порядок связи атомов в его молекуле;
3) напишите уравнение реакции 1 моль вещества А с 3 моль бромметана.
Дано:
ω(C) = 38,30%
ω(O) = 17,02%
ω(K) = 41,49%
ω(H) = 100% — 38,30% — 17,02% — 41,49% = 3,19%
Примем массу вещества равной 100 г:
m(C) = 38,30 г
m(H) = 3,19 г
m(O) = 17,02 г
m(K) = 41,49 г
n(C) = 38,30 г / 12 г/моль = 3,192 моль
n(H) = 3,19 г / 1 г/моль = 3,19 моль
n(O) = 17,02 г / 16 г/моль = 1,064 моль
n(K) = 41,49 г / 39 г/моль = 1,064 моль
n(C) : n(H) : n(O) : n(K) = 3,192 : 3,19 : 1,064 : 1,064 = 3 : 3 : 1 : 1
Простейшая формула: C3H3OK
Молекулярная формула: C9H9O3K3
Структурная формула: 
Уравнение реакции: 
Вещество А содержит по массе 23,08% углерода, 15,38% кислорода, 51,92% серебра, 6,73% азота (остальное – водород). Известно, что вещество А образуется при взаимодействии вещества Б с избытком аммиачного раствора оксида серебра(I).
На основании данных условия задания:
1) проведите необходимые вычисления (указывайте единицы измерения искомых физических величин) и установите молекулярную формулу органического вещества;
2) составьте возможную структурную формулу этого вещества, которая однозначно отражает порядок связи атомов в его молекуле;
3) напишите уравнение реакции вещества Б с избытком аммиачного раствора оксида серебра(I).
Дано:
ω(C) = 23,08%
ω(O) = 15,38%
ω(Ag) = 51,92%
ω(N) = 6,73%
ω(H) = 100% — 23,08% — 15,38% — 51,92% — 6,73% = 2,89%
Примем массу вещества равной 100 г:
m(C) = 23,08 г
m(H) = 2,89 г
m(N) = 6,73 г
m(O) = 15,38 г
m(Ag) = 51,92 г
n(C) = 23,08 г / 12 г/моль = 1,923 моль
n(H) = 2,89 г / 1 г/моль = 2,89 моль
n(N) = 6,73 г / 14 г/моль = 0,481 моль
n(O) = 15,38 г / 16 г/моль = 0,961 моль
n(Ag) = 51,92 г / 108 г/моль = 0,481 моль
n(C) : n(H) : n(N) : n(O) : n(Ag) = 1,923 : 2,89 : 0,481 : 0,961 : 0,481 = 4 : 6 : 1 : 2 : 1
Простейшая формула: C4H6NO2Ag
Молекулярная формула: C4H6NO2Ag
Структурная формула: 
Уравнение реакции: 
Вещество А – производное соединения природного происхождения – содержит по массе 53,47% углерода, 8,91% водорода, 23,76% кислорода (остальное – азот). Известно, что вещество А подвергается гидролизу в присутствии соляной кислоты. При этом образуются только одна соль и спирт разветвлённого строения, содержащие одинаковое количество атомов углерода.
На основании данных условия задания:
1) проведите необходимые вычисления (указывайте единицы измерения искомых физических величин) и установите молекулярную формулу органического вещества;
2) составьте возможную структурную формулу этого вещества, которая однозначно отражает порядок связи атомов в его молекуле;
3) напишите уравнение реакции гидролиза вещества А в присутствии соляной кислоты.
Дано:
ω(C) = 53,47%
ω(H) = 8,91%
ω(O) = 23,76%
ω(N) = 100% — 53,47% — 8,91% — 23,76% = 13,86%
Примем массу вещества равной 100 г:
m(C) = 53,47 г
m(H) = 8,91 г
m(N) = 13,86 г
m(O) = 23,76 г
n(C) = 53,47 г / 12 г/моль = 4,456 моль
n(H) = 8,91 г / 1 г/моль = 8,91 моль
n(N) = 13,86 г / 14 г/моль = 0,990 моль
n(O) = 23,76 г / 16 г/моль = 1,485 моль
n(C) : n(H) : n(N) : n(O) = 4,456 : 8,91 : 0,990 : 1,485 = 4,5 : 9 : 1 : 1,5 = 9 : 18 : 2 : 3
Простейшая формула: C9H18N2O3
Молекулярная формула: C9H18N2O3
Структурная формула: 
Уравнение реакции: 
При сгорании 36,15 г органического вещества А образуется 26,88 л (н.у.) углекислого газа, 10,8 г воды и 6,72 л (н.у.) хлороводорода. Известно, что 1 моль вещества А реагирует с 4 моль гидроксида натрия, взятого в виде водного раствора. При этом образуется соединение циклического строения, в состав которого входят кислородсодержащие функциональные группы, которые занимают 1,3,5-положение по отношению друг к другу.
На основании данных условия задания:
1) проведите необходимые вычисления (указывайте единицы измерения искомых физических величин) и установите молекулярную формулу органического вещества;
2) составьте возможную структурную формулу этого вещества, которая однозначно отражает порядок связи атомов в его молекуле;
3) напишите уравнение реакции 1 моль вещества А с 4 моль гидроксида натрия, взятого в виде водного раствора.
Дано:
m(вещества А) = 36,15 г
V(CO2) = 26,88 л (н.у.)
m(H2O) = 10,8 г
V(HCl) = 6,72 л (н.у.)
n(CO2) = 26,88 л / 22,4 л/моль = 1,2 моль
n(H2O) = 10,8 г / 18 г/моль = 0,6 моль
n(HCl) = 6,72 л / 22,4 л/моль = 0,3 моль
n(C) = n(CO2) = 1,2 моль
n(H) = 2·n(H2O) + n(HCl) = 2·0,6 + 0,3 = 1,5 моль
n(Cl) = n(HCl) = 0,3 моль
m(C) = 1,2 моль · 12 г/моль = 14,4 г
m(H) = 1,5 моль · 1 г/моль = 1,5 г
m(Cl) = 0,3 моль · 35,5 г/моль = 10,65 г
m(O) = 36,15 г — 14,4 г — 1,5 г — 10,65 г = 9,6 г
n(O) = 9,6 г / 16 г/моль = 0,6 моль
n(C) : n(H) : n(O) : n(Cl) = 1,2 : 1,5 : 0,6 : 0,3 = 4 : 5 : 2 : 1
Простейшая формула: C4H5O2Cl
Молекулярная формула: C8H10O4Cl2
Структурная формула: 
Уравнение реакции: 
Вещество А содержит по массе 54,9% углерода, 4,58% водорода, 31,37% кислорода (остальное – азот). Известно, что 1 моль вещества А реагирует с 2 моль гидроксида калия, взятого в виде водного раствора. Также известно, что вещество А содержит функциональные группы у нечётных атомов углерода.
На основании данных условия задания:
1) проведите необходимые вычисления (указывайте единицы измерения искомых физических величин) и установите молекулярную формулу органического вещества;
2) составьте возможную структурную формулу этого вещества, которая однозначно отражает порядок связи атомов в его молекуле;
3) напишите уравнение реакции 1 моль вещества А с 1 моль серной кислоты, взятой в виде разбавленного водного раствора.
Дано:
ω(C) = 54,9%
ω(H) = 4,58%
ω(O) = 31,37%
ω(N) = 100% — 54,9% — 4,58% — 31,37% = 9,15%
Примем массу вещества равной 100 г:
m(C) = 54,9 г
m(H) = 4,58 г
m(N) = 9,15 г
m(O) = 31,37 г
n(C) = 54,9 г / 12 г/моль = 4,575 моль
n(H) = 4,58 г / 1 г/моль = 4,58 моль
n(N) = 9,15 г / 14 г/моль = 0,654 моль
n(O) = 31,37 г / 16 г/моль = 1,961 моль
n(C) : n(H) : n(N) : n(O) = 4,575 : 4,58 : 0,654 : 1,961 = 7 : 7 : 1 : 3
Простейшая формула: C7H7NO3
Молекулярная формула: C7H7NO3
Структурная формула: 
Уравнение реакции: 
При сгорании 21,6 г органического вещества А образуется 10,752 л (н.у.) углекислого газа, 7,2 г воды и 1,792 л (н.у.) азота. Известно, что вещество А реагирует с избытком водного раствора гидроксида калия. При этом образуются три вещества, одно из которых вступает в реакцию «серебряного зеркала».
На основании данных условия задания:
1) проведите необходимые вычисления (указывайте единицы измерения искомых физических величин) и установите молекулярную формулу органического вещества;
2) составьте возможную структурную формулу этого вещества, которая однозначно отражает порядок связи атомов в его молекуле;
3) напишите уравнение реакции вещества А с избытком водного раствора гидроксида калия.
Дано:
m(вещества А) = 21,6 г
V(CO2) = 10,752 л (н.у.)
m(H2O) = 7,2 г
V(N2) = 1,792 л (н.у.)
n(CO2) = 10,752 л / 22,4 л/моль = 0,48 моль
n(H2O) = 7,2 г / 18 г/моль = 0,4 моль
n(N2) = 1,792 л / 22,4 л/моль = 0,08 моль
n(C) = n(CO2) = 0,48 моль
n(H) = 2·n(H2O) = 2·0,4 = 0,8 моль
n(N) = 2·n(N2) = 2·0,08 = 0,16 моль
m(C) = 0,48 моль · 12 г/моль = 5,76 г
m(H) = 0,8 моль · 1 г/моль = 0,8 г
m(N) = 0,16 моль · 14 г/моль = 2,24 г
m(O) = 21,6 г — 5,76 г — 0,8 г — 2,24 г = 12,8 г
n(O) = 12,8 г / 16 г/моль = 0,8 моль
n(C) : n(H) : n(N) : n(O) = 0,48 : 0,8 : 0,16 : 0,8 = 3 : 5 : 1 : 5
Простейшая формула: C3H5NO5
Молекулярная формула: C3H5NO5
Структурная формула: 
Уравнение реакции: 
Вещество А содержит по массе 18,99% углерода, 2,53% водорода, 17,72% азота (остальное – кислород). Известно, что вещество А имеет в своём составе четвертичный атом углерода и может быть получено при взаимодействии вещества Б с избытком азотной кислоты.
На основании данных условия задания:
1) проведите необходимые вычисления (указывайте единицы измерения искомых физических величин) и установите молекулярную формулу органического вещества;
2) составьте возможную структурную формулу этого вещества, которая однозначно отражает порядок связи атомов в его молекуле;
3) напишите уравнение реакции получения вещества А из вещества Б при его взаимодействии с избытком азотной кислоты.
Дано:
ω(C) = 18,99%
ω(H) = 2,53%
ω(N) = 17,72%
ω(O) = 100% — 18,99% — 2,53% — 17,72% = 60,76%
Примем массу вещества равной 100 г:
m(C) = 18,99 г
m(H) = 2,53 г
m(N) = 17,72 г
m(O) = 60,76 г
n(C) = 18,99 г / 12 г/моль = 1,583 моль
n(H) = 2,53 г / 1 г/моль = 2,53 моль
n(N) = 17,72 г / 14 г/моль = 1,266 моль
n(O) = 60,76 г / 16 г/моль = 3,798 моль
n(C) : n(H) : n(N) : n(O) = 1,583 : 2,53 : 1,266 : 3,798 = 5 : 8 : 4 : 12
Простейшая формула: C5H8N4O12
Молекулярная формула: C5H8N4O12
Структурная формула: 
Уравнение реакции: 
При сгорании 12,55 г органического вещества А образуется 6,72 л (н.у.) углекислого газа, 6,3 г воды, 1,12 л (н.у.) азота и 2,24 л (н.у.) хлороводорода. Известно, что 1 моль вещества А при нагревании реагирует с 2 моль гидроксида натрия, взятого в виде водного раствора; одним из продуктов этой реакции является газообразное углеродсодержащее соединение.
На основании данных условия задания:
1) проведите необходимые вычисления (указывайте единицы измерения искомых физических величин) и установите молекулярную формулу органического вещества;
2) составьте возможную структурную формулу этого вещества, которая однозначно отражает порядок связи атомов в его молекуле;
3) напишите уравнение реакции, протекающей при нагревании 1 моль вещества А с 2 моль гидроксида натрия, взятого в виде водного раствора.
Дано:
m(вещества А) = 12,55 г
V(CO2) = 6,72 л (н.у.)
m(H2O) = 6,3 г
V(N2) = 1,12 л (н.у.)
V(HCl) = 2,24 л (н.у.)
n(CO2) = 6,72 л / 22,4 л/моль = 0,3 моль
n(H2O) = 6,3 г / 18 г/моль = 0,35 моль
n(N2) = 1,12 л / 22,4 л/моль = 0,05 моль
n(HCl) = 2,24 л / 22,4 л/моль = 0,1 моль
n(C) = n(CO2) = 0,3 моль
n(H) = 2·n(H2O) + n(HCl) = 2·0,35 + 0,1 = 0,8 моль
n(N) = 2·n(N2) = 2·0,05 = 0,1 моль
n(Cl) = n(HCl) = 0,1 моль
m(C) = 0,3 моль · 12 г/моль = 3,6 г
m(H) = 0,8 моль · 1 г/моль = 0,8 г
m(N) = 0,1 моль · 14 г/моль = 1,4 г
m(Cl) = 0,1 моль · 35,5 г/моль = 3,55 г
m(O) = 12,55 г — 3,6 г — 0,8 г — 1,4 г — 3,55 г = 3,2 г
n(O) = 3,2 г / 16 г/моль = 0,2 моль
n(C) : n(H) : n(N) : n(O) : n(Cl) = 0,3 : 0,8 : 0,1 : 0,2 : 0,1 = 3 : 8 : 1 : 2 : 1
Простейшая формула: C3H8NO2Cl
Молекулярная формула: C3H8NO2Cl
Структурная формула: 
Уравнение реакции: 
При сгорании органического вещества А образовалось 4,48 л (н.у.) углекислого газа, 0,9 г воды и 16,2 г бромоводорода. Известно, что вещество А образуется при бромировании углеводорода, имеющего симметричное строение, одна молекула которого присоединяет только одну молекулу воды.
На основании данных условия задания:
1) проведите необходимые вычисления (указывайте единицы измерения искомых физических величин) и установите молекулярную формулу органического вещества;
2) составьте возможную структурную формулу этого вещества, которая однозначно отражает порядок связи атомов в его молекуле;
3) напишите уравнение реакции получения вещества А при взаимодействии углеводорода с бромом.
Дано:
V(CO2) = 4,48 л (н.у.)
m(H2O) = 0,9 г
m(HBr) = 16,2 г
n(CO2) = 4,48 л / 22,4 л/моль = 0,2 моль
n(H2O) = 0,9 г / 18 г/моль = 0,05 моль
n(HBr) = 16,2 г / 81 г/моль = 0,2 моль
n(C) = n(CO2) = 0,2 моль
n(H) = 2·n(H2O) + n(HBr) = 2·0,05 + 0,2 = 0,3 моль
n(Br) = n(HBr) = 0,2 моль
n(C) : n(H) : n(Br) = 0,2 : 0,3 : 0,2 = 2 : 3 : 2
Простейшая формула: C2H3Br2
Молекулярная формула: C4H6Br4
Структурная формула: 
Уравнение реакции: 
При сгорании органического вещества А образовалось 2,24 л (н.у.) углекислого газа, 2,24 л (н.у.) бромоводорода и 0,45 г воды. Известно, что вещество А образуется при бромировании углеводорода симметричного строения, все атомы которого лежат в одной плоскости.
На основании данных условия задания:
1) проведите необходимые вычисления (указывайте единицы измерения искомых физических величин) и установите молекулярную формулу органического вещества;
2) составьте возможную структурную формулу этого вещества, которая однозначно отражает порядок связи атомов в его молекуле;
3) напишите уравнение реакции получения вещества А при взаимодействии углеводорода с бромом.
Дано:
V(CO2) = 2,24 л (н.у.)
V(HBr) = 2,24 л (н.у.)
m(H2O) = 0,45 г
n(CO2) = 2,24 л / 22,4 л/моль = 0,1 моль
n(HBr) = 2,24 л / 22,4 л/моль = 0,1 моль
n(H2O) = 0,45 г / 18 г/моль = 0,025 моль
n(C) = n(CO2) = 0,1 моль
n(H) = 2·n(H2O) + n(HBr) = 2·0,025 + 0,1 = 0,15 моль
n(Br) = n(HBr) = 0,1 моль
n(C) : n(H) : n(Br) = 0,1 : 0,15 : 0,1 = 2 : 3 : 2
Простейшая формула: C2H3Br2
Молекулярная формула: C4H6Br4
Структурная формула: 
Уравнение реакции: 
При сгорании 1,52 г органического вещества А образовалось 1,568 л (н.у.) углекислого газа, 1,06 г карбоната натрия и 0,9 г воды. Известно, что вещество А реагирует с 2-метил-2-хлорпропаном с образованием алкина.
На основании данных условия задания:
1) проведите необходимые вычисления (указывайте единицы измерения искомых физических величин) и установите молекулярную формулу органического вещества;
2) составьте возможную структурную формулу этого вещества, которая однозначно отражает порядок связи атомов в его молекуле;
3) напишите уравнение реакции вещества А с 2-метил-2-хлорпропаном.
Дано:
m(вещества А) = 1,52 г
V(CO2) = 1,568 л (н.у.)
m(Na2CO3) = 1,06 г
m(H2O) = 0,9 г
n(CO2) = 1,568 л / 22,4 л/моль = 0,07 моль
n(Na2CO3) = 1,06 г / 106 г/моль = 0,01 моль
n(H2O) = 0,9 г / 18 г/моль = 0,05 моль
n(C) = n(CO2) + n(C в Na2CO3) = 0,07 + 0,01 = 0,08 моль
n(H) = 2·n(H2O) = 2·0,05 = 0,1 моль
n(Na) = 2·n(Na2CO3) = 2·0,01 = 0,02 моль
m(C) = 0,08 моль · 12 г/моль = 0,96 г
m(H) = 0,1 моль · 1 г/моль = 0,1 г
m(Na) = 0,02 моль · 23 г/моль = 0,46 г
Проверка: 0,96 + 0,1 + 0,46 = 1,52 г
n(C) : n(H) : n(Na) = 0,08 : 0,1 : 0,02 = 4 : 5 : 1
Простейшая формула: C4H5Na
Молекулярная формула: C4H5Na
Структурная формула:
CH3-CH2-C≡CNa
Уравнение реакции:
CH3-CH2-C≡CNa + (CH3)3C-Cl → CH3-CH2-C≡C-C(CH3)3 + NaCl
Вещество A содержит по массе 58,82% углерода, 9,8% водорода и 31,38% кислорода. Известно, что вещество А реагирует с водным раствором аммиака без нагревания, а его молекула содержит четвертичный атом углерода.
На основании данных условия задания:
1) проведите необходимые вычисления (указывайте единицы измерения искомых физических величин) и установите молекулярную формулу органического вещества;
2) составьте возможную структурную формулу этого вещества, которая однозначно отражает порядок связи атомов в его молекуле;
3) напишите уравнение реакции вещества А с водным раствором аммиака без нагревания.
Дано:
ω(C) = 58,82%
ω(H) = 9,8%
ω(O) = 31,38%
Примем массу вещества равной 100 г:
m(C) = 58,82 г
m(H) = 9,8 г
m(O) = 31,38 г
n(C) = 58,82 г / 12 г/моль = 4,902 моль
n(H) = 9,8 г / 1 г/моль = 9,8 моль
n(O) = 31,38 г / 16 г/моль = 1,961 моль
n(C) : n(H) : n(O) = 4,902 : 9,8 : 1,961
Делим на наименьшее (1,961):
n(C) : n(H) : n(O) = 2,5 : 5 : 1 = 5 : 10 : 2
Простейшая формула: C5H10O2
Молекулярная формула: C5H10O2
Структурная формула:

Уравнение реакции:

При сжигании образца органического вещества А массой 3,75 г получили 5,04 л углекислого газа (н.у.) и 2,25 г воды. Данное вещество не обесцвечивает бромную воду и вступает в реакцию с раствором гидроксида натрия при нагревании; один из продуктов этой реакции имеет состав C7H5O2Na.
На основании данных условия задания:
1) проведите необходимые вычисления (указывайте единицы измерения искомых физических величин) и установите молекулярную формулу органического вещества;
2) составьте возможную структурную формулу этого вещества, которая однозначно отражает порядок связи атомов в его молекуле;
3) напишите уравнение реакции данного вещества с раствором гидроксида натрия при нагревании.
Дано:
m(вещества А) = 3,75 г
V(CO2) = 5,04 л (н.у.)
m(H2O) = 2,25 г
n(CO2) = 5,04 л / 22,4 л/моль = 0,225 моль
n(H2O) = 2,25 г / 18 г/моль = 0,125 моль
n(C) = n(CO2) = 0,225 моль
n(H) = 2·n(H2O) = 2·0,125 = 0,25 моль
m(C) = 0,225 моль · 12 г/моль = 2,7 г
m(H) = 0,25 моль · 1 г/моль = 0,25 г
m(O) = 3,75 г — 2,7 г — 0,25 г = 0,8 г
n(O) = 0,8 г / 16 г/моль = 0,05 моль
n(C) : n(H) : n(O) = 0,225 : 0,25 : 0,05 = 4,5 : 5 : 1 = 9 : 10 : 2
Простейшая формула: C9H10O2
Молекулярная формула: C9H10O2
Структурная формула:

Уравнение реакции:

При сжигании образца органического вещества А массой 7,5 г получено 10,08 л углекислого газа (н.у.) и 4,5 г воды. Данное вещество не обесцвечивает бромную воду и вступает в реакцию с раствором гидроксида калия при нагревании; один из продуктов этой реакции имеет состав C7H5O2K.
На основании данных условия задания:
1) проведите необходимые вычисления (указывайте единицы измерения искомых физических величин) и установите молекулярную формулу органического вещества;
2) составьте возможную структурную формулу этого вещества, которая однозначно отражает порядок связи атомов в его молекуле;
3) напишите уравнение реакции данного вещества с раствором гидроксида калия при нагревании.
Дано:
m(вещества А) = 7,5 г
V(CO2) = 10,08 л (н.у.)
m(H2O) = 4,5 г
n(CO2) = 10,08 л / 22,4 л/моль = 0,45 моль
n(H2O) = 4,5 г / 18 г/моль = 0,25 моль
n(C) = n(CO2) = 0,45 моль
n(H) = 2·n(H2O) = 2·0,25 = 0,5 моль
m(C) = 0,45 моль · 12 г/моль = 5,4 г
m(H) = 0,5 моль · 1 г/моль = 0,5 г
m(O) = 7,5 г — 5,4 г — 0,5 г = 1,6 г
n(O) = 1,6 г / 16 г/моль = 0,1 моль
n(C) : n(H) : n(O) = 0,45 : 0,5 : 0,1 = 4,5 : 5 : 1 = 9 : 10 : 2
Простейшая формула: C9H10O2
Молекулярная формула: C9H10O2
Структурная формула:

Уравнение реакции:

При сгорании 3,22 г органического вещества А образовалось 3,136 л (н.у.) углекислого газа, 0,72 г воды и 896 мл (н.у.) хлороводорода. Известно, что вещество А окисляется водным раствором перманганата калия, а в его молекуле три заместителя располагаются у нечётных атомов углерода.
На основании данных условия задания:
1) проведите необходимые вычисления (указывайте единицы измерения искомых физических величин) и установите молекулярную формулу органического вещества;
2) составьте возможную структурную формулу этого вещества, которая однозначно отражает порядок связи атомов в его молекуле;
3) напишите уравнение реакции окисления вещества А водным раствором перманганата калия.
Дано:
m(вещества А) = 3,22 г
V(CO2) = 3,136 л (н.у.)
m(H2O) = 0,72 г
V(HCl) = 0,896 л (н.у.)
n(CO2) = 3,136 л / 22,4 л/моль = 0,14 моль
n(H2O) = 0,72 г / 18 г/моль = 0,04 моль
n(HCl) = 0,896 л / 22,4 л/моль = 0,04 моль
n(C) = n(CO2) = 0,14 моль
n(H) = 2·n(H2O) + n(HCl) = 2·0,04 + 0,04 = 0,12 моль
n(Cl) = n(HCl) = 0,04 моль
m(C) = 0,14 моль · 12 г/моль = 1,68 г
m(H) = 0,12 моль · 1 г/моль = 0,12 г
m(Cl) = 0,04 моль · 35,5 г/моль = 1,42 г
Проверка: 1,68 + 0,12 + 1,42 = 3,22 г
n(C) : n(H) : n(Cl) = 0,14 : 0,12 : 0,04 = 7 : 6 : 2
Простейшая формула: C7H6Cl2
Молекулярная формула: C7H6Cl2
Структурная формула:

Уравнение реакции:

При сгорании органического вещества А массой 0,61 г получили 896 мл (н.у.) углекислого газа и 450 мг воды. Известно, что вещество А можно получить при взаимодействии натриевой соли Б с хлорэтаном.
На основании данных условия задания:
1) проведите необходимые вычисления (указывайте единицы измерения искомых физических величин) и установите молекулярную формулу органического вещества;
2) составьте возможную структурную формулу этого вещества, которая однозначно отражает порядок связи атомов в его молекуле;
3) напишите уравнение реакции получения вещества А взаимодействием натриевой соли Б с хлорэтаном.
Дано:
m(вещества А) = 0,61 г
V(CO2) = 0,896 л (н.у.)
m(H2O) = 0,45 г
n(CO2) = 0,896 л / 22,4 л/моль = 0,04 моль
n(H2O) = 0,45 г / 18 г/моль = 0,025 моль
n(C) = n(CO2) = 0,04 моль
n(H) = 2·n(H2O) = 2·0,025 = 0,05 моль
m(C) = 0,04 моль · 12 г/моль = 0,48 г
m(H) = 0,05 моль · 1 г/моль = 0,05 г
m(O) = 0,61 г — 0,48 г — 0,05 г = 0,08 г
n(O) = 0,08 г / 16 г/моль = 0,005 моль
n(C) : n(H) : n(O) = 0,04 : 0,05 : 0,005 = 8 : 10 : 1
Простейшая формула: C8H10O
Молекулярная формула: C8H10O
Структурная формула:

Уравнение реакции:

При сгорании 51,4 г органического вещества получили 105,6 г углекислого газа, 14,6 г хлороводорода и 14,4 г воды. Известно, что функциональные группы в молекуле этого вещества находятся у соседних атомов углерода.
На основании данных условия задания:
1) проведите необходимые вычисления (указывайте единицы измерения искомых физических величин) и установите молекулярную формулу органического вещества;
2) составьте возможную структурную формулу этого вещества, которая однозначно отражает порядок связи атомов в его молекуле;
3) напишите уравнение реакции этого вещества с избытком водного раствора гидроксида натрия без нагревания.
Дано:
m(вещества А) = 51,4 г
m(CO2) = 105,6 г
m(HCl) = 14,6 г
m(H2O) = 14,4 г
n(CO2) = 105,6 г / 44 г/моль = 2,4 моль
n(HCl) = 14,6 г / 36,5 г/моль = 0,4 моль
n(H2O) = 14,4 г / 18 г/моль = 0,8 моль
n(C) = n(CO2) = 2,4 моль
n(H) = 2·n(H2O) + n(HCl) = 2·0,8 + 0,4 = 2 моль
n(Cl) = n(HCl) = 0,4 моль
m(C) = 2,4 моль · 12 г/моль = 28,8 г
m(H) = 2 моль · 1 г/моль = 2 г
m(Cl) = 0,4 моль · 35,5 г/моль = 14,2 г
m(O) = 51,4 г — 28,8 г — 2 г — 14,2 г = 6,4 г
n(O) = 6,4 г / 16 г/моль = 0,4 моль
n(C) : n(H) : n(O) : n(Cl) = 2,4 : 2 : 0,4 : 0,4 = 6 : 5 : 1 : 1
Простейшая формула: C6H5OCl
Молекулярная формула: C6H5OCl
Структурная формула:

Уравнение реакции:

При сгорании 25,7 г органического вещества получили 26,88 л (н.у.) углекислого газа, 7,3 г хлороводорода и 7,2 г воды. Известно, что функциональные группы в молекуле этого вещества максимально удалены друг от друга.
На основании данных условия задания:
1) проведите необходимые вычисления (указывайте единицы измерения искомых физических величин) и установите молекулярную формулу органического вещества;
2) составьте возможную структурную формулу этого вещества, которая однозначно отражает порядок связи атомов в его молекуле;
3) напишите уравнение реакции этого вещества с избытком водного раствора гидроксида калия без нагревания.
Дано:
m(вещества А) = 25,7 г
V(CO2) = 26,88 л (н.у.)
m(HCl) = 7,3 г
m(H2O) = 7,2 г
n(CO2) = 26,88 л / 22,4 л/моль = 1,2 моль
n(HCl) = 7,3 г / 36,5 г/моль = 0,2 моль
n(H2O) = 7,2 г / 18 г/моль = 0,4 моль
n(C) = n(CO2) = 1,2 моль
n(H) = 2·n(H2O) + n(HCl) = 2·0,4 + 0,2 = 1 моль
n(Cl) = n(HCl) = 0,2 моль
m(C) = 1,2 моль · 12 г/моль = 14,4 г
m(H) = 1 моль · 1 г/моль = 1 г
m(Cl) = 0,2 моль · 35,5 г/моль = 7,1 г
m(O) = 25,7 г — 14,4 г — 1 г — 7,1 г = 3,2 г
n(O) = 3,2 г / 16 г/моль = 0,2 моль
n(C) : n(H) : n(O) : n(Cl) = 1,2 : 1 : 0,2 : 0,2 = 6 : 5 : 1 : 1
Простейшая формула: C6H5OCl
Молекулярная формула: C6H5OCl
Структурная формула:

Уравнение реакции:

Органическое вещество природного происхождения содержит по массе 41,09% углерода, 19,18% азота, 32,88% кислорода и водород. При гидролизе данного вещества в присутствии гидроксида натрия образуются две соли.
На основании данных условия задания:
1) проведите необходимые вычисления (указывайте единицы измерения искомых физических величин) и установите молекулярную формулу органического вещества;
2) составьте возможную структурную формулу этого вещества, которая однозначно отражает порядок связи атомов в его молекуле;
3) напишите уравнение реакции гидролиза органического вещества в присутствии гидроксида натрия.
Дано:
ω(C) = 41,09%
ω(N) = 19,18%
ω(O) = 32,88%
ω(H) = 100% — 41,09% — 19,18% — 32,88% = 6,85%
Примем массу вещества равной 100 г:
m(C) = 41,09 г
m(H) = 6,85 г
m(N) = 19,18 г
m(O) = 32,88 г
n(C) = 41,09 г / 12 г/моль = 3,424 моль
n(H) = 6,85 г / 1 г/моль = 6,85 моль
n(N) = 19,18 г / 14 г/моль = 1,370 моль
n(O) = 32,88 г / 16 г/моль = 2,055 моль
n(C) : n(H) : n(N) : n(O) = 3,424 : 6,85 : 1,370 : 2,055 = 2,5 : 5 : 1 : 1,5 = 5 : 10 : 2 : 3
Простейшая формула: C5H10N2O3
Молекулярная формула: C5H10N2O3
Структурная формула:

Уравнение реакции:

Вещество А содержит 45,93% углерода, 2,39% водорода и 51,68% серебра по массе и образуется при взаимодействии углеводорода Б с избытком гидроксида диамминсеребра(I). Углеводород Б может присоединить только одну молекулу воды.
На основании данных условия задачи:
1) проведите необходимые вычисления и установите молекулярную формулу углеводорода Б;
2) составьте структурную формулу углеводорода Б, которая однозначно отражает порядок связи атомов в его молекуле;
3) напишите уравнение гидратации углеводорода Б.
Дано:
ω(C) = 45,93%
ω(H) = 2,39%
ω(Ag) = 51,68%
ω(O) = 100% — 45,93% — 2,39% — 51,68% = 0%
Примем массу вещества А равной 100 г:
m(C) = 45,93 г
m(H) = 2,39 г
m(Ag) = 51,68 г
n(C) = 45,93 г / 12 г/моль = 3,828 моль
n(H) = 2,39 г / 1 г/моль = 2,39 моль
n(Ag) = 51,68 г / 108 г/моль = 0,479 моль
n(C) : n(H) : n(Ag) = 3,828 : 2,39 : 0,479 = 8 : 5 : 1
Формула вещества А: C8H5Ag
Вещество Б (углеводород): C8H6
Молекулярная формула углеводорода Б: C8H6
Структурная формула углеводорода Б:
C6H5-C≡CH
Уравнение реакции гидратации:
C6H5-C≡CH + H2O → C6H5-CO-CH3
Вещество А содержит по массе 19,25% углерода, 7,49% азота, 17,11% серы, 51,34% кислорода и водород. Вещество А образуется при действии избытка разбавленной серной кислоты на натриевую соль Б.
На основании данных условия задания:
1) проведите необходимые вычисления (указывайте единицы измерения искомых физических величин) и установите молекулярную формулу органического вещества А;
2) составьте возможную структурную формулу этого вещества A, которая однозначно отражает порядок связи атомов в его молекуле;
3) напишите уравнение реакции получения вещества А при взаимодействии натриевой соли Б с серной кислотой.
Дано:
ω(C) = 19,25%
ω(N) = 7,49%
ω(S) = 17,11%
ω(O) = 51,34%
ω(H) = 100% — 19,25% — 7,49% — 17,11% — 51,34% = 4,81%
Примем массу вещества А равной 100 г:
m(C) = 19,25 г
m(H) = 4,81 г
m(N) = 7,49 г
m(S) = 17,11 г
m(O) = 51,34 г
n(C) = 19,25 г / 12 г/моль = 1,604 моль
n(H) = 4,81 г / 1 г/моль = 4,81 моль
n(N) = 7,49 г / 14 г/моль = 0,535 моль
n(S) = 17,11 г / 32 г/моль = 0,535 моль
n(O) = 51,34 г / 16 г/моль = 3,209 моль
n(C) : n(H) : n(N) : n(S) : n(O) = 1,604 : 4,81 : 0,535 : 0,535 : 3,209 = 3 : 9 : 1 : 1 : 6
Молекулярная формула вещества А: C3H9NSO6
Структурная формула вещества A:

Уравнение реакции:

При сгорании 27,5 г органического вещества получили 66 г углекислого газа и 13,5 г воды. Известно, что функциональные группы в молекуле этого вещества максимально удалены друг от друга.
На основании данных условия задания:
1) проведите необходимые вычисления (указывайте единицы измерения искомых физических величин) и установите молекулярную формулу органического вещества;
2) составьте возможную структурную формулу этого вещества, которая однозначно отражает порядок связи атомов в его молекуле;
3) напишите уравнение реакции этого вещества с избытком водного раствора гидроксида калия.
Дано:
m(вещества А) = 27,5 г
m(CO2) = 66 г
m(H2O) = 13,5 г
n(CO2) = 66 г / 44 г/моль = 1,5 моль
n(H2O) = 13,5 г / 18 г/моль = 0,75 моль
n(C) = n(CO2) = 1,5 моль
n(H) = 2·n(H2O) = 2·0,75 = 1,5 моль
m(C) = 1,5 моль · 12 г/моль = 18 г
m(H) = 1,5 моль · 1 г/моль = 1,5 г
m(O) = 27,5 г — 18 г — 1,5 г = 8 г
n(O) = 8 г / 16 г/моль = 0,5 моль
n(C) : n(H) : n(O) = 1,5 : 1,5 : 0,5 = 3 : 3 : 1
Простейшая формула: C3H3O
Молекулярная формула: C6H6O2
Структурная формула:

Уравнение реакции:

Некоторый углеводород нециклического строения содержит 85,71% углерода по массе. Молярная масса этого углеводорода в 4,2 раза больше молярной массы фтороводорода. Известно, что при окислении этого углеводорода сернокислым раствором перманганата калия образуется только одно органическое соединение – ацетон.
На основании данных условия задания:
1) проведите необходимые вычисления (указывайте единицы измерения искомых физических величин) и установите молекулярную формулу органического вещества;
2) составьте возможную структурную формулу этого вещества, которая однозначно отражает порядок связи атомов в его молекуле;
3) напишите уравнение реакции гидратации этого углеводорода.
Дано:
ω(C) = 85,71%
M(углеводорода) = 4,2 · M(HF)
ω(H) = 100% — 85,71% = 14,29%
M(HF) = 20 г/моль
M(углеводорода) = 4,2 · 20 = 84 г/моль
Примем массу вещества равной 84 г:
m(C) = 84 г · 0,8571 = 72 г
m(H) = 84 г · 0,1429 = 12 г
n(C) = 72 г / 12 г/моль = 6 моль
n(H) = 12 г / 1 г/моль = 12 моль
n(C) : n(H) = 6 : 12 = 1 : 2
Простейшая формула: CH2
Молекулярная формула: C6H12
Структурная формула:

Уравнение реакции гидратации:

При сжигании образца органического вещества А массой 8,1 г получили 23,1 г углекислого газа и 5,4 г воды. Известно, что вещество А не реагирует с натрием и может быть получено взаимодействием натриевого производного вещества Б с бромметаном.
На основании данных условия задания:
1) проведите необходимые вычисления (указывайте единицы измерения искомых физических величин) и установите молекулярную формулу органического вещества;
2) составьте возможную структурную формулу этого вещества, которая однозначно отражает порядок связи атомов в его молекуле;
3) напишите уравнение реакции получения вещества А взаимодействием натриевого производного вещества Б с бромметаном.
Дано:
m(вещества А) = 8,1 г
m(CO2) = 23,1 г
m(H2O) = 5,4 г
n(CO2) = 23,1 г / 44 г/моль = 0,525 моль
n(H2O) = 5,4 г / 18 г/моль = 0,3 моль
n(C) = n(CO2) = 0,525 моль
n(H) = 2·n(H2O) = 2·0,3 = 0,6 моль
m(C) = 0,525 моль · 12 г/моль = 6,3 г
m(H) = 0,6 моль · 1 г/моль = 0,6 г
m(O) = 8,1 г — 6,3 г — 0,6 г = 1,2 г
n(O) = 1,2 г / 16 г/моль = 0,075 моль
n(C) : n(H) : n(O) = 0,525 : 0,6 : 0,075 = 7 : 8 : 1
Простейшая формула: C7H8O
Молекулярная формула: C7H8O
Структурная формула:

Уравнение реакции:

При сгорании 6,7 г органического вещества А получили 8,96 л (н.у.) углекислого газа и 2,7 г воды. Известно, что вещество А не вступает в реакцию гидрохлорирования, а его молекула содержит два заместителя, которые максимально удалены друг от друга. Известно также, что вещество А может быть получено гидролизом вещества Б в присутствии гидроксида натрия. Молекула вещества Б содержит четыре атома хлора.
На основании данных условия задания:
1) проведите необходимые вычисления (указывайте единицы измерения искомых физических величин) и установите молекулярную формулу органического вещества А;
2) составьте возможную структурную формулу этого вещества, которая однозначно отражает порядок связи атомов в его молекуле;
3) напишите уравнение реакции получения вещества А гидролизом вещества Б в присутствии гидроксида натрия.
Дано:
m(вещества А) = 6,7 г
V(CO2) = 8,96 л (н.у.)
m(H2O) = 2,7 г
n(CO2) = 8,96 л / 22,4 л/моль = 0,4 моль
n(H2O) = 2,7 г / 18 г/моль = 0,15 моль
n(C) = n(CO2) = 0,4 моль
n(H) = 2·n(H2O) = 2·0,15 = 0,3 моль
m(C) = 0,4 моль · 12 г/моль = 4,8 г
m(H) = 0,3 моль · 1 г/моль = 0,3 г
m(O) = 6,7 г — 4,8 г — 0,3 г = 1,6 г
n(O) = 1,6 г / 16 г/моль = 0,1 моль
n(C) : n(H) : n(O) = 0,4 : 0,3 : 0,1 = 4 : 3 : 1
Простейшая формула: C4H3O
Молекулярная формула: C8H6O2
Структурная формула:

Уравнение реакции:

При сгорании 40,95 г органического вещества получается 77 г углекислого газа, 3,92 л азота (н.у.) и 34,65 г воды. При нагревании с соляной кислотой данное вещество подвергается гидролизу, продуктами которого являются производное соединения природного происхождения состава С3H8NО2Cl и спирт, образующийся в результате брожения глюкозы.
На основании данных условия задания:
1) проведите необходимые вычисления (указывайте единицы измерения искомых физических величин) и установите молекулярную формулу органического вещества А;
2) составьте возможную структурную формулу этого вещества, которая однозначно отражает порядок связи атомов в его молекуле;
3) напишите уравнение реакции гидролиза исходного вещества в присутствии соляной кислоты.
Дано:
m(вещества А) = 40,95 г
m(CO2) = 77 г
V(N2) = 3,92 л (н.у.)
m(H2O) = 34,65 г
n(CO2) = 77 г / 44 г/моль = 1,75 моль
n(N2) = 3,92 л / 22,4 л/моль = 0,175 моль
n(H2O) = 34,65 г / 18 г/моль = 1,925 моль
n(C) = n(CO2) = 1,75 моль
n(H) = 2·n(H2O) = 2·1,925 = 3,85 моль
n(N) = 2·n(N2) = 2·0,175 = 0,35 моль
m(C) = 1,75 моль · 12 г/моль = 21 г
m(H) = 3,85 моль · 1 г/моль = 3,85 г
m(N) = 0,35 моль · 14 г/моль = 4,9 г
m(O) = 40,95 г — 21 г — 3,85 г — 4,9 г = 11,2 г
n(O) = 11,2 г / 16 г/моль = 0,7 моль
n(C) : n(H) : n(N) : n(O) = 1,75 : 3,85 : 0,35 : 0,7 = 5 : 11 : 1 : 2
Простейшая формула: C5H11NO2
Молекулярная формула: C5H11NO2
Структурная формула:

Уравнение реакции:

При сгорании 36,6 г органического вещества А образуется 31,36 л (н.у.) углекислого газа, 9 г воды и 2,24 л (н.у.) азота. Известно, что вещество А реагирует с избытком водного раствора гидроксида калия. При этом образуются три соли, одна из которых имеет циклическое строение и содержит кислородсодержащие функциональные группы, которые занимают 1,4-положение по отношению друг к другу.
На основании данных условия задания:
1) проведите необходимые вычисления (указывайте единицы измерения искомых физических величин) и установите молекулярную формулу органического вещества А;
2) составьте возможную структурную формулу этого вещества, которая однозначно отражает порядок связи атомов в его молекуле;
3) напишите уравнение реакции вещества А с избытком водного раствора гидроксида калия.
Дано:
m(вещества А) = 36,6 г
V(CO2) = 31,36 л (н.у.)
m(H2O) = 9 г
V(N2) = 2,24 л (н.у.)
n(CO2) = 31,36 л / 22,4 л/моль = 1,4 моль
n(H2O) = 9 г / 18 г/моль = 0,5 моль
n(N2) = 2,24 л / 22,4 л/моль = 0,1 моль
n(C) = n(CO2) = 1,4 моль
n(H) = 2·n(H2O) = 2·0,5 = 1 моль
n(N) = 2·n(N2) = 2·0,1 = 0,2 моль
m(C) = 1,4 моль · 12 г/моль = 16,8 г
m(H) = 1 моль · 1 г/моль = 1 г
m(N) = 0,2 моль · 14 г/моль = 2,8 г
m(O) = 36,6 г — 16,8 г — 1 г — 2,8 г = 16 г
n(O) = 16 г / 16 г/моль = 1 моль
n(C) : n(H) : n(N) : n(O) = 1,4 : 1 : 0,2 : 1 = 7 : 5 : 1 : 5
Простейшая формула: C7H5NO5
Молекулярная формула: C7H5NO5
Структурная формула:

Уравнение реакции:

При сгорании 2,04 г органического вещества А образуется 2,24 л (н.у.) углекислого газа и 1,8 г воды. Известно, что вещество А не подвергается гидролизу, не взаимодействует с водным раствором гидрокарбоната натрия, а его молекула содержит только один четвертичный атом углерода.
На основании данных условия задания:
1) проведите необходимые вычисления (указывайте единицы измерения искомых физических величин) и установите молекулярную формулу органического вещества А;
2) составьте возможную структурную формулу этого вещества, которая однозначно отражает порядок связи атомов в его молекуле;
3) напишите уравнение реакции вещества А с аммиачным раствором оксида серебра(I).
Дано:
m(вещества А) = 2,04 г
V(CO2) = 2,24 л (н.у.)
m(H2O) = 1,8 г
n(CO2) = 2,24 л / 22,4 л/моль = 0,1 моль
n(H2O) = 1,8 г / 18 г/моль = 0,1 моль
n(C) = n(CO2) = 0,1 моль
n(H) = 2·n(H2O) = 2·0,1 = 0,2 моль
m(C) = 0,1 моль · 12 г/моль = 1,2 г
m(H) = 0,2 моль · 1 г/моль = 0,2 г
m(O) = 2,04 г — 1,2 г — 0,2 г = 0,64 г
n(O) = 0,64 г / 16 г/моль = 0,04 моль
n(C) : n(H) : n(O) = 0,1 : 0,2 : 0,04 = 2,5 : 5 : 1 = 5 : 10 : 2
Простейшая формула: C5H10O2
Молекулярная формула: C5H10O2
Структурная формула:

Уравнение реакции:

Органическое вещество, массовая доля водорода в котором равна 6,85%, кислорода – 43,84%, при нагревании реагирует с водным раствором гидроксида калия, образуя этанол и соль органической кислоты.
На основании данных условия задания:
1) проведите необходимые вычисления (указывайте единицы измерения искомых физических величин) и установите молекулярную формулу органического вещества А;
2) составьте возможную структурную формулу этого вещества, которая однозначно отражает порядок связи атомов в его молекуле;
3) напишите уравнение реакции исходного вещества с водным раствором гидроксида калия.
Дано:
ω(H) = 6,85%
ω(O) = 43,84%
ω(C) = 100% — 6,85% — 43,84% = 49,31%
Примем массу вещества равной 100 г:
m(C) = 49,31 г
m(H) = 6,85 г
m(O) = 43,84 г
n(C) = 49,31 г / 12 г/моль = 4,109 моль
n(H) = 6,85 г / 1 г/моль = 6,85 моль
n(O) = 43,84 г / 16 г/моль = 2,740 моль
n(C) : n(H) : n(O) = 4,109 : 6,85 : 2,740 = 1,5 : 2,5 : 1 = 3 : 5 : 2
Простейшая формула: C3H5O2
Молекулярная формула: C6H10O4
Структурная формула:

Уравнение реакции:

При сгорании 34,8 г органического вещества А получили 19,8 г углекислого газа, 2,7 г воды и 24,3 г бромоводорода. Известно, что данное вещество образуется при присоединении брома к соответствующему органическому соединению Б.
На основании данных условия задания:
1) проведите необходимые вычисления (указывайте единицы измерения искомых физических величин) и установите молекулярную формулу органического вещества А;
2) составьте возможную структурную формулу этого вещества, которая однозначно отражает порядок связи атомов в его молекуле;
3) напишите уравнение реакции получения вещества А бромированием соединения Б.
Дано:
m(вещества А) = 34,8 г
m(CO2) = 19,8 г
m(H2O) = 2,7 г
m(HBr) = 24,3 г
n(CO2) = 19,8 г / 44 г/моль = 0,45 моль
n(H2O) = 2,7 г / 18 г/моль = 0,15 моль
n(HBr) = 24,3 г / 81 г/моль = 0,3 моль
n(C) = n(CO2) = 0,45 моль
n(H) = 2·n(H2O) + n(HBr) = 2·0,15 + 0,3 = 0,6 моль
n(Br) = n(HBr) = 0,3 моль
m(C) = 0,45 моль · 12 г/моль = 5,4 г
m(H) = 0,6 моль · 1 г/моль = 0,6 г
m(Br) = 0,3 моль · 80 г/моль = 24 г
m(O) = 34,8 г — 5,4 г — 0,6 г — 24 г = 4,8 г
n(O) = 4,8 г / 16 г/моль = 0,3 моль
n(C) : n(H) : n(Br) : n(O) = 0,45 : 0,6 : 0,3 : 0,3 = 3 : 4 : 2 : 2
Простейшая формула: C3H4Br2O2
Молекулярная формула: C3H4Br2O2
Структурная формула:

Уравнение реакции:

При сгорании 35,1 г органического вещества получили 33,6 л (н.у.) углекислого газа, 3,36 л (н.у.) азота и 29,7 г воды. При нагревании с водным раствором гидроксида калия вещество подвергается гидролизу, продуктами которого являются органическая соль и вторичный спирт.
На основании данных условия задания:
1) проведите необходимые вычисления (указывайте единицы измерения искомых физических величин) и установите молекулярную формулу органического вещества А;
2) составьте возможную структурную формулу этого вещества, которая однозначно отражает порядок связи атомов в его молекуле;
3) напишите уравнение реакции гидролиза исходного вещества в растворе гидроксида калия.
Дано:
m(вещества А) = 35,1 г
V(CO2) = 33,6 л (н.у.)
V(N2) = 3,36 л (н.у.)
m(H2O) = 29,7 г
n(CO2) = 33,6 л / 22,4 л/моль = 1,5 моль
n(N2) = 3,36 л / 22,4 л/моль = 0,15 моль
n(H2O) = 29,7 г / 18 г/моль = 1,65 моль
n(C) = n(CO2) = 1,5 моль
n(H) = 2·n(H2O) = 2·1,65 = 3,3 моль
n(N) = 2·n(N2) = 2·0,15 = 0,3 моль
m(C) = 1,5 моль · 12 г/моль = 18 г
m(H) = 3,3 моль · 1 г/моль = 3,3 г
m(N) = 0,3 моль · 14 г/моль = 4,2 г
m(O) = 35,1 г — 18 г — 3,3 г — 4,2 г = 9,6 г
n(O) = 9,6 г / 16 г/моль = 0,6 моль
n(C) : n(H) : n(N) : n(O) = 1,5 : 3,3 : 0,3 : 0,6 = 5 : 11 : 1 : 2
Простейшая формула: C5H11NO2
Молекулярная формула: C5H11NO2
Структурная формула:

Уравнение реакции:

Органическое вещество А содержит 13,58% азота, 46,59% углерода и 31,03% кислорода по массе и образуется при взаимодействии органического вещества Б с этанолом в молярном соотношении 1 : 1.
На основании данных условия задания:
1) проведите необходимые вычисления (указывайте единицы измерения искомых физических величин) и установите молекулярную формулу органического вещества А;
2) составьте возможную структурную формулу этого вещества, которая однозначно отражает порядок связи атомов в его молекуле;
3) напишите уравнение реакции получения вещества А из вещества Б и этанола.
Дано:
ω(N) = 13,58%
ω(C) = 46,59%
ω(O) = 31,03%
ω(H) = 100% — 13,58% — 46,59% — 31,03% = 8,80%
Примем массу вещества равной 100 г:
m(C) = 46,59 г
m(H) = 8,80 г
m(N) = 13,58 г
m(O) = 31,03 г
n(C) = 46,59 г / 12 г/моль = 3,883 моль
n(H) = 8,80 г / 1 г/моль = 8,80 моль
n(N) = 13,58 г / 14 г/моль = 0,970 моль
n(O) = 31,03 г / 16 г/моль = 1,939 моль
n(C) : n(H) : n(N) : n(O) = 3,883 : 8,80 : 0,970 : 1,939 = 4 : 9 : 1 : 2
Простейшая формула: C4H9NO2
Молекулярная формула: C4H9NO2
Структурная формула:

Уравнение реакции:

Органическое вещество А содержит 11,97% азота, 51,28% углерода и 27,35% кислорода по массе и образуется при взаимодействии органического вещества Б с этанолом в молярном соотношении 1 : 1. Известно, что в молекуле вещества Б функциональные группы максимально удалены друг от друга.
На основании данных условия задания:
1) проведите необходимые вычисления (указывайте единицы измерения искомых физических величин) и установите молекулярную формулу органического вещества А;
2) составьте возможную структурную формулу этого вещества, которая однозначно отражает порядок связи атомов в его молекуле;
3) напишите уравнение реакции получения вещества А из вещества Б и этанола.
Дано:
ω(N) = 11,97%
ω(C) = 51,28%
ω(O) = 27,35%
ω(H) = 100% — 11,97% — 51,28% — 27,35% = 9,40%
Примем массу вещества равной 100 г:
m(C) = 51,28 г
m(H) = 9,40 г
m(N) = 11,97 г
m(O) = 27,35 г
n(C) = 51,28 г / 12 г/моль = 4,273 моль
n(H) = 9,40 г / 1 г/моль = 9,40 моль
n(N) = 11,97 г / 14 г/моль = 0,855 моль
n(O) = 27,35 г / 16 г/моль = 1,709 моль
n(C) : n(H) : n(N) : n(O) = 4,273 : 9,40 : 0,855 : 1,709 = 5 : 11 : 1 : 2
Простейшая формула: C5H11NO2
Молекулярная формула: C5H11NO2
Структурная формула:

Уравнение реакции:

При сжигании образца дипептида А массой 2,64 г получено 1,792 л углекислого газа (н.у.), 1,44 г воды и 448 мл азота (н.у.). При гидролизе данного дипептида в присутствии соляной кислоты образуется только одна соль.
На основании данных условия задания:
1) проведите необходимые вычисления (указывайте единицы измерения искомых физических величин) и установите молекулярную формулу органического вещества А;
2) составьте возможную структурную формулу этого вещества, которая однозначно отражает порядок связи атомов в его молекуле;
3) напишите уравнение реакции гидролиза дипептида в присутствии соляной кислоты.
Дано:
m(вещества А) = 2,64 г
V(CO2) = 1,792 л (н.у.)
m(H2O) = 1,44 г
V(N2) = 0,448 л (н.у.)
n(CO2) = 1,792 л / 22,4 л/моль = 0,08 моль
n(H2O) = 1,44 г / 18 г/моль = 0,08 моль
n(N2) = 0,448 л / 22,4 л/моль = 0,02 моль
n(C) = n(CO2) = 0,08 моль
n(H) = 2·n(H2O) = 2·0,08 = 0,16 моль
n(N) = 2·n(N2) = 2·0,02 = 0,04 моль
m(C) = 0,08 моль · 12 г/моль = 0,96 г
m(H) = 0,16 моль · 1 г/моль = 0,16 г
m(N) = 0,04 моль · 14 г/моль = 0,56 г
m(O) = 2,64 г — 0,96 г — 0,16 г — 0,56 г = 0,96 г
n(O) = 0,96 г / 16 г/моль = 0,06 моль
n(C) : n(H) : n(N) : n(O) = 0,08 : 0,16 : 0,04 : 0,06 = 4 : 8 : 2 : 3
Простейшая формула: C4H8N2O3
Молекулярная формула: C4H8N2O3
Структурная формула:

Уравнение реакции:

При сжигании образца дипептида А массой 3,2 г получено 2,688 л углекислого газа (н.у.), 2,16 г воды и 448 мл азота (н.у.). При гидролизе данного дипептида в растворе гидроксида калия образуется только одна соль.
На основании данных условия задания:
1) проведите необходимые вычисления (указывайте единицы измерения искомых физических величин) и установите молекулярную формулу органического вещества А;
2) составьте возможную структурную формулу этого вещества, которая однозначно отражает порядок связи атомов в его молекуле;
3) напишите уравнение реакции гидролиза дипептида в растворе гидроксида калия.
Дано:
m(вещества А) = 3,2 г
V(CO2) = 2,688 л (н.у.)
m(H2O) = 2,16 г
V(N2) = 0,448 л (н.у.)
n(CO2) = 2,688 л / 22,4 л/моль = 0,12 моль
n(H2O) = 2,16 г / 18 г/моль = 0,12 моль
n(N2) = 0,448 л / 22,4 л/моль = 0,02 моль
n(C) = n(CO2) = 0,12 моль
n(H) = 2·n(H2O) = 2·0,12 = 0,24 моль
n(N) = 2·n(N2) = 2·0,02 = 0,04 моль
m(C) = 0,12 моль · 12 г/моль = 1,44 г
m(H) = 0,24 моль · 1 г/моль = 0,24 г
m(N) = 0,04 моль · 14 г/моль = 0,56 г
m(O) = 3,2 г — 1,44 г — 0,24 г — 0,56 г = 0,96 г
n(O) = 0,96 г / 16 г/моль = 0,06 моль
n(C) : n(H) : n(N) : n(O) = 0,12 : 0,24 : 0,04 : 0,06 = 6 : 12 : 2 : 3
Простейшая формула: C6H12N2O3
Молекулярная формула: C6H12N2O3
Структурная формула:

Уравнение реакции:

При сгорании 17,55 г органического вещества получили 16,8 л углекислого газа (н.у.), 1,68 л азота (н.у.) и 14,85 г воды. При нагревании с водным раствором гидроксида натрия данное вещество подвергается гидролизу, одним из продуктов которого является пропанол-1.
На основании данных условия задания:
1) проведите необходимые вычисления (указывайте единицы измерения искомых физических величин) и установите молекулярную формулу органического вещества А;
2) составьте возможную структурную формулу этого вещества, которая однозначно отражает порядок связи атомов в его молекуле;
3) напишите уравнение реакции гидролиза исходного вещества в растворе гидроксида натрия.
Дано:
m(вещества А) = 17,55 г
V(CO2) = 16,8 л (н.у.)
V(N2) = 1,68 л (н.у.)
m(H2O) = 14,85 г
n(CO2) = 16,8 л / 22,4 л/моль = 0,75 моль
n(N2) = 1,68 л / 22,4 л/моль = 0,075 моль
n(H2O) = 14,85 г / 18 г/моль = 0,825 моль
n(C) = n(CO2) = 0,75 моль
n(H) = 2·n(H2O) = 2·0,825 = 1,65 моль
n(N) = 2·n(N2) = 2·0,075 = 0,15 моль
m(C) = 0,75 моль · 12 г/моль = 9 г
m(H) = 1,65 моль · 1 г/моль = 1,65 г
m(N) = 0,15 моль · 14 г/моль = 2,1 г
m(O) = 17,55 г — 9 г — 1,65 г — 2,1 г = 4,8 г
n(O) = 4,8 г / 16 г/моль = 0,3 моль
n(C) : n(H) : n(N) : n(O) = 0,75 : 1,65 : 0,15 : 0,3 = 5 : 11 : 1 : 2
Простейшая формула: C5H11NO2
Молекулярная формула: C5H11NO2
Структурная формула:

Уравнение реакции:

Органическое вещество А содержит 10,68% азота, 54,94% углерода и 24,39% кислорода по массе и образуется при взаимодействии органического вещества Б с пропанолом-1 в молярном соотношении 1 : 1. Известно, что в молекуле вещества Б функциональные группы максимально удалены друг от друга.
На основании данных условия задания:
1) проведите необходимые вычисления (указывайте единицы измерения искомых физических величин) и установите молекулярную формулу органического вещества А;
2) составьте возможную структурную формулу этого вещества, которая однозначно отражает порядок связи атомов в его молекуле;
3) напишите уравнение реакции получения вещества А из вещества Б и пропанола-1.
Дано:
ω(N) = 10,68%
ω(C) = 54,94%
ω(O) = 24,39%
ω(H) = 100% — 10,68% — 54,94% — 24,39% = 9,99%
Примем массу вещества равной 100 г:
m(C) = 54,94 г
m(H) = 9,99 г
m(N) = 10,68 г
m(O) = 24,39 г
n(C) = 54,94 г / 12 г/моль = 4,578 моль
n(H) = 9,99 г / 1 г/моль = 9,99 моль
n(N) = 10,68 г / 14 г/моль = 0,763 моль
n(O) = 24,39 г / 16 г/моль = 1,524 моль
n(C) : n(H) : n(N) : n(O) = 4,578 : 9,99 : 0,763 : 1,524 = 6 : 13 : 1 : 2
Простейшая формула: C6H13NO2
Молекулярная формула: C6H13NO2
Структурная формула:

Уравнение реакции:

При сгорании 20,6 г органического вещества получили 17,92 л углекислого газа (н.у.), 2,24 л азота (н.у.) и 16,2 г воды. При нагревании с водным раствором гидроксида калия данное вещество подвергается гидролизу, одним из продуктов которого является этанол.
На основании данных условия задания:
1) проведите необходимые вычисления (указывайте единицы измерения искомых физических величин) и установите молекулярную формулу органического вещества;
2) составьте возможную структурную формулу этого вещества, которая однозначно отражает порядок связи атомов в его молекуле;
3) напишите уравнение реакции гидролиза исходного вещества в растворе гидроксида калия.
Дано:
m(вещества А) = 20,6 г
V(CO2) = 17,92 л (н.у.)
V(N2) = 2,24 л (н.у.)
m(H2O) = 16,2 г
n(CO2) = 17,92 л / 22,4 л/моль = 0,8 моль
n(N2) = 2,24 л / 22,4 л/моль = 0,1 моль
n(H2O) = 16,2 г / 18 г/моль = 0,9 моль
n(C) = n(CO2) = 0,8 моль
n(H) = 2·n(H2O) = 2·0,9 = 1,8 моль
n(N) = 2·n(N2) = 2·0,1 = 0,2 моль
m(C) = 0,8 моль · 12 г/моль = 9,6 г
m(H) = 1,8 моль · 1 г/моль = 1,8 г
m(N) = 0,2 моль · 14 г/моль = 2,8 г
m(O) = 20,6 г — 9,6 г — 1,8 г — 2,8 г = 6,4 г
n(O) = 6,4 г / 16 г/моль = 0,4 моль
n(C) : n(H) : n(N) : n(O) = 0,8 : 1,8 : 0,2 : 0,4 = 4 : 9 : 1 : 2
Простейшая формула: C4H9NO2
Молекулярная формула: C4H9NO2
Структурная формула:

Уравнение реакции:

При сгорании 86,4 г органического вещества А образуется 100,8 л (н.у.) углекислого газа, 48,6 г воды и 31,8 г карбоната натрия. Данное вещество А имеет только один заместитель. Известно, что этот заместитель имеет неразветвлённое строение. Известно также, что в результате реакции 1 моль вещества А с 1 моль бромметана образуется простой эфир.
На основании данных условия задания:
1) проведите необходимые вычисления (указывайте единицы измерения искомых физических величин) и установите молекулярную формулу органического вещества А;
2) составьте возможную структурную формулу этого вещества, которая однозначно отражает порядок связи атомов в его молекуле;
3) напишите уравнение реакции 1 моль вещества А с 1 моль бромметана.
Дано:
m(вещества А) = 86,4 г
V(CO2) = 100,8 л (н.у.)
m(H2O) = 48,6 г
m(Na2CO3) = 31,8 г
n(CO2) = 100,8 л / 22,4 л/моль = 4,5 моль
n(H2O) = 48,6 г / 18 г/моль = 2,7 моль
n(Na2CO3) = 31,8 г / 106 г/моль = 0,3 моль
n(C) = n(CO2) + n(C в Na2CO3) = 4,5 + 0,3 = 4,8 моль
n(H) = 2·n(H2O) = 2·2,7 = 5,4 моль
n(Na) = 2·n(Na2CO3) = 2·0,3 = 0,6 моль
m(C) = 4,8 моль · 12 г/моль = 57,6 г
m(H) = 5,4 моль · 1 г/моль = 5,4 г
m(Na) = 0,6 моль · 23 г/моль = 13,8 г
m(O) = 86,4 г — 57,6 г — 5,4 г — 13,8 г = 9,6 г
n(O) = 9,6 г / 16 г/моль = 0,6 моль
n(C) : n(H) : n(Na) : n(O) = 4,8 : 5,4 : 0,6 : 0,6 = 8 : 9 : 1 : 1
Простейшая формула: C8H9NaO
Молекулярная формула: C8H9NaO
Структурная формула:

Уравнение реакции:

Органическое вещество А содержит 40,68% углерода, 54,24% кислорода и 5,08% водорода по массе. При нагревании с водным раствором гидроксида натрия вещество А подвергается гидролизу с образованием двух продуктов – соли и спирта – в молярном соотношении 2 : 1.
На основании данных условия задания:
1) проведите необходимые вычисления (указывайте единицы измерения искомых физических величин) и установите молекулярную формулу органического вещества А;
2) составьте возможную структурную формулу этого вещества, которая однозначно отражает порядок связи атомов в его молекуле;
3) напишите уравнение реакции гидролиза вещества А в растворе гидроксида натрия.
Дано:
ω(C) = 40,68%
ω(O) = 54,24%
ω(H) = 5,08%
Примем массу вещества равной 100 г:
m(C) = 40,68 г
m(H) = 5,08 г
m(O) = 54,24 г
n(C) = 40,68 г / 12 г/моль = 3,390 моль
n(H) = 5,08 г / 1 г/моль = 5,08 моль
n(O) = 54,24 г / 16 г/моль = 3,390 моль
n(C) : n(H) : n(O) = 3,390 : 5,08 : 3,390 = 1 : 1,5 : 1 = 2 : 3 : 2
Простейшая формула: C2H3O2
Молекулярная формула: C4H6O4
Структурная формула:

Уравнение реакции:

При сгорании 43,2 г органического вещества А образуется 50,4 л (н.у.) углекислого газа, 24,3 г воды и 15,9 г карбоната натрия. Вещество А содержит два первичных атома углерода, а заместители находятся у нечётных атомов углерода. Известно, что в результате окисления вещества А сернокислым раствором перманганата калия образуется двухосновная карбоновая кислота.
На основании данных условия задания:
1) проведите необходимые вычисления (указывайте единицы измерения искомых физических величин) и установите молекулярную формулу органического вещества А;
2) составьте возможную структурную формулу этого вещества, которая однозначно отражает порядок связи атомов в его молекуле;
3) напишите уравнение реакции окисления вещества А сернокислым раствором перманганата калия.
Дано:
m(вещества А) = 43,2 г
V(CO2) = 50,4 л (н.у.)
m(H2O) = 24,3 г
m(Na2CO3) = 15,9 г
n(CO2) = 50,4 л / 22,4 л/моль = 2,25 моль
n(H2O) = 24,3 г / 18 г/моль = 1,35 моль
n(Na2CO3) = 15,9 г / 106 г/моль = 0,15 моль
n(C) = n(CO2) + n(C в Na2CO3) = 2,25 + 0,15 = 2,4 моль
n(H) = 2·n(H2O) = 2·1,35 = 2,7 моль
n(Na) = 2·n(Na2CO3) = 2·0,15 = 0,3 моль
m(C) = 2,4 моль · 12 г/моль = 28,8 г
m(H) = 2,7 моль · 1 г/моль = 2,7 г
m(Na) = 0,3 моль · 23 г/моль = 6,9 г
m(O) = 43,2 г — 28,8 г — 2,7 г — 6,9 г = 4,8 г
n(O) = 4,8 г / 16 г/моль = 0,3 моль
n(C) : n(H) : n(Na) : n(O) = 2,4 : 2,7 : 0,3 : 0,3 = 8 : 9 : 1 : 1
Простейшая формула: C8H9NaO
Молекулярная формула: C8H9NaO
Структурная формула:

Уравнение реакции:

При сгорании 9 г органического вещества А, не содержащего кислорода, получили углекислый газ, 12,6 г воды и 2,24 л азота (н.у.). Известно, что вещество А реагирует с бромэтаном и может быть получено восстановлением соответствующего нитросоединения.
На основании данных условия задания:
1) проведите необходимые вычисления (указывайте единицы измерения искомых физических величин) и установите молекулярную формулу органического вещества А;
2) составьте возможную структурную формулу этого вещества, которая однозначно отражает порядок связи атомов в его молекуле;
3) напишите уравнение реакции вещества А с бромэтаном.
Дано:
m(вещества А) = 9 г
m(H2O) = 12,6 г
V(N2) = 2,24 л (н.у.)
n(H2O) = 12,6 г / 18 г/моль = 0,7 моль
n(N2) = 2,24 л / 22,4 л/моль = 0,1 моль
n(H) = 2·n(H2O) = 2·0,7 = 1,4 моль
n(N) = 2·n(N2) = 2·0,1 = 0,2 моль
m(H) = 1,4 моль · 1 г/моль = 1,4 г
m(N) = 0,2 моль · 14 г/моль = 2,8 г
m(C) = 9 г — 1,4 г — 2,8 г = 4,8 г
n(C) = 4,8 г / 12 г/моль = 0,4 моль
n(C) : n(H) : n(N) = 0,4 : 1,4 : 0,2 = 2 : 7 : 1
Простейшая формула: C2H7N
Молекулярная формула: C2H7N
Структурная формула:
CH3-CH2-NH2
Уравнение реакции:

Вещество А содержит 45,71% углерода, 30,48% кислорода, 21,90% натрия по массе и водород. Известно, что функциональные группы в веществе А находятся у соседних атомов углерода. При нагревании вещества А с гидроксидом натрия образуется вещество Б, которое не обесцвечивает бромную воду.
На основании данных условия задания:
1) проведите необходимые вычисления (указывайте единицы измерения искомых физических величин) и установите молекулярную формулу органического вещества А;
2) составьте возможную структурную формулу этого вещества, которая однозначно отражает порядок связи атомов в его молекуле;
3) напишите уравнение реакции, протекающей при нагревании вещества А с гидроксидом натрия.
Дано:
ω(C) = 45,71%
ω(O) = 30,48%
ω(Na) = 21,90%
ω(H) = 100% — 45,71% — 30,48% — 21,90% = 1,91%
Примем массу вещества равной 100 г:
m(C) = 45,71 г
m(H) = 1,91 г
m(O) = 30,48 г
m(Na) = 21,90 г
n(C) = 45,71 г / 12 г/моль = 3,809 моль
n(H) = 1,91 г / 1 г/моль = 1,91 моль
n(O) = 30,48 г / 16 г/моль = 1,905 моль
n(Na) = 21,90 г / 23 г/моль = 0,952 моль
n(C) : n(H) : n(O) : n(Na) = 3,809 : 1,91 : 1,905 : 0,952 = 4 : 2 : 2 : 1
Простейшая формула: C4H2O2Na
Молекулярная формула: C8H4O4Na2
Структурная формула:

Уравнение реакции:

Вещество А было получено при окислении циклического углеводорода Б перманганатом калия в присутствии серной кислоты. При сжигании образца вещества А массой 43,8 г получили 79,2 г углекислого газа и 27 г воды. Известно, что молекула вещества А имеет линейный углеродный скелет.
На основании данных условия задания:
1) проведите необходимые вычисления (указывайте единицы измерения искомых физических величин) и установите молекулярную формулу органического вещества А;
2) составьте возможную структурную формулу этого вещества, которая однозначно отражает порядок связи атомов в его молекуле;
3) напишите уравнение получения вещества А окислением циклического углеводорода Б перманганатом калия в присутствии серной кислоты.
Дано:
m(вещества А) = 43,8 г
m(CO2) = 79,2 г
m(H2O) = 27 г
n(CO2) = 79,2 г / 44 г/моль = 1,8 моль
n(H2O) = 27 г / 18 г/моль = 1,5 моль
n(C) = n(CO2) = 1,8 моль
n(H) = 2·n(H2O) = 2·1,5 = 3 моль
m(C) = 1,8 моль · 12 г/моль = 21,6 г
m(H) = 3 моль · 1 г/моль = 3 г
m(O) = 43,8 г — 21,6 г — 3 г = 19,2 г
n(O) = 19,2 г / 16 г/моль = 1,2 моль
n(C) : n(H) : n(O) = 1,8 : 3 : 1,2 = 3 : 5 : 2
Простейшая формула: C3H5O2
Молекулярная формула: C6H10O4
Структурная формула:

Уравнение реакции:

При сгорании 46,4 г органического вещества А получили 105,6 г углекислого газа и 43,2 г воды. Известно, что вещество А не взаимодействует с натрием, но реагирует с гидроксидом меди(II). Вещество А подвергается гидролизу в присутствии гидроксида натрия; один из продуктов гидролиза содержит четвертичный атом углерода.
На основании данных условия задания:
1) проведите необходимые вычисления (указывайте единицы измерения искомых физических величин) и установите молекулярную формулу органического вещества А;
2) составьте возможную структурную формулу этого вещества, которая однозначно отражает порядок связи атомов в его молекуле;
3) напишите уравнение реакции щелочного гидролиза вещества А.
Дано:
m(вещества А) = 46,4 г
m(CO2) = 105,6 г
m(H2O) = 43,2 г
n(CO2) = 105,6 г / 44 г/моль = 2,4 моль
n(H2O) = 43,2 г / 18 г/моль = 2,4 моль
n(C) = n(CO2) = 2,4 моль
n(H) = 2·n(H2O) = 2·2,4 = 4,8 моль
m(C) = 2,4 моль · 12 г/моль = 28,8 г
m(H) = 4,8 моль · 1 г/моль = 4,8 г
m(O) = 46,4 г — 28,8 г — 4,8 г = 12,8 г
n(O) = 12,8 г / 16 г/моль = 0,8 моль
n(C) : n(H) : n(O) = 2,4 : 4,8 : 0,8 = 3 : 6 : 1
Простейшая формула: C3H6O
Молекулярная формула: C6H12O2
Структурная формула:

Уравнение реакции:

При сгорании 7,9 г органического вещества А образуется 7,84 л (н.у.) углекислого газа и 4,5 г воды. При гидролизе вещества А в кислой среде образуются три органических вещества, одним из которых является кислота, в молекуле которой присутствуют три π-связи.
На основании данных условия задания:
1) проведите необходимые вычисления (указывайте единицы измерения искомых физических величин) и установите молекулярную формулу органического вещества А;
2) составьте возможную структурную формулу этого вещества, которая однозначно отражает порядок связи атомов в его молекуле;
3) напишите уравнение реакции кислотного гидролиза вещества А.
Дано:
m(вещества А) = 7,9 г
V(CO2) = 7,84 л (н.у.)
m(H2O) = 4,5 г
n(CO2) = 7,84 л / 22,4 л/моль = 0,35 моль
n(H2O) = 4,5 г / 18 г/моль = 0,25 моль
n(C) = n(CO2) = 0,35 моль
n(H) = 2·n(H2O) = 2·0,25 = 0,5 моль
m(C) = 0,35 моль · 12 г/моль = 4,2 г
m(H) = 0,5 моль · 1 г/моль = 0,5 г
m(O) = 7,9 г — 4,2 г — 0,5 г = 3,2 г
n(O) = 3,2 г / 16 г/моль = 0,2 моль
n(C) : n(H) : n(O) = 0,35 : 0,5 : 0,2 = 7 : 10 : 4
Простейшая формула: C7H10O4
Молекулярная формула: C7H10O4
Структурная формула:

Уравнение реакции:

При сгорании 23,2 г органического вещества А, молекула которого содержит четвертичный атом углерода, получили 26,88 л углекислого газа (н.у.) и 21,6 г воды. Известно, что вещество А подвергается гидролизу. Также известно, что вещество А не реагирует ни с натрием, ни с гидроксидом меди(II).
На основании данных условия задания:
1) проведите необходимые вычисления (указывайте единицы измерения искомых физических величин) и установите молекулярную формулу органического вещества А;
2) составьте возможную структурную формулу этого вещества, которая однозначно отражает порядок связи атомов в его молекуле;
3) напишите уравнение гидролиза вещества А в присутствии гидроксида натрия.
Дано:
m(вещества А) = 23,2 г
V(CO2) = 26,88 л (н.у.)
m(H2O) = 21,6 г
n(CO2) = 26,88 л / 22,4 л/моль = 1,2 моль
n(H2O) = 21,6 г / 18 г/моль = 1,2 моль
n(C) = n(CO2) = 1,2 моль
n(H) = 2·n(H2O) = 2·1,2 = 2,4 моль
m(C) = 1,2 моль · 12 г/моль = 14,4 г
m(H) = 2,4 моль · 1 г/моль = 2,4 г
m(O) = 23,2 г — 14,4 г — 2,4 г = 6,4 г
n(O) = 6,4 г / 16 г/моль = 0,4 моль
n(C) : n(H) : n(O) = 1,2 : 2,4 : 0,4 = 3 : 6 : 1
Простейшая формула: C3H6O
Молекулярная формула: C6H12O2
Структурная формула:

Уравнение реакции:

При сгорании 20,4 г органического вещества А, имеющего симметричное строение, получили 26,88 л (н.у.) углекислого газа и 25,2 г воды. Известно, что вещество А было получено в результате дегидратации вторичного спирта Б.
На основании данных условия задания:
1) проведите необходимые вычисления (указывайте единицы измерения искомых физических величин) и установите молекулярную формулу органического вещества А;
2) составьте возможную структурную формулу этого вещества, которая однозначно отражает порядок связи атомов в его молекуле;
3) напишите уравнение реакции получения вещества А дегидратацией вторичного спирта Б.
Дано:
m(вещества А) = 20,4 г
V(CO2) = 26,88 л (н.у.)
m(H2O) = 25,2 г
n(CO2) = 26,88 л / 22,4 л/моль = 1,2 моль
n(H2O) = 25,2 г / 18 г/моль = 1,4 моль
n(C) = n(CO2) = 1,2 моль
n(H) = 2·n(H2O) = 2·1,4 = 2,8 моль
m(C) = 1,2 моль · 12 г/моль = 14,4 г
m(H) = 2,8 моль · 1 г/моль = 2,8 г
m(O) = 20,4 г — 14,4 г — 2,8 г = 3,2 г
n(O) = 3,2 г / 16 г/моль = 0,2 моль
n(C) : n(H) : n(O) = 1,2 : 2,8 : 0,2 = 6 : 14 : 1
Простейшая формула: C6H14O
Молекулярная формула: C6H14O
Структурная формула:

Уравнение реакции:

При сгорании 63,2 г органического вещества А получили 158,4 г углекислого газа и 64,8 г воды. При гидролизе вещества А в присутствии гидроксида натрия образуются втор-бутиловый спирт и органическая соль Б. При электролизе водного раствора соли Б образуется углеводород, в молекуле которого отсутствуют вторичные и третичные атомы углерода. На основании данных условия задачи:
1) проведите необходимые вычисления (указывайте единицы измерения искомых физических величин) и установите молекулярную формулу соли Б;
2) составьте структурную формулу соли Б, которая однозначно отражает порядок связи атомов в её формульной единице;
3) напишите уравнение реакции электролиза водного раствора соли Б (используйте структурные формулы органических веществ).
Дано:
m(вещества А) = 63,2 г
m(CO2) = 158,4 г
m(H2O) = 64,8 г
n(CO2) = 158,4 г / 44 г/моль = 3,6 моль
n(H2O) = 64,8 г / 18 г/моль = 3,6 моль
n(C) = n(CO2) = 3,6 моль
n(H) = 2·n(H2O) = 2·3,6 = 7,2 моль
m(C) = 3,6 моль · 12 г/моль = 43,2 г
m(H) = 7,2 моль · 1 г/моль = 7,2 г
m(O) = 63,2 г — 43,2 г — 7,2 г = 12,8 г
n(O) = 12,8 г / 16 г/моль = 0,8 моль
n(C) : n(H) : n(O) = 3,6 : 7,2 : 0,8 = 9 : 18 : 2
Молекулярная формула вещества А: C9H18O2
Молекулярная формула соли Б: C5H9O2Na
Структурная формула соли Б:

Уравнение реакции электролиза:

При сгорании 101,7 г органического вещества А образуется 118,8 г углекислого газа, 32,4 г воды и 65,7 г хлороводорода. При гидролизе вещества А в присутствии гидроксида калия образуется органическое вещество Б, не содержащее атомов хлора. Известно, что вещество Б не взаимодействует со свежеосаждённым гидроксидом меди(II), но реагирует с натрием.
На основании данных условия задания:
1) проведите необходимые вычисления (указывайте единицы измерения искомых физических величин) и установите молекулярную формулу органического вещества А;
2) составьте возможную структурную формулу этого вещества, которая однозначно отражает порядок связи атомов в его молекуле;
3) напишите уравнение реакции гидролиза вещества А в присутствии гидроксида калия.
Дано:
m(вещества А) = 101,7 г
m(CO2) = 118,8 г
m(H2O) = 32,4 г
m(HCl) = 65,7 г
n(CO2) = 118,8 г / 44 г/моль = 2,7 моль
n(H2O) = 32,4 г / 18 г/моль = 1,8 моль
n(HCl) = 65,7 г / 36,5 г/моль = 1,8 моль
n(C) = n(CO2) = 2,7 моль
n(H) = 2·n(H2O) + n(HCl) = 2·1,8 + 1,8 = 5,4 моль
n(Cl) = n(HCl) = 1,8 моль
m(C) = 2,7 моль · 12 г/моль = 32,4 г
m(H) = 5,4 моль · 1 г/моль = 5,4 г
m(Cl) = 1,8 моль · 35,5 г/моль = 63,9 г
Проверка: 32,4 + 5,4 + 63,9 = 101,7 г
n(C) : n(H) : n(Cl) = 2,7 : 5,4 : 1,8 = 3 : 6 : 2
Простейшая формула: C3H6Cl2
Молекулярная формула: C3H6Cl2
Структурная формула:
Cl-CH2-CH2-CH2-Cl
Уравнение реакции:
Cl-CH2-CH2-CH2-Cl + 2KOH → HO-CH2-CH2-CH2-OH + 2KCl
При сгорании 21,6 г органического вещества А получили 31,36 л углекислого газа (н.у.) и 14,4 г воды. Известно, что вещество А вступает в реакцию этерификации с муравьиной кислотой.
На основании данных условия задания:
1) проведите необходимые вычисления (указывайте единицы измерения искомых физических величин) и установите молекулярную формулу органического вещества А;
2) составьте возможную структурную формулу этого вещества, которая однозначно отражает порядок связи атомов в его молекуле;
3) напишите уравнение реакции вещества А с муравьиной кислотой.
Дано:
m(вещества А) = 21,6 г
V(CO2) = 31,36 л (н.у.)
m(H2O) = 14,4 г
n(CO2) = 31,36 л / 22,4 л/моль = 1,4 моль
n(H2O) = 14,4 г / 18 г/моль = 0,8 моль
n(C) = n(CO2) = 1,4 моль
n(H) = 2·n(H2O) = 2·0,8 = 1,6 моль
m(C) = 1,4 моль · 12 г/моль = 16,8 г
m(H) = 1,6 моль · 1 г/моль = 1,6 г
m(O) = 21,6 г — 16,8 г — 1,6 г = 3,2 г
n(O) = 3,2 г / 16 г/моль = 0,2 моль
n(C) : n(H) : n(O) = 1,4 : 1,6 : 0,2 = 7 : 8 : 1
Простейшая формула: C7H8O
Молекулярная формула: C7H8O
Структурная формула:
C6H5-CH2-OH
Уравнение реакции:

При сгорании 36,8 г газообразного органического вещества А получили 70,4 г углекислого газа и 43,2 г воды. Вещество А не вступает в реакцию этерификации. Известно, что вещество А может быть получено из спирта Б в одну стадию.
На основании данных условия задания:
1) проведите необходимые вычисления (указывайте единицы измерения искомых физических величин) и установите молекулярную формулу органического вещества А;
2) составьте возможную структурную формулу этого вещества, которая однозначно отражает порядок связи атомов в его молекуле;
3) напишите уравнение реакции получения вещества А из спирта Б.
Дано:
m(вещества А) = 36,8 г
m(CO2) = 70,4 г
m(H2O) = 43,2 г
n(CO2) = 70,4 г / 44 г/моль = 1,6 моль
n(H2O) = 43,2 г / 18 г/моль = 2,4 моль
n(C) = n(CO2) = 1,6 моль
n(H) = 2·n(H2O) = 2·2,4 = 4,8 моль
m(C) = 1,6 моль · 12 г/моль = 19,2 г
m(H) = 4,8 моль · 1 г/моль = 4,8 г
m(O) = 36,8 г — 19,2 г — 4,8 г = 12,8 г
n(O) = 12,8 г / 16 г/моль = 0,8 моль
n(C) : n(H) : n(O) = 1,6 : 4,8 : 0,8 = 2 : 6 : 1
Простейшая формула: C2H6O
Молекулярная формула: C2H6O
Структурная формула:
CH3-O-CH3
Уравнение реакции:
2CH3-OH → CH3-O-CH3 + H2O
При сгорании 3,3 г органического вещества А получили 2,64 г углекислого газа, 2,43 г бромоводорода, 90 мг воды и 112 мл азота (н.у.). Известно, что вещество А образуется при бромировании азотсодержащего соединения Б. Известно, что в соединении Б не содержится атомов углерода в состоянии sp3-гибридизации. На основании данных условия задачи:
1) проведите необходимые вычисления (указывайте единицы измерения искомых физических величин) и установите молекулярную формулу азотсодержащего соединения Б;
2) составьте структурную формулу соединения Б, которая однозначно отражает порядок связи атомов в его молекуле;
3) напишите уравнение реакции избытка азотсодержащего соединения Б с разбавленной серной кислотой.
Дано:
m(вещества А) = 3,3 г
m(CO2) = 2,64 г
m(HBr) = 2,43 г
m(H2O) = 0,09 г
V(N2) = 0,112 л (н.у.)
n(CO2) = 2,64 г / 44 г/моль = 0,06 моль
n(HBr) = 2,43 г / 81 г/моль = 0,03 моль
n(H2O) = 0,09 г / 18 г/моль = 0,005 моль
n(N2) = 0,112 л / 22,4 л/моль = 0,005 моль
n(C) = n(CO2) = 0,06 моль
n(H) = 2·n(H2O) + n(HBr) = 2·0,005 + 0,03 = 0,04 моль
n(N) = 2·n(N2) = 2·0,005 = 0,01 моль
n(Br) = n(HBr) = 0,03 моль
n(C) : n(H) : n(N) : n(Br) = 0,06 : 0,04 : 0,01 : 0,03 = 6 : 4 : 1 : 3
Молекулярная формула вещества А: C6H4NBr3
Молекулярная формула соединения Б: C6H7N
Структурная формула соединения Б:
C6H5-NH2
Уравнение реакции:
2C6H5-NH2 + H2SO4 → [C6H5-NH3]2SO4
При сгорании 67,8 г органического вещества А образуется 40,32 л углекислого газа (н.у.), 21,6 г воды и 43,8 г хлороводорода. При гидролизе вещества А в присутствии гидроксида натрия образуется органическое вещество Б, не содержащее атомов хлора. Известно, что вещество Б не реагирует ни с натрием, ни с гидроксидом меди(II).
На основании данных условия задания:
1) проведите необходимые вычисления (указывайте единицы измерения искомых физических величин) и установите молекулярную формулу органического вещества А;
2) составьте возможную структурную формулу этого вещества, которая однозначно отражает порядок связи атомов в его молекуле;
3) напишите уравнение реакции гидролиза вещества А в присутствии гидроксида натрия.
Дано:
m(вещества А) = 67,8 г
V(CO2) = 40,32 л (н.у.)
m(H2O) = 21,6 г
m(HCl) = 43,8 г
n(CO2) = 40,32 л / 22,4 л/моль = 1,8 моль
n(H2O) = 21,6 г / 18 г/моль = 1,2 моль
n(HCl) = 43,8 г / 36,5 г/моль = 1,2 моль
n(C) = n(CO2) = 1,8 моль
n(H) = 2·n(H2O) + n(HCl) = 2·1,2 + 1,2 = 3,6 моль
n(Cl) = n(HCl) = 1,2 моль
m(C) = 1,8 моль · 12 г/моль = 21,6 г
m(H) = 3,6 моль · 1 г/моль = 3,6 г
m(Cl) = 1,2 моль · 35,5 г/моль = 42,6 г
Проверка: 21,6 + 3,6 + 42,6 = 67,8 г
n(C) : n(H) : n(Cl) = 1,8 : 3,6 : 1,2 = 3 : 6 : 2
Простейшая формула: C3H6Cl2
Молекулярная формула: C3H6Cl2
Структурная формула:

Уравнение реакции:

Некоторый углеводород нециклического строения, в молекуле которого имеется четвертичный атом углерода, содержит 12,19% водорода по массе. Известно, что при окислении этого углеводорода сернокислым раствором дихромата натрия образуется карбоновая кислота и выделяется углекислый газ.
На основании данных условия задания:
1) проведите необходимые вычисления (указывайте единицы измерения искомых физических величин) и установите молекулярную формулу органического вещества;
2) составьте возможную структурную формулу этого вещества, которая однозначно отражает порядок связи атомов в его молекуле;
3) напишите уравнение реакции окисления этого углеводорода сернокислым раствором дихромата натрия.
Дано:
ω(H) = 12,19%
ω(C) = 100% — 12,19% = 87,81%
Примем массу вещества равной 100 г:
m(C) = 87,81 г
m(H) = 12,19 г
n(C) = 87,81 г / 12 г/моль = 7,318 моль
n(H) = 12,19 г / 1 г/моль = 12,19 моль
n(C) : n(H) = 7,318 : 12,19 = 1 : 1,67 = 3 : 5
Простейшая формула: C3H5
Молекулярная формула: C6H10
Структурная формула:

Уравнение реакции:

При сгорании 135,6 г органического вещества А образуется 80,64 л углекислого газа (н.у.), 43,2 г воды и 53,76 л хлороводорода (н.у.). При гидролизе вещества А в присутствии гидроксида калия образуется органическое вещество Б, не содержащее атомов хлора. Известно, что вещество Б не взаимодействует с натрием, но реагирует с гидроксидом меди(II).
На основании данных условия задания:
1) проведите необходимые вычисления (указывайте единицы измерения искомых физических величин) и установите молекулярную формулу органического вещества;
2) составьте возможную структурную формулу этого вещества, которая однозначно отражает порядок связи атомов в его молекуле;
3) напишите уравнение реакции гидролиза вещества А в присутствии гидроксида калия.
Дано:
m(вещества А) = 135,6 г
V(CO2) = 80,64 л (н.у.)
m(H2O) = 43,2 г
V(HCl) = 53,76 л (н.у.)
n(CO2) = 80,64 л / 22,4 л/моль = 3,6 моль
n(H2O) = 43,2 г / 18 г/моль = 2,4 моль
n(HCl) = 53,76 л / 22,4 л/моль = 2,4 моль
n(C) = n(CO2) = 3,6 моль
n(H) = 2·n(H2O) + n(HCl) = 2·2,4 + 2,4 = 7,2 моль
n(Cl) = n(HCl) = 2,4 моль
m(C) = 3,6 моль · 12 г/моль = 43,2 г
m(H) = 7,2 моль · 1 г/моль = 7,2 г
m(Cl) = 2,4 моль · 35,5 г/моль = 85,2 г
Проверка: 43,2 + 7,2 + 85,2 = 135,6 г
n(C) : n(H) : n(Cl) = 3,6 : 7,2 : 2,4 = 3 : 6 : 2
Простейшая формула: C3H6Cl2
Молекулярная формула: C3H6Cl2
Структурная формула:

Уравнение реакции:

Углеводород А содержит 20% водорода по массе и образуется при сплавлении органической соли калия Б с гидроксидом калия. Известно, что соль Б имеет нормальный углеродный скелет. Также известно, что в соли Б количество атомов кислорода равно количеству атомов углерода.
На основании данных условия задачи:
1) проведите необходимые вычисления (указывайте единицы измерения искомых физических величин) и установите молекулярную формулу соли калия Б;
2) составьте структурную формулу соли Б, которая однозначно отражает порядок связи атомов в её формульной единице;
3) напишите уравнение реакции получения углеводорода A сплавлением органической соли калия Б с гидроксидом калия.
Дано:
ω(H в А) = 20%
ω(C в А) = 100% — 20% = 80%
Примем массу углеводорода А равной 100 г:
m(C) = 80 г
m(H) = 20 г
n(C) = 80 г / 12 г/моль = 6,667 моль
n(H) = 20 г / 1 г/моль = 20 моль
n(C) : n(H) = 6,667 : 20 = 1 : 3
Простейшая формула: CH3
Молекулярная формула углеводорода А: C2H6
Молекулярная формула соли Б: C4H4K2O4
Структурная формула соли Б:
KOOC-CH2-CH2-COOK
Уравнение реакции:
KOOC-CH2-CH2-COOK + 2KOH → C2H6↑ + 2K2CO3
При сгорании 33,9 г органического вещества А образуется 39,6 г углекислого газа, 10,8 г воды и 13,44 л хлороводорода (н.у.). При гидролизе вещества А в присутствии гидроксида натрия образуется органическое вещество Б, не содержащее атомов хлора. Известно, что вещество Б реагирует как с металлическим натрием, так и со свежеосаждённым гидроксидом меди(II).
На основании данных условия задачи:
1) проведите необходимые вычисления (указывайте единицы измерения искомых физических величин) и установите молекулярную формулу А;
2) составьте структурную формулу А, которая однозначно отражает порядок связи атомов в её формульной единице;
3) напишите уравнение реакции гидролиза вещества А в присутствии гидроксида натрия.
Дано:
m(вещества А) = 33,9 г
m(CO2) = 39,6 г
m(H2O) = 10,8 г
V(HCl) = 13,44 л (н.у.)
n(CO2) = 39,6 г / 44 г/моль = 0,9 моль
n(H2O) = 10,8 г / 18 г/моль = 0,6 моль
n(HCl) = 13,44 л / 22,4 л/моль = 0,6 моль
n(C) = n(CO2) = 0,9 моль
n(H) = 2·n(H2O) + n(HCl) = 2·0,6 + 0,6 = 1,8 моль
n(Cl) = n(HCl) = 0,6 моль
m(C) = 0,9 моль · 12 г/моль = 10,8 г
m(H) = 1,8 моль · 1 г/моль = 1,8 г
m(Cl) = 0,6 моль · 35,5 г/моль = 21,3 г
Проверка: 10,8 + 1,8 + 21,3 = 33,9 г
n(C) : n(H) : n(Cl) = 0,9 : 1,8 : 0,6 = 3 : 6 : 2
Простейшая формула: C3H6Cl2
Молекулярная формула: C3H6Cl2
Структурная формула:
CH3-CHCl-CH2Cl
Уравнение реакции:
CH3-CHCl-CH2Cl + 2NaOH → CH3-CH(OH)-CH2OH + 2NaCl
Некоторый углеводород, в молекуле которого имеется четвертичный атом углерода, содержит 87,5% углерода по массе. Известно, что заместители в молекуле этого углеводорода расположены у четвёртого атома углерода. Также известно, что этот углеводород взаимодействует с аммиачным раствором оксида серебра с образованием осадка.
На основании данных условия задачи:
1) проведите необходимые вычисления (указывайте единицы измерения искомых физических величин) и установите молекулярную формулу органического вещества;
2) составьте структурную формулу органического вещества, которая однозначно отражает порядок связи атомов в её формульной единице;
3) напишите уравнение реакции этого углеводорода с аммиачным раствором оксида серебра.
Дано:
ω(C) = 87,5%
ω(H) = 100% — 87,5% = 12,5%
Примем массу вещества равной 100 г:
m(C) = 87,5 г
m(H) = 12,5 г
n(C) = 87,5 г / 12 г/моль = 7,292 моль
n(H) = 12,5 г / 1 г/моль = 12,5 моль
n(C) : n(H) = 7,292 : 12,5 = 1 : 1,714 = 7 : 12
Простейшая формула: C7H12
Молекулярная формула: C7H12
Структурная формула:
HC≡C-CH2-C(CH3)3
Уравнение реакции:
HC≡C-CH2-C(CH3)3 + [Ag(NH3)2]OH → AgC≡C-CH2-C(CH3)3↓ + NH3 + H2O
Органическое вещество природного происхождения содержит по массе 41,09% углерода, 19,18% азота, 32,88% кислорода и водород. При гидролизе данного вещества в присутствии соляной кислоты образуются две соли.
На основании данных условия задачи:
1) проведите необходимые вычисления (указывайте единицы измерения искомых физических величин) и установите молекулярную формулу органического вещества;
2) составьте структурную формулу органического вещества, которая однозначно отражает порядок связи атомов в её формульной единице;
3) напишите уравнение реакции гидролиза органического вещества в присутствии соляной кислоты.
Дано:
ω(C) = 41,09%
ω(N) = 19,18%
ω(O) = 32,88%
ω(H) = 100% — 41,09% — 19,18% — 32,88% = 6,85%
Примем массу вещества равной 100 г:
m(C) = 41,09 г
m(H) = 6,85 г
m(N) = 19,18 г
m(O) = 32,88 г
n(C) = 41,09 г / 12 г/моль = 3,424 моль
n(H) = 6,85 г / 1 г/моль = 6,85 моль
n(N) = 19,18 г / 14 г/моль = 1,370 моль
n(O) = 32,88 г / 16 г/моль = 2,055 моль
n(C) : n(H) : n(N) : n(O) = 3,424 : 6,85 : 1,370 : 2,055 = 2,5 : 5 : 1 : 1,5 = 5 : 10 : 2 : 3
Простейшая формула: C5H10N2O3
Молекулярная формула: C5H10N2O3
Структурная формула:

Уравнение реакции:

При сгорании 21,45 г органического вещества А получили 10,08 л (н.у.) углекислого газа, 2,7 г воды и 10,95 г хлороводорода. Известно, что данное вещество образуется при присоединении хлора к соответствующему органическому соединению Б. На основании данных задачи:
1) Произведите необходимые вычисления и установите молекулярную формулу неизвестного вещества А. Указывайте единицы измерения искомых физических величин;
2) Составьте структурную формулу неизвестного вещества А, которая однозначно отражает порядок связи атомов в его формульной единице;
3) Напишите уравнение реакции получения вещества А хлорированием соединения Б (используйте структурные формулы органических веществ).
(задача 2024 года)
Установление молекулярной формулы вещества А
Общая формула вещества: CxHyOzClu
Определение количества продуктов сгорания:
Vm = 22,4 л/моль
n(CO2) = V / Vm = 10,08 / 22,4 = 0,45 моль
M(H2O) = 18 г/моль
n(H2O) = m / M = 2,7 / 18 = 0,15 моль
M(HCl) = 36,5 г/моль
n(HCl) = m / M = 10,95 / 36,5 = 0,3 моль
Определение количества элементов в веществе А:
n(C) = n(CO2) = 0,45 моль
n(H) = 2 · n(H2O) + n(HCl) = 2 · 0,15 + 0,3 = 0,3 + 0,3 = 0,6 моль
n(Cl) = n(HCl) = 0,3 моль
Определение массы и количества кислорода:
m(C) = n · M = 0,45 · 12 = 5,4 г
m(H) = n · M = 0,6 · 1 = 0,6 г
m(Cl) = n · M = 0,3 · 35,5 = 10,65 г
m(O) = m(А) — m(C) — m(H) — m(Cl)
m(O) = 21,45 — 5,4 — 0,6 — 10,65 = 4,8 г
M(O) = 16 г/моль
n(O) = m / M = 4,8 / 16 = 0,3 моль
Соотношение элементов:
n(C) : n(H) : n(O) : n(Cl) = 0,45 : 0,6 : 0,3 : 0,3= 1,5 : 2 : 1 : 1 = 3 : 4 : 2 : 2
Молекулярная формула вещества А: C3H4O2Cl2
Структурная формула вещества А:
Уравнение реакции получения вещества А хлорированием соединения Б
При сгорании 3,045 г органического вещества А образуется 5,61 г углекислого газа, 1,35 г воды, 168 мл (н.у.) азота и 1,035 г карбоната калия. Вещество А образуется при взаимодействии органического вещества Б с гидроксидом калия. Известно, что в молекуле вещества Б азотсодержащая функциональная группа находится в α-положении по отношению к кислородсодержащей, а в ароматическом кольце замещен только один атом водорода. На основании данных задачи:
1) Произведите необходимые вычисления и установите молекулярную формулу неизвестного вещества А. Указывайте единицы измерения искомых физических величин;
2) Составьте структурную формулу неизвестного вещества А, которая однозначно отражает порядок связи атомов в его формульной единице;
3) Напишите уравнение реакции получения вещества А из вещества Б и гидроксида калия (используйте структурные формулы органических веществ).
(задача 2024 года)
1. Установление молекулярной формулы вещества А
Общая формула вещества: CxHyOzNuKv
Определение количества продуктов сгорания:
M(CO2) = 44 г/моль
n(CO2) = m / M = 5,61 / 44 = 0,1275 моль
M(H2O) = 18 г/моль
n(H2O) = m / M = 1,35 / 18 = 0,075 моль
Vm = 22,4 л/моль
n(N2) = V / Vm = 0,168 / 22,4 = 0,0075 моль
M(K2CO3) = 138 г/моль
n(K2CO3) = m / M = 1,035 / 138 = 0,0075 моль
Определение количества элементов в веществе А:
n(C) = n(CO2) + n(K2CO3) = 0,1275 + 0,0075 = 0,135 моль
n(H) = 2 · n(H2O) = 2 · 0,075 = 0,15 моль
n(N) = 2 · n(N2) = 2 · 0,0075 = 0,015 моль
n(K) = 2 · n(K2CO3) = 2 · 0,0075 = 0,015 моль
Определение массы и количества кислорода:
m(C) = n · M = 0,135 · 12 = 1,62 г
m(H) = n · M = 0,15 · 1 = 0,15 г
m(N) = n · M = 0,015 · 14 = 0,21 г
m(K) = n · M = 0,015 · 39 = 0,585 г
m(O) = m(А) — m(C) — m(H) — m(N) — m(K)
m(O) = 3,045 — 1,62 — 0,15 — 0,21 — 0,585 = 0,48 г
M(O) = 16 г/моль
n(O) = m / M = 0,48 / 16 = 0,03 моль
Соотношение элементов:
n(C) : n(H) : n(O) : n(N) : n(K) = 0,135 : 0,15 : 0,03 : 0,015 : 0,015 = 9 : 10 : 2 : 1 : 1
Молекулярная формула вещества А: C9H10O2NK
2. Структурная формула вещества А:
3. Уравнение реакции получения вещества А из вещества Б
При сгорании 29,2 г вещества А, выделилось 26,88 л (н.у.) углекислого газа, 4,48 л (н.у.) азота и 25,2 г воды. Известно, что молекула вещества А имеет неразветвлённый углеродный скелет, содержит три функциональные группы, при этом азотсодержащие группы максимально удалены друг от друга. Вещество А способно реагировать как с соляной кислотой, так и гидроксидом натрия.
На основании данных в задаче:
1) Проведите необходимые вычисления (указывайте единицы измерения искомых физических величин) и установите молекулярную формулу неизвестного вещества А;
2) Составьте возможную структурную формулу вещества А, которая однозначно отражает порядок связи атомов в его молекуле;
3) Напишите уравнение реакции вещества А с избытком соляной кислоты, используя структурную формулу вещества.
(задача 2024 года)
1. Установление молекулярной формулы вещества А
Общая формула вещества: CxHyOzNu
Определение количества продуктов сгорания:
Vm = 22,4 л/моль
n(CO2) = V / Vm = 26,88 / 22,4 = 1,2 моль
n(N2) = V / Vm = 4,48 / 22,4 = 0,2 моль
M(H2O) = 18 г/моль
n(H2O) = m / M = 25,2 / 18 = 1,4 моль
Определение количества элементов в веществе А:
n(C) = n(CO2) = 1,2 моль
n(H) = 2 · n(H2O) = 2 · 1,4 = 2,8 моль
n(N) = 2 · n(N2) = 2 · 0,2 = 0,4 моль
Определение массы и количества кислорода:
m(C) = n · M = 1,2 · 12 = 14,4 г
m(H) = n · M = 2,8 · 1 = 2,8 г
m(N) = n · M = 0,4 · 14 = 5,6 г
m(O) = m(А) — m(C) — m(H) — m(N)
m(O) = 29,2 — 14,4 — 2,8 — 5,6 = 6,4 г
M(O) = 16 г/моль
n(O) = m / M = 6,4 / 16 = 0,4 моль
Соотношение элементов:
n(C) : n(H) : n(O) : n(N) = 1,2 : 2,8 : 0,4 : 0,4 = 3 : 7 : 1 : 1
Таким образом простейшая формула А: C3H7ON
В условии задачи говорится об азотсодержащих группах (в множественном числе), значит простейшая формула требует как минимум удвоения. Таким образом:
Истинная молекулярная формула вещества А: C6H14O2N2
2. Структурная формула вещества А:
3. Уравнение реакции вещества А с избытком соляной кислоты
При сгорании 7,35 г органического вещества А образуется 5,6 л (н.у.) углекислого газа, 4,05 г воды, 0,56 л (н.у.) азота. Известно, что вещество А имеет неразветвлённый углеродный скелет, содержит три функциональные группы, при этом азотсодержащая группа находится в α-положении к одной из кислородсодержащих групп. Вещество А может реагировать как с гидроксидом калия, так и с соляной кислотой. На основании данных в задаче:
1) Проведите необходимые вычисления (указывайте единицы измерения искомых физических величин) и установите молекулярную формулу неизвестного вещества А;
2) Составьте возможную структурную формулу вещества А, которая однозначно отражает порядок связи атомов в его молекуле;
3) Напишите уравнение реакции вещества А с избытком раствора гидроксида калия, используя структурную формулу вещества.
(задача 2024 года)
1. Установление молекулярной формулы вещества А
Общая формула вещества: CxHyOzNu
Определение количества продуктов сгорания:
Vm = 22,4 л/моль
n(CO2) = V / Vm = 5,6 / 22,4 = 0,25 моль
n(N2) = V / Vm = 0,56 / 22,4 = 0,025 моль
M(H2O) = 18 г/моль
n(H2O) = m / M = 4,05 / 18 = 0,225 моль
Определение количества элементов в веществе А:
n(C) = n(CO2) = 0,25 моль
n(H) = 2 · n(H2O) = 2 · 0,225 = 0,45 моль
n(N) = 2 · n(N2) = 2 · 0,025 = 0,05 моль
Определение массы и количества кислорода:
m(C) = n · M = 0,25 · 12 = 3 г
m(H) = n · M = 0,45 · 1 = 0,45 г
m(N) = n · M = 0,05 · 14 = 0,7 г
m(O) = m(А) — m(C) — m(H) — m(N)
m(O) = 7,35 — 3 — 0,45 — 0,7 = 3,2 г
M(O) = 16 г/моль
n(O) = m / M = 3,2 / 16 = 0,2 моль
Соотношение элементов:
n(C) : n(H) : n(O) : n(N) = 0,25 : 0,45 : 0,2 : 0,05 = 5 : 9 : 4 : 1
Простейшая формула вещества А: C5H9O4N
Молекулярная формула вещества А: C5H9O4N
2. Структурная формула вещества А:
3. Уравнение реакции вещества А с избытком раствора гидроксида калия
Органическое вещество А содержит 13,58% азота, 46,59% углерода и 31,03% кислорода по массе и образуется при взаимодействии органического вещества Б с этанолом в молярном соотношении 1 : 1.
На основании данных задачи:
1) Произведите необходимые вычисления и установите молекулярную формулу неизвестного вещества А. Указывайте единицы измерения искомых физических величин;
2) Составьте структурную формулу неизвестного вещества А, которая однозначно отражает порядок связи атомов в его формульной единице;
3) Напишите уравнение реакции получения вещества А из вещества Б и этанола (используйте структурные формулы органических веществ)
(задача 2024 года)
1. Установление молекулярной формулы вещества А
Общая формула вещества: CxHyOzNu
Определение массовых долей элементов:
ω(N) = 13,58% = 0,1358
ω(C) = 46,59% = 0,4659
ω(O) = 31,03% = 0,3103
ω(H) = 100% — 13,58% — 46,59% — 31,03% = 8,8% = 0,088
Определение количества элементов (на 100 г вещества):
M(N) = 14 г/моль
n(N) = m / M = 13,58 / 14 = 0,97 моль
M(C) = 12 г/моль
n(C) = m / M = 46,59 / 12 = 3,88 моль
M(O) = 16 г/моль
n(O) = m / M = 31,03 / 16 = 1,94 моль
M(H) = 1 г/моль
n(H) = m / M = 8,8 / 1 = 8,8 моль
Соотношение элементов:
n(C) : n(H) : n(O) : n(N) = 3,88 : 8,8 : 1,94 : 0,97 = 4 : 9,07 : 2 : 1 ≈ 4 : 9 : 2 : 1
Молекулярная формула вещества А: C4H9O2N
2. Структурная формула вещества А:
3. Уравнение реакции получения вещества А из вещества Б и этанола
При сгорании 35,1 г органического вещества А получили 33,6 л углекислого газа (н.у.), 3,36 л азота (н.у.) и 29,7 г воды. При нагревании с водным раствором гидроксида натрия данное вещество подвергается гидролизу, продуктами которого являются соединение состава С2H4NО2Na и первичный спирт. На основании данных в задаче:
1) Проведите необходимые вычисления (указывайте единицы измерения искомых физических величин) и установите молекулярную формулу вещества А;
2) Составьте возможную структурную формулу вещества А, которая однозначно отражает порядок связи атомов в его молекуле;
3) Напишите уравнение реакции гидролиза вещества А в растворе гидроксида натрия, используя структурную формулу вещества.
(задача 2024 года)
1. Установление молекулярной формулы вещества А
Общая формула вещества: CxHyOzNu
Определение количества продуктов сгорания:
Vm = 22,4 л/моль
n(CO2) = V / Vm = 33,6 / 22,4 = 1,5 моль
n(N2) = V / Vm = 3,36 / 22,4 = 0,15 моль
M(H2O) = 18 г/моль
n(H2O) = m / M = 29,7 / 18 = 1,65 моль
Определение количества элементов в веществе А:
n(C) = n(CO2) = 1,5 моль
n(H) = 2 · n(H2O) = 2 · 1,65 = 3,3 моль
n(N) = 2 · n(N2) = 2 · 0,15 = 0,3 моль
Определение массы и количества кислорода:
m(C) = n · M = 1,5 · 12 = 18 г
m(H) = n · M = 3,3 · 1 = 3,3 г
m(N) = n · M = 0,3 · 14 = 4,2 г
m(O) = m(А) — m(C) — m(H) — m(N)
m(O) = 35,1 — 18 — 3,3 — 4,2 = 9,6 г
M(O) = 16 г/моль
n(O) = m / M = 9,6 / 16 = 0,6 моль
Соотношение элементов:
n(C) : n(H) : n(O) : n(N) = 1,5 : 3,3 : 0,6 : 0,3 = 5 : 11 : 2 : 1
Молекулярная формула вещества А: C5H11O2N
2. Структурная формула вещества А:
3. Уравнение реакции гидролиза вещества А в растворе гидроксида натрия
При сгорании 8,775 г органического вещества А получили 8,4 л углекислого газа (н.у.), 0,84 л азота (н.у.) и 7,425 г воды. При нагревании с водным раствором гидроксида калия данное вещество подвергается гидролизу, продуктами которого являются соединение состава С2H4NО2K и вторичный спирт. На основании данных в задаче:
1) Проведите необходимые вычисления (указывайте единицы измерения искомых физических величин) и установите молекулярную формулу вещества А;
2) Составьте возможную структурную формулу вещества А, которая однозначно отражает порядок связи атомов в его молекуле;
3) Напишите уравнение реакции гидролиза вещества А в растворе гидроксида калия, используя структурную формулу вещества.
(задача 2024 года)
1. Установление молекулярной формулы вещества А
Общая формула вещества: CxHyOzNu
Определение количества продуктов сгорания:
Vm = 22,4 л/моль
n(CO2) = V / Vm = 8,4 / 22,4 = 0,375 моль
n(N2) = V / Vm = 0,84 / 22,4 = 0,0375 моль
M(H2O) = 18 г/моль
n(H2O) = m / M = 7,425 / 18 = 0,4125 моль
Определение количества элементов в веществе А:
n(C) = n(CO2) = 0,375 моль
n(H) = 2 · n(H2O) = 2 · 0,4125 = 0,825 моль
n(N) = 2 · n(N2) = 2 · 0,0375 = 0,075 моль
Определение массы и количества кислорода:
m(C) = n · M = 0,375 · 12 = 4,5 г
m(H) = n · M = 0,825 · 1 = 0,825 г
m(N) = n · M = 0,075 · 14 = 1,05 г
m(O) = m(А) — m(C) — m(H) — m(N)
m(O) = 8,775 — 4,5 — 0,825 — 1,05 = 2,4 г
M(O) = 16 г/моль
n(O) = m / M = 2,4 / 16 = 0,15 моль
Соотношение элементов:
n(C) : n(H) : n(O) : n(N) = 0,375 : 0,825 : 0,15 : 0,075 = 5 : 11 : 2 : 1
Молекулярная формула вещества А: C5H11O2N
2. Структурная формула вещества А:
3. Уравнение реакции гидролиза вещества А в растворе гидроксида калия
Органическое вещество А содержит 10,68% азота, 54,94% углерода и 24,39% кислорода по массе и образуется при взаимодействии органического вещества Б с пропанолом-1 в молярном соотношении 1 : 1. Известно, что вещество Б имеет природное происхождение и способно взаимодействовать как с кислотами, так и со щелочами. На основании данных задачи:
1) произведите необходимые вычисления и установите молекулярную формулу неизвестного вещества А. Указывайте единицы измерения искомых физических величин;
2) составьте структурную формулу неизвестного вещества А, которая однозначно отражает порядок связи атомов в его формульной единице;
3) напишите уравнение реакции получения вещества А из вещества Б при его взаимодействии с пропанолом-1 (используйте структурные формулы органических веществ).
(задача 2024 года)
1. Установление молекулярной формулы вещества А
Общая формула вещества: CxHyOzNu
Определение массовых долей элементов:
ω(N) = 10,68% = 0,1068
ω(C) = 54,94% = 0,5494
ω(O) = 24,39% = 0,2439
ω(H) = 100% — 10,68% — 54,94% — 24,39% = 9,99% = 0,0999
Определение количества элементов (на 100 г вещества):
M(N) = 14 г/моль
n(N) = m / M = 10,68 / 14 = 0,763 моль
M(C) = 12 г/моль
n(C) = m / M = 54,94 / 12 = 4,578 моль
M(O) = 16 г/моль
n(O) = m / M = 24,39 / 16 = 1,524 моль
M(H) = 1 г/моль
n(H) = m / M = 9,99 / 1 = 9,99 моль
Соотношение элементов:
n(C) : n(H) : n(O) : n(N) = 4,578 : 9,99 : 1,524 : 0,763 = 6 : 13,1 : 2 : 1 ≈ 6 : 13 : 2 : 1
Молекулярная формула вещества А: C6H13O2N
2. Структурная формула вещества А:
3. Уравнение реакции получения вещества А из вещества Б при взаимодействии с пропанолом-1
Органическое вещество А содержит 11,97% азота, 51,28% углерода и 27,35% кислорода по массе и образуется при взаимодействии органического вещества Б с этанолом в молярном соотношении 1 : 1. Известно, что вещество Б способно реагировать как с кислотами, так и со щелочами, а функциональные группы в его составе расположены максимально далеко друг от друга. На основании данных задачи: 1) произведите необходимые вычисления и установите молекулярную формулу неизвестного вещества А. Указывайте единицы измерения искомых физических величин; 2) составьте структурную формулу неизвестного вещества А, которая однозначно отражает порядок связи атомов в его формульной единице; 3) напишите уравнение реакции получения вещества А из вещества Б при его взаимодействии с этанолом (используйте структурные формулы органических веществ).
(задача 2024 года)
1. Установление молекулярной формулы вещества А
Общая формула вещества: CxHyOzNu
Определение массовых долей элементов:
ω(N) = 11,97% = 0,1197
ω(C) = 51,28% = 0,5128
ω(O) = 27,35% = 0,2735
ω(H) = 100% — 11,97% — 51,28% — 27,35% = 9,4% = 0,094
Определение количества элементов (на 100 г вещества):
M(N) = 14 г/моль
n(N) = m / M = 11,97 / 14 = 0,855 моль
M(C) = 12 г/моль
n(C) = m / M = 51,28 / 12 = 4,273 моль
M(O) = 16 г/моль
n(O) = m / M = 27,35 / 16 = 1,709 моль
M(H) = 1 г/моль
n(H) = m / M = 9,4 / 1 = 9,4 моль
Соотношение элементов:
n(C) : n(H) : n(O) : n(N) = 4,273 : 9,4 : 1,709 : 0,855 = 5 : 11 : 2 : 1
Молекулярная формула вещества А: C5H11O2N
2. Структурная формула вещества А:
3. Уравнение реакции получения вещества А из вещества Б при взаимодействии с этанолом
При сжигании образца дипептида массой 2,64 г получено 1,792 л (н.у.) углекислого газа, 1,44 г воды и 448 мл (н.у.) азота. При гидролизе данного дипептида в присутствии соляной кислоты образуется только одна соль. На основании данных задачи:
1) произведите необходимые вычисления и установите молекулярную формулу дипептида. Указывайте единицы измерения искомых физических величин;
2) составьте структурную формулу дипептида, которая однозначно отражает порядок связи атомов в его формульной единице;
3) напишите уравнение реакции гидролиза дипептида в присутствии соляной кислоты (используйте структурные формулы органических веществ).
(задача 2024 года)
1. Установление молекулярной формулы дипептида
Общая формула вещества: CxHyOzNu
Определение количества продуктов сгорания:
Vm = 22,4 л/моль
n(CO2) = V / Vm = 1,792 / 22,4 = 0,08 моль
n(N2) = V / Vm = 0,448 / 22,4 = 0,02 моль
M(H2O) = 18 г/моль
n(H2O) = m / M = 1,44 / 18 = 0,08 моль
Определение количества элементов в дипептиде:
n(C) = n(CO2) = 0,08 моль
n(H) = 2 · n(H2O) = 2 · 0,08 = 0,16 моль
n(N) = 2 · n(N2) = 2 · 0,02 = 0,04 моль
Определение массы и количества кислорода:
m(C) = n · M = 0,08 · 12 = 0,96 г
m(H) = n · M = 0,16 · 1 = 0,16 г
m(N) = n · M = 0,04 · 14 = 0,56 г
m(O) = m(дипептида) — m(C) — m(H) — m(N)
m(O) = 2,64 — 0,96 — 0,16 — 0,56 = 0,96 г
M(O) = 16 г/моль
n(O) = m / M = 0,96 / 16 = 0,06 моль
Соотношение элементов:
n(C) : n(H) : n(O) : n(N) = 0,08 : 0,16 : 0,06 : 0,04 = 4 : 8 : 3 : 2
Молекулярная формула дипептида: C4H8O3N2
2. Структурная формула дипептида:
3. Уравнение реакции гидролиза дипептида в присутствии соляной кислоты
При сжигании образца дипептида природного происхождения массой 3,2 г получено 2,688 л углекислого газа (н.у.), 2,16 г воды и 448 мл азота (н.у.). При гидролизе данного дипептида в растворе гидроксида калия образуется только одна соль. На основании данных в задаче:
1) проведите необходимые вычисления (указывайте единицы измерения искомых физических величин) и установите молекулярную формулу дипептида;
2) составьте возможную структурную формулу этого дипептида, которая однозначно отражает порядок связи атомов в его молекуле;
3) напишите уравнение реакции гидролиза дипептида в присутствии гидроксида калия, используя структурную формулу вещества.
(задача 2024 года)
1. Установление молекулярной формулы дипептида
Общая формула вещества: CxHyOzNu
Определение количества продуктов сгорания:
Vm = 22,4 л/моль
n(CO2) = V / Vm = 2,688 / 22,4 = 0,12 моль
n(N2) = V / Vm = 0,448 / 22,4 = 0,02 моль
M(H2O) = 18 г/моль
n(H2O) = m / M = 2,16 / 18 = 0,12 моль
Определение количества элементов в дипептиде:
n(C) = n(CO2) = 0,12 моль
n(H) = 2 · n(H2O) = 2 · 0,12 = 0,24 моль
n(N) = 2 · n(N2) = 2 · 0,02 = 0,04 моль
Определение массы и количества кислорода:
m(C) = n · M = 0,12 · 12 = 1,44 г
m(H) = n · M = 0,24 · 1 = 0,24 г
m(N) = n · M = 0,04 · 14 = 0,56 г
m(O) = m(дипептида) — m(C) — m(H) — m(N)
m(O) = 3,2 — 1,44 — 0,24 — 0,56 = 0,96 г
M(O) = 16 г/моль
n(O) = m / M = 0,96 / 16 = 0,06 моль
Соотношение элементов:
n(C) : n(H) : n(O) : n(N) = 0,12 : 0,24 : 0,06 : 0,04 = 6 : 12 : 3 : 2
Молекулярная формула дипептида: C6H12O3N2
2. Структурная формула дипептида:
3. Уравнение реакции гидролиза дипептида в присутствии гидроксида калия
При сгорании органического вещества А массой 7,6 г образовалось 6,16 л (н.у.) углекислого газа, 4,05 г воды и 3,45 г карбоната калия. При электролизе водного раствора органического вещества А образуется вещество Б, которое содержит только вторичные и третичные атомы углерода. На основании данных в задаче:
1) проведите необходимые вычисления и установите молекулярную формулу органического вещества А;
2) составьте структурную формулу вещества А, которая однозначно отражает порядок связи атомов в его молекуле;
3) напишите уравнение получения вещества Б путем электролиза водного раствора органического вещества А. Используйте структурные формулы веществ.
(задача 2025 года)
1. Установление молекулярной формулы вещества А
Общая формула вещества: CxHyOzKu
Определение количества продуктов сгорания:
Vm = 22,4 л/моль
n(CO2) = V / Vm = 6,16 / 22,4 = 0,275 моль
M(H2O) = 18 г/моль
n(H2O) = m / M = 4,05 / 18 = 0,225 моль
M(K2CO3) = 138 г/моль
n(K2CO3) = m / M = 3,45 / 138 = 0,025 моль
Определение количества элементов в веществе А:
n(C) = n(CO2) + n(K2CO3) = 0,275 + 0,025 = 0,3 моль
n(H) = 2 · n(H2O) = 2 · 0,225 = 0,45 моль
n(K) = 2 · n(K2CO3) = 2 · 0,025 = 0,05 моль
Определение массы и количества кислорода:
m(C) = n · M = 0,3 · 12 = 3,6 г
m(H) = n · M = 0,45 · 1 = 0,45 г
m(K) = n · M = 0,05 · 39 = 1,95 г
m(O) = m(А) — m(C) — m(H) — m(K)
m(O) = 7,6 — 3,6 — 0,45 — 1,95 = 1,6 г
M(O) = 16 г/моль
n(O) = m / M = 1,6 / 16 = 0,1 моль
Соотношение элементов:
n(C) : n(H) : n(O) : n(K) = 0,3 : 0,45 : 0,1 : 0,05 = 6 : 9 : 2 : 1
Молекулярная формула вещества А: C6H9O2K
2. Структурная формула вещества А:
3. Уравнение получения вещества Б путем электролиза водного раствора вещества А
При сгорании органического вещества А массой 7,5 г образовалось 7,28 л (н.у.) углекислого газа, 4,95 г воды и 2,65 г карбоната натрия. При электролизе водного раствора органического вещества А образуется вещество Б, которое содержит только вторичные и третичные атомы углерода. На основании данных в задаче:
1) проведите необходимые вычисления и установите молекулярную формулу органического вещества А;
2) составьте структурную формулу вещества А, которая однозначно отражает порядок связи атомов в его молекуле;
3) напишите уравнение получения вещества Б путем электролиза водного раствора органического вещества А. Используйте структурные формулы веществ.
(задача 2025 года)
1. Установление молекулярной формулы вещества А
Общая формула вещества: CxHyOzNau
Определение количества продуктов сгорания:
Vm = 22,4 л/моль
n(CO2) = V / Vm = 7,28 / 22,4 = 0,325 моль
M(H2O) = 18 г/моль
n(H2O) = m / M = 4,95 / 18 = 0,275 моль
M(Na2CO3) = 106 г/моль
n(Na2CO3) = m / M = 2,65 / 106 = 0,025 моль
Определение количества элементов в веществе А:
n(C) = n(CO2) + n(Na2CO3) = 0,325 + 0,025 = 0,35 моль
n(H) = 2 · n(H2O) = 2 · 0,275 = 0,55 моль
n(Na) = 2 · n(Na2CO3) = 2 · 0,025 = 0,05 моль
Определение массы и количества кислорода:
m(C) = n · M = 0,35 · 12 = 4,2 г
m(H) = n · M = 0,55 · 1 = 0,55 г
m(Na) = n · M = 0,05 · 23 = 1,15 г
m(O) = m(А) — m(C) — m(H) — m(Na)
m(O) = 7,5 — 4,2 — 0,55 — 1,15 = 1,6 г
M(O) = 16 г/моль
n(O) = m / M = 1,6 / 16 = 0,1 моль
Соотношение элементов:
n(C) : n(H) : n(O) : n(Na) = 0,35 : 0,55 : 0,1 : 0,05 = 7 : 11 : 2 : 1
Молекулярная формула вещества А: C7H11O2Na
2. Структурная формула вещества А:

3. Уравнение получения вещества Б путем электролиза водного раствора вещества А

или

При сгорании органического вещества А массой 6,2 г образовалось 5,04 л (н.у.) углекислого газа, 4,05 г воды и 2,65 г карбоната натрия. При электролизе водного раствора органического вещества А образуется вещество Б, которое содержит два третичных атома углерода на максимальном удалении друг от друга. На основании данных в задаче:
1) проведите необходимые вычисления и установите молекулярную формулу органического вещества А;
2) составьте структурную формулу вещества А, которая однозначно отражает порядок связи атомов в его молекуле;
3) напишите уравнение получения вещества Б путем электролиза водного раствора органического вещества А. Используйте структурные формулы веществ.
(задача 2025 года)
1. Установление молекулярной формулы вещества А
Общая формула вещества: CxHyOzNau
Определение количества продуктов сгорания:
Vm = 22,4 л/моль
n(CO2) = V / Vm = 5,04 / 22,4 = 0,225 моль
M(H2O) = 18 г/моль
n(H2O) = m / M = 4,05 / 18 = 0,225 моль
M(Na2CO3) = 106 г/моль
n(Na2CO3) = m / M = 2,65 / 106 = 0,025 моль
Определение количества элементов в веществе А:
n(C) = n(CO2) + n(Na2CO3) = 0,225 + 0,025 = 0,25 моль
n(H) = 2 · n(H2O) = 2 · 0,225 = 0,45 моль
n(Na) = 2 · n(Na2CO3) = 2 · 0,025 = 0,05 моль
Определение массы и количества кислорода:
m(C) = n · M = 0,25 · 12 = 3 г
m(H) = n · M = 0,45 · 1 = 0,45 г
m(Na) = n · M = 0,05 · 23 = 1,15 г
m(O) = m(А) — m(C) — m(H) — m(Na)
m(O) = 6,2 — 3 — 0,45 — 1,15 = 1,6 г
M(O) = 16 г/моль
n(O) = m / M = 1,6 / 16 = 0,1 моль
Соотношение элементов:
n(C) : n(H) : n(O) : n(Na) = 0,25 : 0,45 : 0,1 : 0,05 = 5 : 9 : 2 : 1
Молекулярная формула вещества А: C5H9O2Na
2. Структурная формула вещества А:
3. Уравнение получения вещества Б путем электролиза водного раствора вещества А
При сгорании органического вещества А массой 6,96 г образовалось 6,72 л (н.у.) углекислого газа, 2,52 г воды и 2,76 г карбоната калия. При электролизе водного раствора органического вещества А образуется вещество Б, в молекуле которого отсутствуют первичные атомы углерода. На основании данных в задаче:
1) проведите необходимые вычисления и установите молекулярную формулу органического вещества А;
2) составьте структурную формулу вещества А, которая однозначно отражает порядок связи атомов в его молекуле;
3) напишите уравнение получения вещества Б путем электролиза водного раствора органического вещества А. Используйте структурные формулы веществ.
(задача 2025 года)
1. Установление молекулярной формулы вещества А
Общая формула вещества: CxHyOzKu
Определение количества продуктов сгорания:
Vm = 22,4 л/моль
n(CO2) = V / Vm = 6,72 / 22,4 = 0,3 моль
M(H2O) = 18 г/моль
n(H2O) = m / M = 2,52 / 18 = 0,14 моль
M(K2CO3) = 138 г/моль
n(K2CO3) = m / M = 2,76 / 138 = 0,02 моль
Определение количества элементов в веществе А:
n(C) = n(CO2) + n(K2CO3) = 0,3 + 0,02 = 0,32 моль
n(H) = 2 · n(H2O) = 2 · 0,14 = 0,28 моль
n(K) = 2 · n(K2CO3) = 2 · 0,02 = 0,04 моль
Определение массы и количества кислорода:
m(C) = n · M = 0,32 · 12 = 3,84 г
m(H) = n · M = 0,28 · 1 = 0,28 г
m(K) = n · M = 0,04 · 39 = 1,56 г
m(O) = m(А) — m(C) — m(H) — m(K)
m(O) = 6,96 — 3,84 — 0,28 — 1,56 = 1,28 г
M(O) = 16 г/моль
n(O) = m / M = 1,28 / 16 = 0,08 моль
Соотношение элементов:
n(C) : n(H) : n(O) : n(K) = 0,32 : 0,28 : 0,08 : 0,04 = 8 : 7 : 2 : 1
Молекулярная формула вещества А: C8H7O2K
2. Структурная формура вещества А:
3. Уравнение получения вещества Б путем электролиза водного раствора вещества А
При сгорании 5,45 г органического вещества А образуется 3,92 л (н.у.) углекислого газа, 2,7 г воды и 2,65 г карбоната натрия. При нагревании органического вещества А со щелочью образуется вещество Б, которое не имеет π-связей, а также вторичных и четвертичных атомов углерода. На основании данных в задаче:
1) проведите необходимые вычисления и установите молекулярную формулу органического вещества А;
2) составьте структурную формулу вещества А, которая однозначно отражает порядок связи атомов в его молекуле;
3) напишите уравнение получения вещества Б из органического вещества А. Используйте структурные формулы веществ.
(задача 2025 года)
1. Установление молекулярной формулы вещества А
Общая формула вещества: CxHyOzNau
Определение количества продуктов сгорания:
Vm = 22,4 л/моль
n(CO2) = V / Vm = 3,92 / 22,4 = 0,175 моль
M(H2O) = 18 г/моль
n(H2O) = m / M = 2,7 / 18 = 0,15 моль
M(Na2CO3) = 106 г/моль
n(Na2CO3) = m / M = 2,65 / 106 = 0,025 моль
Определение количества элементов в веществе А:
n(C) = n(CO2) + n(Na2CO3) = 0,175 + 0,025 = 0,2 моль
n(H) = 2 · n(H2O) = 2 · 0,15 = 0,3 моль
n(Na) = 2 · n(Na2CO3) = 2 · 0,025 = 0,05 моль
Определение массы и количества кислорода:
m(C) = n · M = 0,2 · 12 = 2,4 г
m(H) = n · M = 0,3 · 1 = 0,3 г
m(Na) = n · M = 0,05 · 23 = 1,15 г
m(O) = m(А) — m(C) — m(H) — m(Na)
m(O) = 5,45 — 2,4 — 0,3 — 1,15 = 1,6 г
M(O) = 16 г/моль
n(O) = m / M = 1,6 / 16 = 0,1 моль
Соотношение элементов:
n(C) : n(H) : n(O) : n(Na) = 0,2 : 0,3 : 0,1 : 0,05 = 8 : 12 : 4 : 2
Молекулярная формула вещества А: C8H12O4Na2
2. Структурная формула вещества А:
3. Уравнение получения вещества Б из органического вещества А
Вещество А содержит 44,44% углерода, 29,63% кислорода, 21,30% натрия и 4,63% водорода по массе. Известно, что функциональные группы в веществе А максимально удалены друг от друга. При нагревании вещества А с гидроксидом натрия образуется вещество Б, которое не обесцвечивает бромную воду.
На основании данных в задаче:
1) проведите необходимые вычисления и установите молекулярную формулу органического вещества А;
2) составьте структурную формулу вещества А, которая однозначно отражает порядок связи атомов в его молекуле;
3) напишите уравнение получения вещества Б из органического вещества А. Используйте структурные формулы веществ.
(задача 2025 года)
1. Установление молекулярной формулы вещества А
Общая формула вещества: CxHyOzNau
Определение массовых долей элементов:
ω(C) = 44,44% = 0,4444
ω(O) = 29,63% = 0,2963
ω(Na) = 21,30% = 0,2130
ω(H) = 4,63% = 0,0463
Определение количества элементов (на 100 г вещества):
M(C) = 12 г/моль
n(C) = m / M = 44,44 / 12 = 3,703 моль
M(O) = 16 г/моль
n(O) = m / M = 29,63 / 16 = 1,852 моль
M(Na) = 23 г/моль
n(Na) = m / M = 21,30 / 23 = 0,926 моль
M(H) = 1 г/моль
n(H) = m / M = 4,63 / 1 = 4,63 моль
Соотношение элементов:
n(C) : n(H) : n(O) : n(Na) = 3,703 : 4,63 : 1,852 : 0,926 = 8 : 10 : 4 : 2
Молекулярная формула вещества А: C8H10O4Na2
2. Структурная формула вещества А:
3. Уравнение получения вещества Б из органического вещества А
При сжигании образца органического вещества массой 9,52 г получено 24,64 г углекислого газа и 5,04 г воды. Данное вещество подвергается гидролизу под действием водного раствора гидроксида натрия с образованием смеси двух солей. На основании данных в задаче:
1) проведите необходимые вычисления и установите молекулярную формулу исходного органического вещества;
2) составьте структурную формулу исходного органического вещества, которая однозначно отражает порядок связи атомов в его молекуле;
3) напишите уравнение реакции гидролиза исходного органического вещества в водном растворе гидроксида натрия. Используйте структурные формулы веществ.
(задача 2025 года)
1. Установление молекулярной формулы вещества
Общая формула вещества: CxHyOz
Определение количества продуктов сгорания:
M(CO2) = 44 г/моль
n(CO2) = m / M = 24,64 / 44 = 0,56 моль
M(H2O) = 18 г/моль
n(H2O) = m / M = 5,04 / 18 = 0,28 моль
Определение количества элементов в веществе:
n(C) = n(CO2) = 0,56 моль
n(H) = 2 · n(H2O) = 2 · 0,28 = 0,56 моль
Определение массы и количества кислорода:
m(C) = n · M = 0,56 · 12 = 6,72 г
m(H) = n · M = 0,56 · 1 = 0,56 г
m(O) = m(вещества) — m(C) — m(H)
m(O) = 9,52 — 6,72 — 0,56 = 2,24 г
M(O) = 16 г/моль
n(O) = m / M = 2,24 / 16 = 0,14 моль
Соотношение элементов:
n(C) : n(H) : n(O) = 0,56 : 0,56 : 0,14 = 4 : 4 : 1 = 8 : 8 : 2
Молекулярная формула вещества: C8H8O2
2. Структурная формула вещества:
3. Уравнение реакции гидролиза исходного вещества в водном растворе гидроксида натрия
Вещество А содержит по массе 60,38% углерода, 8,81% азота, 20,13% кислорода, а остальное – водород. Известно, что вещество А не содержит кратных связей углерод-углерод, имеет в своем составе только один третичный атом углерода и вступает в реакцию «серебряного зеркала». На основании данных в задаче:
1) проведите необходимые вычисления и установите молекулярную формулу органического вещества А;
2) составьте структурную формулу вещества А, которая однозначно отражает порядок связи атомов в его молекуле;
3) напишите уравнение реакции вещества А с водным раствором гидроксида лития при нагревании. Используйте структурные формулы веществ.
(задача 2025 года)
1. Установление молекулярной формулы вещества А
Общая формула вещества: CxHyOzNu
Определение массовых долей элементов:
ω(C) = 60,38% = 0,6038
ω(N) = 8,81% = 0,0881
ω(O) = 20,13% = 0,2013
ω(H) = 100% — 60,38% — 8,81% — 20,13% = 10,68% = 0,1068
Определение количества элементов (на 100 г вещества):
M(C) = 12 г/моль
n(C) = m / M = 60,38 / 12 = 5,032 моль
M(N) = 14 г/моль
n(N) = m / M = 8,81 / 14 = 0,629 моль
M(O) = 16 г/моль
n(O) = m / M = 20,13 / 16 = 1,258 моль
M(H) = 1 г/моль
n(H) = m / M = 10,68 / 1 = 10,68 моль
Соотношение элементов:
n(C) : n(H) : n(O) : n(N) = 5,032 : 10,68 : 1,258 : 0,629 = 8 : 17 : 2 : 1
Молекулярная формула вещества А: C8H17O2N
2. Структурная формула вещества А:
3. Уравнение реакции вещества А с водным раствором гидроксида лития при нагревании
При взаимодействии соли первичного амина с ацетатом серебра образуется органическое вещество А и хлорид серебра. Вещество А содержит 45,71% углерода, 13,33% азота и 30,48% кислорода по массе. На основании данных в задаче:
1) проведите необходимые вычисления и установите молекулярную формулу органического вещества А;
2) составьте структурную формулу вещества А, которая однозначно отражает порядок связи атомов в его молекуле;
3) напишите уравнение реакции получения вещества А взаимодействием соли первичного амина и ацетата серебра. Используйте структурные формулы веществ.
(задача 2025 года)
1. Установление молекулярной формулы вещества А
Общая формула вещества: CxHyOzNu
Определение массовых долей элементов:
ω(C) = 45,71% = 0,4571
ω(N) = 13,33% = 0,1333
ω(O) = 30,48% = 0,3048
ω(H) = 100% — 45,71% — 13,33% — 30,48% = 10,48% = 0,1048
Определение количества элементов (на 100 г вещества):
M(C) = 12 г/моль
n(C) = m / M = 45,71 / 12 = 3,809 моль
M(N) = 14 г/моль
n(N) = m / M = 13,33 / 14 = 0,952 моль
M(O) = 16 г/моль
n(O) = m / M = 30,48 / 16 = 1,905 моль
M(H) = 1 г/моль
n(H) = m / M = 10,48 / 1 = 10,48 моль
Соотношение элементов:
n(C) : n(H) : n(O) : n(N) = 3,809 : 10,48 : 1,905 : 0,952 = 4 : 11 : 2 : 1
Молекулярная формула вещества А: C4H11O2N
2. Структурная формула вещества А:
3. Уравнение реакции получения вещества А взаимодействием соли первичного амина и ацетата серебра
При сгорании 42 г органического вещества А образуется 35,84 л (н. у.) углекислого газа, 39,6 г воды и 4,48 л (н. у.) азота. Известно, что вещество А взаимодействует с водным раствором гидроксида калия при нагревании, при этом образуются два продукта, содержащие одинаковое количество атомов углерода. На основании данных в задаче:
1) проведите необходимые вычисления и установите молекулярную формулу органического вещества А;
2) составьте структурную формулу вещества А, которая однозначно отражает порядок связи атомов в его молекуле;
3) напишите уравнение реакции вещества А с водным раствором гидроксида калия при нагревании. Используйте структурные формулы веществ.
(задача 2025 года)
1. Установление молекулярной формулы вещества А
Общая формула вещества: CxHyOzNu
Определение количества продуктов сгорания:
Vm = 22,4 л/моль
n(CO2) = V / Vm = 35,84 / 22,4 = 1,6 моль
n(N2) = V / Vm = 4,48 / 22,4 = 0,2 моль
M(H2O) = 18 г/моль
n(H2O) = m / M = 39,6 / 18 = 2,2 моль
Определение количества элементов в веществе А:
n(C) = n(CO2) = 1,6 моль
n(H) = 2 · n(H2O) = 2 · 2,2 = 4,4 моль
n(N) = 2 · n(N2) = 2 · 0,2 = 0,4 моль
Определение массы и количества кислорода:
m(C) = n · M = 1,6 · 12 = 19,2 г
m(H) = n · M = 4,4 · 1 = 4,4 г
m(N) = n · M = 0,4 · 14 = 5,6 г
m(O) = m(А) — m(C) — m(H) — m(N)
m(O) = 42 — 19,2 — 4,4 — 5,6 = 12,8 г
M(O) = 16 г/моль
n(O) = m / M = 12,8 / 16 = 0,8 моль
Соотношение элементов:
n(C) : n(H) : n(O) : n(N) = 1,6 : 4,4 : 0,8 : 0,4 = 4 : 11 : 2 : 1
Молекулярная формула вещества А: C4H11O2N
2. Структурная формула вещества А:
3. Уравнение реакции вещества А с водным раствором гидроксида калия при нагревании
При сгорании органического вещества А массой 2,87 г получили 3,136 л (н.у.) углекислого газа, 448 мл (н.у.) хлороводорода, 224 мл (н.у.) азота и 1,62 г воды. Вещество А образуется при действии хлорметана на азотсодержащее вещество Б. На основании данных в задаче:
1) проведите необходимые вычисления и установите молекулярную формулу органического вещества А;
2) составьте структурную формулу вещества А, которая однозначно отражает порядок связи атомов в его молекуле;
3) напишите уравнение реакции получения вещества А из вещества Б и хлорметана. Используйте структурные формулы веществ.
(задача 2025 года)
1. Установление молекулярной формулы вещества А
Общая формула вещества: CxHyOzNuClv
Определение количества продуктов сгорания:
Vm = 22,4 л/моль
n(CO2) = V / Vm = 3,136 / 22,4 = 0,14 моль
n(HCl) = V / Vm = 0,448 / 22,4 = 0,02 моль
n(N2) = V / Vm = 0,224 / 22,4 = 0,01 моль
M(H2O) = 18 г/моль
n(H2O) = m / M = 1,62 / 18 = 0,09 моль
Определение количества элементов в веществе А:
n(C) = n(CO2) = 0,14 моль
n(H) = 2 · n(H2O) + n(HCl) = 2 · 0,09 + 0,02 = 0,2 моль
n(N) = 2 · n(N2) = 2 · 0,01 = 0,02 моль
n(Cl) = n(HCl) = 0,02 моль
Определение массы и количества кислорода:
m(C) = n · M = 0,14 · 12 = 1,68 г
m(H) = n · M = 0,2 · 1 = 0,2 г
m(N) = n · M = 0,02 · 14 = 0,28 г
m(Cl) = n · M = 0,02 · 35,5 = 0,71 г
m(O) = m(А) — m(C) — m(H) — m(N) — m(Cl)
m(O) = 2,87 — 1,68 — 0,2 — 0,28 — 0,71 = 0 г
n(O) = 0 моль
Соотношение элементов:
n(C) : n(H) : n(N) : n(Cl) = 0,14 : 0,2 : 0,02 : 0,02 = 7 : 10 : 1 : 1
Молекулярная формула вещества А: C7H10NCl
2. Структурная формула вещества А:
3. Уравнение реакции получения вещества А из вещества Б и хлорметана
При сгорании органического вещества А массой 4,38 г получили 7,04 г углекислого газа, 1,46 г хлороводорода, 448 мл (н.у.) азота и 3,96 г воды. Вещество А образуется при взаимодействии вторичного амина с хлорэтаном. На основании данных в задаче:
1) проведите необходимые вычисления и установите молекулярную формулу органического вещества А;
2) составьте структурную формулу вещества А, которая однозначно отражает порядок связи атомов в его молекуле;
3) напишите уравнение реакции получения вещества А из вторичного амина и хлорэтана. Используйте структурные формулы веществ.
(задача 2025 года)
1. Установление молекулярной формулы вещества А
Общая формула вещества: CxHyNuClv
Определение количества продуктов сгорания:
M(CO2) = 44 г/моль
n(CO2) = m / M = 7,04 / 44 = 0,16 моль
M(HCl) = 36,5 г/моль
n(HCl) = m / M = 1,46 / 36,5 = 0,04 моль
Vm = 22,4 л/моль
n(N2) = V / Vm = 0,448 / 22,4 = 0,02 моль
M(H2O) = 18 г/моль
n(H2O) = m / M = 3,96 / 18 = 0,22 моль
Определение количества элементов в веществе А:
n(C) = n(CO2) = 0,16 моль
n(H) = 2 · n(H2O) + n(HCl) = 2 · 0,22 + 0,04 = 0,48 моль
n(N) = 2 · n(N2) = 2 · 0,02 = 0,04 моль
n(Cl) = n(HCl) = 0,04 моль
Соотношение элементов:
n(C) : n(H) : n(N) : n(Cl) = 0,16 : 0,48 : 0,04 : 0,04 = 4 : 12 : 1 : 1
Молекулярная формула вещества А: C4H12NCl
2. Структурная формула вещества А:
3. Уравнение реакции получения вещества А из вторичного амина и хлорэтана
Органическое вещество А содержит по массе 35,71% углерода, 8,33% азота, 47,62% брома, а остальное – водород. Известно, что вещество А образуется в результате взаимодействия метилэтиламина с веществом Б. На основании данных в задаче:
1) проведите необходимые вычисления и установите молекулярную формулу органического вещества А;
2) составьте структурную формулу вещества А, которая однозначно отражает порядок связи атомов в его молекуле;
3) напишите уравнение реакции получения вещества А из вещества Б и метилэтиламина. Используйте структурные формулы веществ.
(задача 2025 года)
1. Установление молекулярной формулы вещества А
Общая формула вещества: CxHyNuBrv
Определение массовых долей элементов:
ω(C) = 35,71% = 0,3571
ω(N) = 8,33% = 0,0833
ω(Br) = 47,62% = 0,4762
ω(H) = 100% — 35,71% — 8,33% — 47,62% = 8,34% = 0,0834
Определение количества элементов (на 100 г вещества):
M(C) = 12 г/моль
n(C) = m / M = 35,71 / 12 = 2,976 моль
M(N) = 14 г/моль
n(N) = m / M = 8,33 / 14 = 0,595 моль
M(Br) = 80 г/моль
n(Br) = m / M = 47,62 / 80 = 0,595 моль
M(H) = 1 г/моль
n(H) = m / M = 8,34 / 1 = 8,34 моль
Соотношение элементов:
n(C) : n(H) : n(N) : n(Br) = 2,976 : 8,34 : 0,595 : 0,595 = 5 : 14 : 1 : 1
Молекулярная формула вещества А: C5H14NBr
2. Структурная формула вещества А:
3. Уравнение реакции получения вещества А из вещества Б и метилэтиламина
Органическое вещество А содержит 47,5% углерода, 6,0% водорода, 39,6% брома и азот по массе. Известно, что вещество А образуется в результате взаимодействия азотсодержащего вещества с бромэтаном. На основании данных в задаче:
1) проведите необходимые вычисления и установите молекулярную формулу органического вещества А;
2) составьте структурную формулу вещества А, которая однозначно отражает порядок связи атомов в его молекуле;
3) напишите уравнение реакции получения вещества А из азотсодержащего вещества и бромэтана. Используйте структурные формулы веществ.
(задача 2025 года)
1. Установление молекулярной формулы вещества А
Общая формула вещества: CxHyNuBrv
Определение массовых долей элементов:
ω(C) = 47,5% = 0,475
ω(H) = 6,0% = 0,060
ω(Br) = 39,6% = 0,396
ω(N) = 100% — 47,5% — 6,0% — 39,6% = 6,9% = 0,069
Определение количества элементов (на 100 г вещества):
M(C) = 12 г/моль
n(C) = m / M = 47,5 / 12 = 3,958 моль
M(H) = 1 г/моль
n(H) = m / M = 6,0 / 1 = 6,0 моль
M(Br) = 80 г/моль
n(Br) = m / M = 39,6 / 80 = 0,495 моль
M(N) = 14 г/моль
n(N) = m / M = 6,9 / 14 = 0,493 моль
Соотношение элементов:
n(C) : n(H) : n(N) : n(Br) = 3,958 : 6,0 : 0,493 : 0,495 = 8 : 12,17 : 1 : 1 ≈ 8 : 12 : 1 : 1
Молекулярная формула вещества А: C8H12NBr
2. Структурная формула вещества А:
3. Уравнение реакции получения вещества А из азотсодержащего вещества и бромэтана
При сгорании органического вещества А массой 3,03 г получили 3,136 л (н.у.) углекислого газа, 448 мл (н.у.) хлороводорода, 224 мл (н.у.) азота и 3,06 г воды. Известно, что вещество А образуется при действии хлорэтана на азотсодержащее вещество Б, молекула которого содержит четвертичный атом углерода. На основании данных в задаче:
1) проведите необходимые вычисления и установите молекулярную формулу органического вещества А;
2) составьте структурную формулу вещества А, которая однозначно отражает порядок связи атомов в его молекуле;
3) напишите уравнение реакции получения вещества А из вещества Б и хлорэтана. Используйте структурные формулы веществ.
(задача 2025 года)
1. Установление молекулярной формулы вещества А
Общая формула вещества: CxHyNuClv
Определение количества продуктов сгорания:
Vm = 22,4 л/моль
n(CO2) = V / Vm = 3,136 / 22,4 = 0,14 моль
n(HCl) = V / Vm = 0,448 / 22,4 = 0,02 моль
n(N2) = V / Vm = 0,224 / 22,4 = 0,01 моль
M(H2O) = 18 г/моль
n(H2O) = m / M = 3,06 / 18 = 0,17 моль
Определение количества элементов в веществе А:
n(C) = n(CO2) = 0,14 моль
n(H) = 2 · n(H2O) + n(HCl) = 2 · 0,17 + 0,02 = 0,36 моль
n(N) = 2 · n(N2) = 2 · 0,01 = 0,02 моль
n(Cl) = n(HCl) = 0,02 моль
Определение массы и количества кислорода:
m(C) = n · M = 0,14 · 12 = 1,68 г
m(H) = n · M = 0,36 · 1 = 0,36 г
m(N) = n · M = 0,02 · 14 = 0,28 г
m(Cl) = n · M = 0,02 · 35,5 = 0,71 г
m(O) = m(А) — m(C) — m(H) — m(N) — m(Cl)
m(O) = 3,03 — 1,68 — 0,36 — 0,28 — 0,71 = 0 г
Соотношение элементов:
n(C) : n(H) : n(N) : n(Cl) = 0,14 : 0,36 : 0,02 : 0,02 = 7 : 18 : 1 : 1
Молекулярная формула вещества А: C7H18NCl
2. Структурная формула вещества А:
3. Уравнение реакции получения вещества А из вещества Б и хлорэтана
При сгорании органического вещества А массой 8,9 г получили 15,68 л (н.у.) углекислого газа и 4,5 г воды. Известно, что вещество А не содержит атомов углерода в sp3 –гибридизации, а при его окислении сернокислым раствором перманганатом калия образуется только одно органическое соединение – бензойная кислота. На основании данных в задаче:
1) проведите необходимые вычисления и установите молекулярную формулу органического вещества А;
2) составьте структурную формулу вещества А, которая однозначно отражает порядок связи атомов в его молекуле;
3) напишите уравнение реакции окисления вещества А раствором перманганата калия, подкисленным серной кислотой. Используйте структурные формулы веществ.
(задача 2025 года)
1. Установление молекулярной формулы вещества А
Общая формула вещества: CxHy
Определение количества продуктов сгорания:
Vm = 22,4 л/моль
n(CO2) = V / Vm = 15,68 / 22,4 = 0,7 моль
M(H2O) = 18 г/моль
n(H2O) = m / M = 4,5 / 18 = 0,25 моль
Определение количества элементов в веществе А:
n(C) = n(CO2) = 0,7 моль
n(H) = 2 · n(H2O) = 2 · 0,25 = 0,5 моль
Определение массы и количества кислорода:
m(C) = n · M = 0,7 · 12 = 8,4 г
m(H) = n · M = 0,5 · 1 = 0,5 г
m(O) = m(А) — m(C) — m(H)
m(O) = 8,9 — 8,4 — 0,5 = 0 г
Соотношение элементов:
n(C) : n(H) = 0,7 : 0,5 = 7 : 5 = 14 : 10
Молекулярная формула вещества А: C14H10
2. Структурная формула вещества А:
3. Уравнение реакции окисления вещества А раствором перманганата калия, подкисленным серной кислотой
При сгорании органического вещества А массой 9 г получили 15,68 л (н.у.) углекислого газа и 5,4 г воды. Известно, что вещество А не содержит атомов углерода в sp3 –гибридизации, а при его окислении сернокислым раствором перманганатом калия образуется только одно органическое соединение – бензойная кислота. На основании данных в задаче:
1) проведите необходимые вычисления и установите молекулярную формулу органического вещества А;
2) составьте структурную формулу вещества А, которая однозначно отражает порядок связи атомов в его молекуле;
3) напишите уравнение реакции окисления вещества А раствором перманганата калия, подкисленным серной кислотой. Используйте структурные формулы веществ.
(задача 2025 года)
1. Установление молекулярной формулы вещества А
Общая формула вещества: CxHy
Определение количества продуктов сгорания:
Vm = 22,4 л/моль
n(CO2) = V / Vm = 15,68 / 22,4 = 0,7 моль
M(H2O) = 18 г/моль
n(H2O) = m / M = 5,4 / 18 = 0,3 моль
Определение количества элементов в веществе А:
n(C) = n(CO2) = 0,7 моль
n(H) = 2 · n(H2O) = 2 · 0,3 = 0,6 моль
Определение массы и количества кислорода:
m(C) = n · M = 0,7 · 12 = 8,4 г
m(H) = n · M = 0,6 · 1 = 0,6 г
m(O) = m(А) — m(C) — m(H)
m(O) = 9 — 8,4 — 0,6 = 0 г
Соотношение элементов:
n(C) : n(H) = 0,7 : 0,6 = 7 : 6 = 14 : 12
Молекулярная формула вещества А: C14H12
2. Структурная формула вещества А:
3. Уравнение реакции окисления вещества А раствором перманганата калия, подкисленным серной кислотой
При сгорании органического вещества А массой 2,65 г получили 4,48 л (н.у.) углекислого газа и 2,25 г воды. Известно, что при окислении вещества А сернокислым раствором перманганата калия при нагревании образуется одноосновная кислота и выделяется углекислый газ. На основании данных в задаче:
1) проведите необходимые вычисления и установите молекулярную формулу органического вещества А;
2) составьте структурную формулу вещества А, которая однозначно отражает порядок связи атомов в его молекуле;
3) напишите уравнение реакции окисления вещества А раствором перманганата калия, подкисленным серной кислотой. Используйте структурные формулы веществ.
(задача 2025 года)
1. Установление молекулярной формулы вещества А
Общая формула вещества: CxHy
Определение количества продуктов сгорания:
Vm = 22,4 л/моль
n(CO2) = V / Vm = 4,48 / 22,4 = 0,2 моль
M(H2O) = 18 г/моль
n(H2O) = m / M = 2,25 / 18 = 0,125 моль
Определение количества элементов в веществе А:
n(C) = n(CO2) = 0,2 моль
n(H) = 2 · n(H2O) = 2 · 0,125 = 0,25 моль
Определение массы и количества кислорода:
m(C) = n · M = 0,2 · 12 = 2,4 г
m(H) = n · M = 0,25 · 1 = 0,25 г
m(O) = m(А) — m(C) — m(H)
m(O) = 2,65 — 2,4 — 0,25 = 0 г
Соотношение элементов:
n(C) : n(H) = 0,2 : 0,25 = 4 : 5 = 8 : 10
Молекулярная формула вещества А: C8H10
2. Структурная формула вещества А:
3. Уравнение реакции окисления вещества А раствором перманганата калия, подкисленным серной кислотой
