



Выберите два утверждения, справедливые для ацетилена
1) все атомы углерода в состоянии sp2-гибридизации
2) имеет структурные изомеры
3) является непредельным углеводородом
4) хорошо растворим в воде
5) при нормальных условиях является газом
РешениеОтвет: 35
Выберите два утверждения, справедливые для алкинов
1) являются предельными углеводородами
2) вступают в реакции присоединения
3) могут существовать в виде цис-, транс-изомеров
4) содержат атомы углерода молекулах в состоянии sp2-гибридизации
5) обесцвечивают бромную воду
РешениеОтвет: 25
Выберите два утверждения, справедливые для всех алкинов.
1) имеют общую формулу CnH2n
2) атомы углерода в молекулах связаны между собой только σ-связями
3) реагируют с натрием
4) реагируют с бромом
5) могут быть получены из дигалогеналканов
РешениеОтвет: 45
Выберите два утверждения, справедливые для этина
1) плохо растворим в воде
2) имеет межклассовые изомеры
3) является основным компонентом природного газа
4) может быть получен гидролизом карбида кальция
5) молекула имеет тетраэдрическое строение
РешениеОтвет: 14
Выберите два утверждения, справедливые для пропина.
1) вступает в реакцию замещения без разрыва тройной связи
2) при тримеризации образует 1,3,5-триметилбензол
3) может быть получен при гидролизе карбида алюминия
4) является жидкостью, при обычных условиях
5) не обесцвечивают водный раствор перманганата калия
РешениеОтвет: 12
Выберите два утверждения, справедливые для бутина -1
1) вступает в реакции замещения с [Ag(NH3)2]OH
2) в реакции гидратации образует бутанол-2
3) образуется при дегидрировании бутана
4) реагирует с бромной водой
5) является изомеров изопрена
РешениеОтвет: 14
Выберите два утверждения, справедливые для бутина-1.
1) не вступает в реакцию с водой
2) вступает в реакции замещения с [Cu(NH3)2]Cl
3) при гидратации образует альдегид
4) является изомером дивинила
5) способен присоединить только 1 моль водорода
РешениеОтвет: 24
Выберите два утверждения, которые справедливы и для бутина-1, и для бутина-2.
1) 1 моль углеводорода при гидратации может присоединить только 1 моль воды
2) являются жидкостями при обычных условиях
3) вступают в реакции замещения с аммиачным раствором оксида серебра
4) среди продуктов реакции с подкисленным раствором KMnO4 есть карбоновые кислоты
5) могут быть получены из 2-хлорбутана в одну стадию
РешениеОтвет: 14
Выберите два утверждения, которые справедливы для бутина-1 и бутина-2.
1) при гидратации образуют одно и то же вещество
2) молекулы имеют плоское строение
3) могут быть получены из 1,1-дибромбутана и 2,3-дибромбутана соответственно
4) вступают в реакции замещения с натрием
5) могут существовать в виде цис-, транс -изомеров
РешениеОтвет: 13
Выберите два утверждения, справедливые для всех алкинов.
1) обесцвечивание бромной воды
2) реагируют с аммиачным раствором оксида серебра
3) наличие структурных изомеров
4) хорошо растворимы в воде
5) имеют общую формулу гомологического ряда CnH2n-2
РешениеОтвет: 15
Выберите два утверждения, справедливые для всех алкинов.
1) молекулы имеют плоское строение
2) все атомы углерода в молекулах связаны π-связями
3) относятся к непредельным углеводородам
4) вступают в реакциию дегидратации
5) плохо растворимы в воде
РешениеОтвет: 35
Выберите два утверждения, которые не справедливы в отношении алкинов.
1) могут существовать в виде цис-, транс-изомеров
2) горят на воздухе
3) содержат атомы углерода в состоянии sp-гибридизации
4) вступают в реакции гидрирования
5) при взаимодействии с водным раствором перманганата калия образуют гликоли
РешениеОтвет: 15
Выберите два утверждения, которые справедливы и для этилена, и для ацетилена.
1) относятся к классу алкенов
2) при нормальных условиях являются газами
3) обесцвечивают бромную воду
4) содержат атомы углерода в состоянии sp-гибридизации
5) имеют общую формулу гомологического ряда CnH2n
РешениеОтвет: 23
Выберите два утверждения, которые справедливы и для этана, и для ацетилена
1) обесцвечивают водный раствор перманганата калия
2) плохо растворимы в воде
3) образуют взрывчатые смеси с воздухом
4) содержат π-связи в молекулах
5) могут вступать в реакции полимеризации
РешениеОтвет: 23
Выберите два утверждения, которые справедливы и для пропана, и для пропина.
1) вступают в реакции гидратации
2) способны к окислению кислородом
3) имеют межклассовые изомеры
4) реагируют с бромом
5) все атомы углерода в молекулах в находятся состоянии sp3-гибридизации
РешениеОтвет: 24
Из предложенного перечня реакций, выберите две таких, в которые может вступать этин.
1) дегидрирование
2) изомеризация
3) тримеризация
4) галогенирование
5) гидролиз
РешениеОтвет: 34
Из предложенного перечня реакций, выберите две таких, в которые может вступать пропин
1) дегалогенирование
2) гидратация
3) окисление
4) поликонденсация
5) дегидратация
РешениеОтвет: 23
Из предложенного перечня реакций, выберите две таких, в которые может вступать бутин-2.
1) гидролиз
2) галогенирование
3) обмена
4) гидрогалогенирование
5) дегидрирование
РешениеОтвет: 24
Из предложенного перечня реакций, выберите две таких, в которые может вступать этин
1) замещение
2) дегидроциклизация
3) дегидрирование
4) поликонденсация
5) окисление
РешениеОтвет: 15
Из предложенного перечня выберите два вещества, которые являются гомологами пропина.
1) ацетилен
2) этилен
3) бутин-1
4) бутен-1
5) циклопропан
РешениеОтвет: 13
Из предложенного перечня выберите два вещества, которые являются друг другу структурными изомерами.
1) бутадиен-1,3
2) бутин-2
3) пропин
4) пентин-2
5) этин
РешениеОтвет: 12
Из предложенного перечня выберите два вещества, которые являются структурными изомерами бутина-1
1) бутен-1
2) пропин
3) бутадиен-1,3
4) бутин-2
5) пентин-1
РешениеОтвет: 34
Из предложенного перечня выберите два вещества, которые являются структурными изомерами бутина-2.
1) бутен-2
2) бутадиен-1,2
3) пропадиен
4) изопрен
5) бутин-1
РешениеОтвет: 25
Из предложенного перечня выберите два вещества, которые являются структурными изомерами пентина-2.
1) 3-метилбутин-1
2) пентин-1
3) 3-метилпентин-1
4) гексин-2
5) пентен-1
РешениеОтвет: 12
Из предложенного перечня выберите два вещества, которые являются структурными изомерами пентина-1.
1) пентадиен-1,3
2) гексадиен-1,3
3) бутадиен-1,3
4) бутин-1
5) 3-метилбутин-1
РешениеОтвет: 15
Из предложенного перечня выберите два вещества, которые имеют в составе молекул атомы углерода в состоянии sp-гибридизации.
1) изопрен
2) ацетилен
3) этилен
4) пропин
5) бутадиен-1,3
РешениеОтвет: 24
Из предложенного перечня выберите два вещества, которые имеют в составе атом углерода в состоянии sp-гибридизации
1) дивинил
2) пропилен
3) этилен
4) бутин-2
5) бутадиен-1,2
РешениеОтвет: 45
Из предложенного перечня соединений, выберите два вещества, с которыми может вступать в реакцию этин.
1) метан
2) гидроксид калия
3) аммиачный раствор оксида серебра
4) бромная вода
5) хлорид натрия
РешениеОтвет: 34
Из предложенного перечня соединений, выберите два вещества, с которыми может вступать в реакцию пропин.
1) оксид меди (II)
2) раствор перманганата калия
3) гидроксид калия
4) медь
5) калий
РешениеОтвет: 25
Из предложенного перечня соединений, выберите два вещества, с которыми может вступать в реакцию ацетилен
Ответ: 12
Из предложенного перечня соединений, выберите два вещества, с которыми может вступать в реакцию бутин-2.
Ответ: 35
Из предложенного перечня соединений, выберите два вещества, которые могут вступать в реакцию гидратации.
1) пропан
2) пропен
3) циклопентан
4) этин
5) бутан
РешениеОтвет: 24
Из предложенного перечня соединений, выберите два вещества, которые могут вступать в реакцию гидрогалогенирования.
1) метан
2) циклопропан
3) циклопентан
4) пропин
5) метилпропан
РешениеОтвет: 24
Из предложенного перечня соединений, выберите два вещества, которые могут вступать в реакцию олигомеризации.
1) пропин
2) метан
3) ацетилен
4) циклопентан
5) метилциклогексан
РешениеОтвет: 13
Из предложенного перечня соединений, выберите два вещества, которые не могут вступать в реакцию гидрогалогенирования.
1) этилен
2) циклопропан
3) 1,2-диметилциклопентан
4) бутин-2
5) бутан
РешениеОтвет: 35
Из предложенного перечня соединений, выберите два вещества, которые могут вступать в реакцию с натрием.
1) пропан
2) пропен
3) метилхлорид
4) этилен
5) бутин-1
РешениеОтвет: 35
Из предложенного перечня соединений, выберите два вещества, которые могут вступать в реакцию с натрием.
1) циклопропан
2) метилпропан
3) пропин
4) 1-хлорпропан
5) бутин-2
РешениеОтвет: 34
Из предложенного перечня соединений, выберите два вещества, которые могут вступать в реакцию гидратации.
1) этан
2) циклогексен
3) циклопентан
4) пропин
5) циклогексан
РешениеОтвет: 24
Из предложенного перечня соединений, выберите два вещества, которые могут вступать в реакцию тримеризации.
1) пропан
2) пропин
3) ацетилен
4) этан
5) циклогексан
РешениеОтвет: 23
Из предложенного перечня соединений, выберите два вещества, с которыми могут вступать в реакцию как ацетилен, так и этан.
1) хлор
2) водород
3) натрий
4) хлороводород
5) кислород
РешениеОтвет: 15
Из предложенного перечня соединений, выберите два вещества, с которыми могут вступать в реакцию как ацетилен, так и этан.
1) бромная вода
2) хлор
3) кислород
4) раствор перманганата калия
5) аммиачный раствор оксида серебра
РешениеОтвет: 23
Из предложенного перечня соединений, выберите два вещества, с которыми могут вступать в реакцию как пропин, так и пропен
1) гидроксид натрия
2) бромоводород
3) бромная вода
4) метан
5) циклопентан
РешениеОтвет: 23
Из предложенного перечня соединений, выберите два вещества, с которыми могут вступать в реакцию как бутин-1, так и бутин-2.
Ответ: 34
Из предложенного перечня соединений, выберите два вещества, с которыми могут вступать в реакцию как пропин, так и пропан
1) бромная вода
2) перманганат калия
3) кислород
4) водород
5) хлор
РешениеОтвет: 35
Из предложенного перечня соединений, выберите два вещества, с которыми могут вступать в реакцию как бутен-2, так и бутин-2.
Ответ: 12
Из предложенного перечня, выберите две пары веществ, с каждым из которых реагирует пропин.
Ответ: 24
Из предложенного перечня реакций выберите две, которые могут быть использованы для синтеза ацетилена.
1) CH4
2) CH3Cl + H2O
3) CH4
4) CH2Cl-CH2Cl + 2NaOH
5) CH2=CH2 + H2
РешениеОтвет: 14
Из предложенного перечня реакций выберите две такие, с помощью которых может быть получен пропин.
1) NaC≡C-CH3 + CH3Cl
2) NaC≡C-CH3 + HCl
3) CH2=CH-CH3 + H2
4) CH2Cl-CHCl-CH3 + 2KOH(спирт)
5) CH2Cl-CHCl-CH3 + 2KOH(водн)
РешениеОтвет: 24
Представлена следующая схема превращений веществ:
1,2-дихлорэтан ацетилен
ацетиленид серебра
Определите, какие из указанных веществ являются веществами X и Y
1) Ag
2) H2O
3) KOH (водный раствор)
4) [Ag(NH3)2]OH
5) KOH (спиртовой раствор)
РешениеОтвет: 54
Представлена следующая схема превращений веществ:
1,2-дихлорпропан Х
диметилкетон
Определите, какие из указанных веществ являются веществами X и Y
1) H2O
2) Н2С=СН-СН3
4) НС≡С-СН3
5) Н2
Ответ: 41
Представлена следующая схема превращений веществ:
ацетилен Х
Y
Определите, какие из указанных веществ являются веществами X и Y.
1) 1,2- дихлорэтан
2) этанол
3) этин
4) ацетальдегид
5) 1,1-дихлорэтан
РешениеОтвет: 53
Представлена следующая схема превращений веществ:
карбид кальция Х
Y
Определите, какие из указанных веществ являются веществами X и Y
1) CuC≡C-CH3
2) CH4
3) HC≡CH
4) Cu2C2
5) HC≡C― HC=CH2
РешениеОтвет: 34
Представлена следующая схема превращений веществ:
ацетиленид натрия ацетилен
Y
Определите, какие из указанных веществ являются веществами X и Y.
1) водород
2) 1,3,5-триметилбензол
3) бензол
4) бромоводород
5) хлорметан
РешениеОтвет: 43
Представлена следующая схема превращений веществ:
NaC≡C-CH3 X
ацетат калия
Определите, какие из указанных веществ являются веществами X и Y
1) НC≡C-CH3
2) KMnO4 (H2SO4)
3) HC≡C-CH2-CH3
4) H3C-C≡C-CH3
5) KMnO4 (KOH)
РешениеОтвет: 45
Представлена следующая схема превращений веществ:
C2H2 HC≡C-CH=CH2
H2C=CH-CH=CH2
Определите, какие из указанных веществ являются веществами X и Y.
Ответ: 34
Установите соответствие между названием вещества и классом/группой органических соединений, к которому(-ой) это вещество принадлежит: к каждой позиции, обозначенной буквой, подберите соответствующую позицию, обозначенную цифрой.
| ВЕЩЕСТВО | КЛАСС/ГРУППА ОРГАНИЧЕСКИХ СОЕДИНЕНИЙ |
| А) пропин Б) пропан В) бутен-1 Г) циклопропан | 1) алканы 2) алкины 3) алкены 4) циклоалканы 5) арены |
Запишите в таблицу выбранные цифры под соответствующими буквами.
| А | Б | В | Г |
Ответ: 2134
Установите соответствие между формулами веществ и реагентом, с помощью которого их можно различить: к каждой позиции, обозначенной буквой, подберите соответствующую позицию, обозначенную цифрой
| ФОРМУЛЫ ВЕЩЕСТВ | РЕАГЕНТ |
| А) пропан и пропен Б) пропин и пропен В) бутин-1 и бутин-2 Г) циклогексан и пентин-2 | 1) лакмус 2) H2O 3) [Ag(NH3)2]OH 4) Ag 5) Br2(водн) |
Запишите в таблицу выбранные цифры под соответствующими буквами.
| А | Б | В | Г |
Ответ: 5335
Установите соответствие между формулами веществ и реагентом, с помощью которого их можно различить: к каждой позиции, обозначенной буквой, подберите соответствующую позицию, обозначенную цифрой
| ФОРМУЛЫ ВЕЩЕСТВ | РЕАКТИВ |
| А) этилен и ацетилен Б) этан и пропен В) бутин-1 и бутен-2 Г) циклогексен и пентан | 1) метилоранж 2) NaOH 3) Na 4) KMnO4(водн) 5) HCl |
Запишите в таблицу выбранные цифры под соответствующими буквами.
| А | Б | В | Г |
Ответ: 3434
Установите соответствие между формулой углеводорода и основным продуктом его взаимодействия с хлороводородом при мольном соотношении 1:1: к каждой позиции, обозначенной буквой, подберите соответствующую позицию, обозначенную цифрой.
| УГЛЕВОДОРОД | ПРОДУКТ ВЗАИМОДЕЙСТВИЯ |
| 1) пропен 2) 2-метилпропен 3) 3-метилбутин-1 4) циклопропан | 1) 3-метил-2-хлорбутен-1 2) 1-хлорпропан 3) 2,3-диметил-2-хлорбутан 4) 2-хлорпропан 5) 2,3-диметил-2,3-дихлорбутан 6) 2-метил-2-хлорпропан |
Запишите в таблицу выбранные цифры под соответствующими буквами.
| А | Б | В | Г |
Ответ: 4612
Установите соответствие между формулой алкина и основным продуктом его взаимодействия с избытком бромоводорода: к каждой позиции, обозначенной буквой, подберите соответствующую позицию, обозначенную цифрой.
| АЛКИН | ПРОДУКТ ВЗАИМОДЕЙСТВИЯ |
| 1) пропин 2) 3-метилбутин-1 3) бутин-1 4) этин | 1) 1,1-дибромэтан 2) 1,1-дибромпропан 3) 3,3-дибром-2-метилбутан 4) 2,2-дибромпропан 5) 2,2-дибром-3-метилбутан 6) 2,2-дибромбутан |
Запишите в таблицу выбранные цифры под соответствующими буквами.
| А | Б | В | Г |
Ответ: 4561
Установите соответствие между названием алкина и продуктом его взаимодействия с водой: к каждой позиции, обозначенной буквой, подберите соответствующую позицию, обозначенную цифрой.
| АЛКИН | ПРОДУКТ ВЗАИМОДЕЙСТВИЯ |
| А) этин Б) 3-метилбутин-1 В) бутин-1 Г) бутин-2 | 1) этанол 2) пропанол-2 3) бутанон 4) 3-метилбутанон 5) 3-метилбутанол-2 6) ацетальдегид |
Запишите в таблицу выбранные цифры под соответствующими буквами.
| А | Б | В | Г |
Ответ: 6433
Установите соответствие между названием органического вещества и продуктом его взаимодействия со спиртовым раствором щелочи: к каждой позиции, обозначенной буквой, подберите соответствующую позицию, обозначенную цифрой.
| РЕАГЕНТЫ | ПРОДУКТ ВЗАИМОДЕЙСТВИЯ |
| А) 1,1-дихлорэтан Б) 2-хлорпропан В) 2,2-дихлорпропан Г) 2,2-дибромбутан | 1) пропилен 2) бутин-1 3) бутин-2 4) 2-метилпропен 5) пропин 6) ацетилен |
Запишите в таблицу выбранные цифры под соответствующими буквами.
| А | Б | В | Г |
Ответ: 6153
Установите соответствие между дигалогеналканом и продуктом его взаимодействия со спиртовым раствором щелочи: к каждой позиции, обозначенной буквой, подберите соответствующую позицию, обозначенную цифрой.
| РЕАГЕНТЫ | ПРОДУКТ ВЗАИМОДЕЙСТВИЯ |
| А) 1,2-дихлорэтан Б) 1,2-дихлорпропан В) 2,3-дибромбутан Г) 1,1-дибромбутан | 1) пропилен 2) бутин-1 3) бутин-2 4) ацетилен 5) пропин 6) 2-метилпропен |
Запишите в таблицу выбранные цифры под соответствующими буквами.
| А | Б | В | Г |
Ответ: 4532
Установите соответствие между схемой реакции и продуктом этой реакции: к каждой позиции, обозначенной буквой, подберите соответствующую позицию, обозначенную цифрой.
| СХЕМА РЕАКЦИИ | УГЛЕРОДСОДЕРЖАЩИЙ ПРОДУКТ РЕАКЦИИ |
| А) СН≡СН Б) НС≡С-СН3 В) СН3-С≡С-СН3 Г) СН3-С≡С-СН3 | 1) ацетат калия 2) уксусная кислота и углекислый газ 3) ацетальдегид 4) ацетон 5) уксусная кислота 6) оксалат калия |
Запишите в таблицу выбранные цифры под соответствующими буквами.
| А | Б | В | Г |
Ответ: 6251
Установите соответствие между формулой углеводорода и продуктом, который образуется при его окислении: к каждой позиции, обозначенной буквой, подберите соответствующую позицию, обозначенную цифрой.
| РЕАГЕНТ | ОРГАНИЧЕСКИЙ ПРОДУКТ РЕАКЦИИ |
| А) СН2=СН2 + О2 Б) СН≡СН В) СН2=СН2 Г) СН3-СН2-С≡С-СН3 | 1) пропановая и уксусная кислоты 2) углекислый газ 3) пропановая кислота и углекислый газ 4) ацетальдегид 5) уксусная кислота 6) этиленгликоль |
Запишите в таблицу выбранные цифры под соответствующими буквами.
| А | Б | В | Г |
Ответ: 4261
Установите соответствие между формулой углеводорода и продуктом, который образуется при окислении: к каждой позиции, обозначенной буквой, подберите соответствующую позицию, обозначенную цифрой.
| РЕАГЕНТ | ОРГАНИЧЕСКИЙ ПРОДУКТ РЕАКЦИИ |
| А) пропилен + KMnO4 + H2SO4 Б) бутин-2 + KMnO4 + H2SO4 В) бутин-1 + KMnO4 + H2SO4 Г) циклогексен + KMnO4 + H2SO4 | 1) адипиновая кислота 2) пропионовая и уксусная кислоты 3) пропановая кислота и оксид углерода (IV) 4) уксусная кислота и углекислый газ 5) уксусная кислота 6) пропановая кислота |
Запишите в таблицу выбранные цифры под соответствующими буквами.
| А | Б | В | Г |
Ответ: 4531
Установите соответствие между схемой реакции и органическим веществом образующимися при их взаимодействии: к каждой позиции, обозначенной буквой, подберите соответствующую позицию, обозначенную цифрой.
| РЕАГЕНТЫ | ПРОДУКТ ВЗАИМОДЕЙСТВИЯ |
| А) 1,3-дихлорпропан + цинк Б) 2,2-дихлорпропан + КОН(спирт) В) пропин + HCl(избыток) Г) бутин-1 + Н2 (недостаток) | 1) бутен-2 2) пропин 3) 2,2-дихлорпропан 4) циклопропан 5) бутен-1 6) 1,1-дихлорпропан |
Запишите в таблицу выбранные цифры под соответствующими буквами.
| А | Б | В | Г |
Ответ: 4235
Установите соответствие между исходными веществами и продуктом, который образуется в результате реакции между ними: к каждой позиции, обозначенной буквой, подберите соответствующую позицию, обозначенную цифрой.
| ИСХОДНЫЕ ВЕЩЕСТВА | ПРОДУКТ РЕАКЦИИ |
| А) ацетилен Б) этин В) пропин Г) пропин | 1) толуол 2) пропанон 3) этаноат серебра 4) ацетиленид серебра 5) пропаналь 6) бензол 7) 1,3,5-триметилбензол |
Запишите в таблицу выбранные цифры под соответствующими буквами.
| А | Б | В | Г |
Ответ: 6427
Напишите уравнения реакций, с помощью которых можно осуществить следующие превращения
CaC2 X1
X2
X1
X3
X4

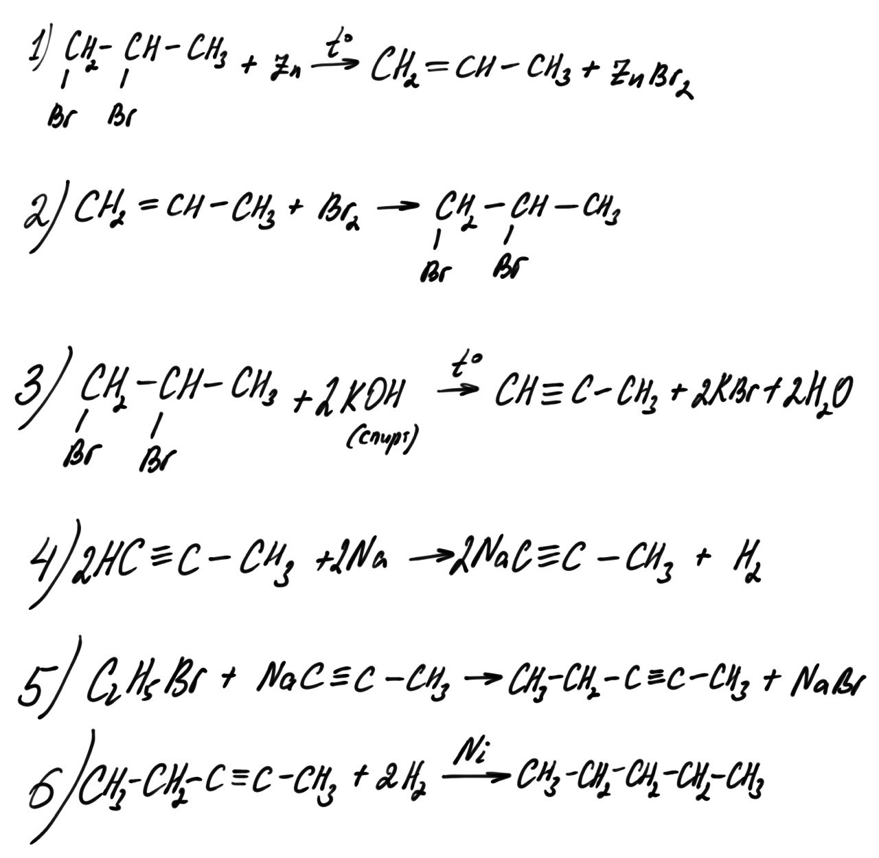
Напишите уравнения реакций, с помощью которых можно осуществить следующие превращения
1,2-дибромпропан X1
X2
X3
X4
X5
X6

Напишите уравнения реакций, с помощью которых можно осуществить следующие превращения
метан этин
1,1-дихлорэтан
этин
C2HNa
пропин
C9H12

Напишите уравнения реакций, с помощью которых можно осуществить следующие превращения
этанол этилен
1,2-дибромэтан
ацетилен
винилацетилен
хлоропрен

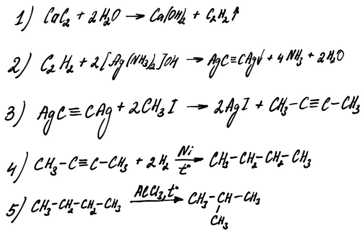
Напишите уравнения реакций, с помощью которых можно осуществить следующие превращения
карбид кальция X1
Ag2C2
X2
X3
X4
X5

разве у ацетилена не плоское строение ?
Линейное строение. Под плоским строением обычно понимают ситуацию, когда не все атомы лежат на одной линии.
Вопрос 11. Почему вариант ответа 4) не верен (алкины не вступают в реакцию дегидратации)
Спасибо за поправку, действительно, при изначальных вариантах ответов подходило три ответа вместо двух. Исправлено
В номере 54 ответ 42
неверно, в случае пункта два будет кислота, а не ацетат калия
Прекрасная тренировка, спасибо вам <3
рады стараться
У Вас нет решения на органические цепочки
я знаю. когда будет время оформлю.
Здравствуйте, как можно проверить цепочки на органику на правильность?
Добрый день! При возможности добавим решения.
Тоже столкнулась с этой проблемой. Если вам ещё нужна помощь, то советую просто забивать реакцию в поисковике, вся нужная информация уже есть на просторах интернета. Проблема может возникнуть только в разных реагентах, но особой разницы в этом нет.
У вас в 1 цепочке два раза X 1 написано
так как там одно и то же вещество
В задании 3 говориться что не все алкины реагируют с натрием , а какие не реагируют?
не у которых тройная связь не на конце молекулы
в цепочке 3 как получить из этина 1, 1-дихлорэтан? это возможно?
а какие проблемы. присоединение хлороводорода.
Задание 27. Бутадиен имеет sp-2 гибридизацию
в задании фигугирует не бутадиен-1,3, а бутадиен-1,2
А ответы на органические цепочки нам еще долго ждать? Прошло более 9 месяцев…
Добрый день! Этот сезон был достаточно напряженным по части работы, не всегда удается опубликовать запланированное. А манеру сообщений рекомендую несколько изменить, если хотите, чтобы вам и в будущем здесь отвечали.
в 53 разве ответ не 53?
Добрый день! При добавлении хлорметана получили бы удлинение цепи, а его по условию происходить не должно.
Добрый вечер! Подскажите, пожалуйста, если в алкине есть и двойная связь, разве у него не будет sp2 гибридизация?
Атом углерода при тройной связи находится в sp-гибридизации, при двойной — sp2.
Доброе утро! А если в пропине написать черточку между углеродом и серебром C-Ag, то такой вариант структурной формулы засчитают в 35 задаче или за это снимут балл?
Пока не снимут, но не вижу смысла ставить обозначение ковалентной связи там, где это под вопросом.
При взаимодействии с аммиачным раствором оксида серебра сколько атомов водорода я могу заменять на серебро? Верным, будет ли считаться вещество после замещения, если я заменяла у этина только один атом водорода?
Добрый день! Заместить можно только атом водорода, непосредственно находящийся при тройной связи. Это возможно в случае терминальных (концевых) алкинов, а такой атом там один. У ацетилена их два, так все зависит от избытка/недостатка второго реагента.
Добрый день! В задании №10 на установление соответствия при окислении ацетилена перманганатом калия в кислой среде получается углекислый газ. А почему не щавелевая кислота?
Добрый день! Щавелевая кислота тоже окисляется перманганатом в кислой среде.
Спасибо!
Добрый день! Во всех учебниках пишут окисление до щавелевой кислоты, а как правильно? Или возможны оба варианта и это зависит от температуры?
Окисление щавелевой кислоты перманганатом вполне возможно и известно. На бумаге можно оба варианта сделать и даже придумать условия, но не уверен, что так будет на практике.
Здравствуйте, заранее благодарю за ответ, не могли бы вы подсказать, почему лакмусом нельзя отличить алкин от алкена? Алкины с крайней тройной связью же проявляют кислотные свойства, а по логике это значит, что и лакмус должен краситься…
Добрый день! Кислотность алкинов незначительна даже на фоне воды, поэтому никак на лакмус они подействовать не могут.
здравствуйте,при кислотном гидролизе карбида кальция образуется не хлорэтен?задание 52
Добрый день! Нет
в 27 задании бутадиен-1,2 не имеет атомов углерода в состоянии sp-гибридизации
Добрый день! Имеет. Если к атому углерода подходят две двойные связи, то у него будет sp-гибридизация.
Когда ответы на цепочки добавят
спасибо за напоминание. буду разбирать на прямых эфирах заодно оформлю решения
добавлены
3 цепочка 4 пункт разве просто металлический натрий будет вытеснять водород ? По -моему реакция должна выглядеть так : C2H2+NaH= C2HNa +Н2
Базовая ЕГЭ реакция из ЕГЭ. Терминальные алкины (с концевой тройной СС связью) реагируют с активными металлами.
