Если вы готовы заниматься и настроены на получение высоких баллов на ЕГЭ по Химии
Баннер 4Тогда этот курс для вас!
Баннер 4-1
Уникальная разработанная система вебинаров с домашними заданиями и системой онлайн тестирования.
ЗАПИСАТЬСЯ НА КУРС

Задания №32. Органические цепочки.

Запись на курс подготовки к ЕГЭ 2026

при создании подборки использовались материалы И.С. Ермолаева из ВК сообщества examtop

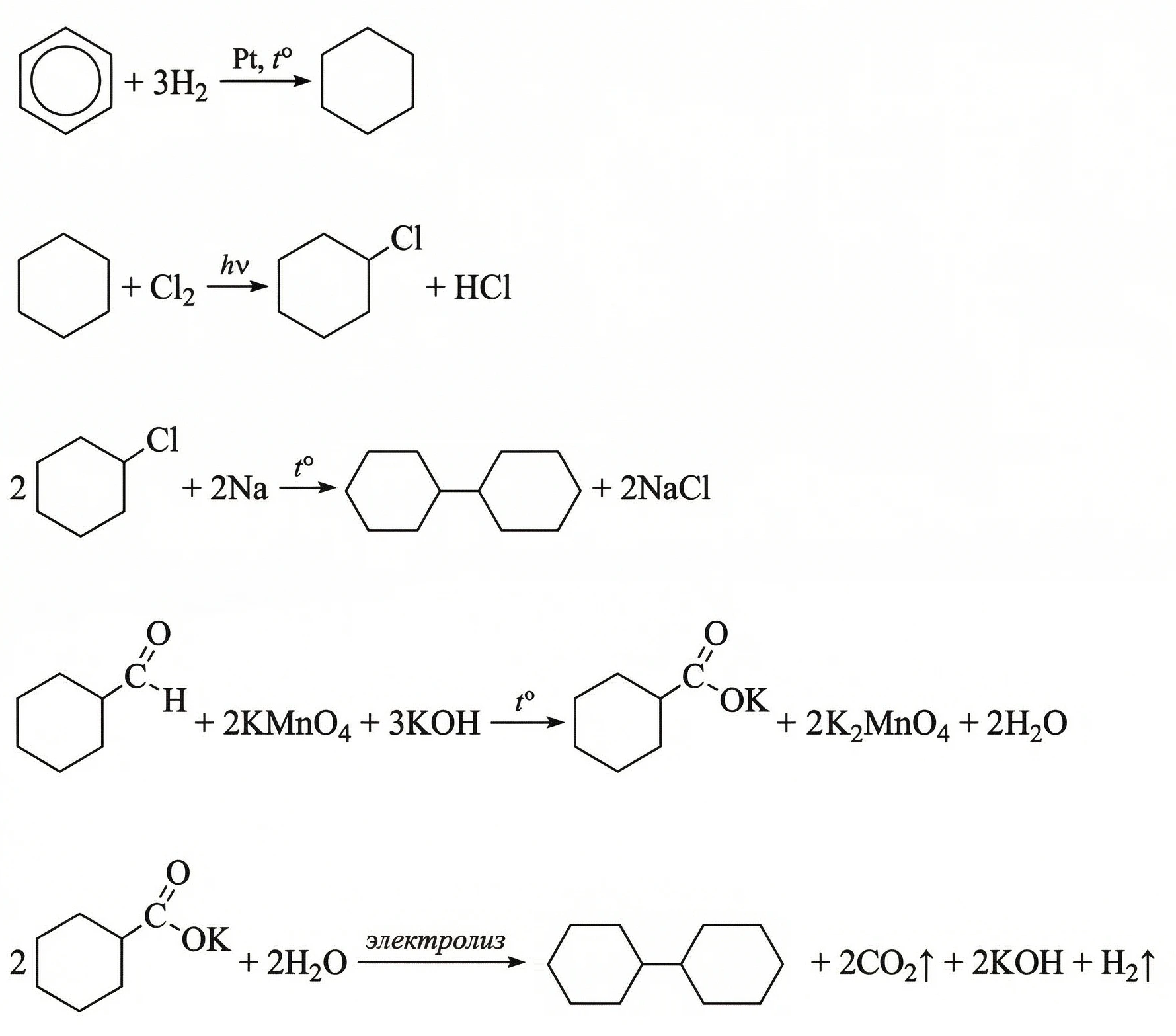
Задание №1

Задания №32. Органические цепочки.

Решение

Задания №32. Органические цепочки.

Задание №2

Задания №32. Органические цепочки.

Решение

Задания №32. Органические цепочки.

Задание №3

Задания №32. Органические цепочки.

Решение

Задания №32. Органические цепочки.

Задание №4

Задания №32. Органические цепочки.

Решение

Задания №32. Органические цепочки.

Задание №5

Задания №32. Органические цепочки.

Решение

Задания №32. Органические цепочки.

Задание №6

Задания №32. Органические цепочки.

Решение

Задания №32. Органические цепочки.

Задание №7

Задания №32. Органические цепочки.

Решение

Задания №32. Органические цепочки.

Задание №8

Задания №32. Органические цепочки.

Решение

Задания №32. Органические цепочки.

Задание №9

Задания №32. Органические цепочки.

Решение

Задания №32. Органические цепочки.

Задание №10

Задания №32. Органические цепочки.

Решение

Задания №32. Органические цепочки.

Задание №11

Задания №32. Органические цепочки.

Решение

Задания №32. Органические цепочки.

Задание №12

Задания №32. Органические цепочки.

Решение

Задания №32. Органические цепочки.

Задание №13

Задания №32. Органические цепочки.

Решение

Задания №32. Органические цепочки.

Задание №14

Задания №32. Органические цепочки.

Решение

Задания №32. Органические цепочки.

Задание №15

Задания №32. Органические цепочки.

Решение

Задания №32. Органические цепочки.

Задание №16

Задания №32. Органические цепочки.

Решение

Задания №32. Органические цепочки.

Задание №17

Задания №32. Органические цепочки.

Решение

Задания №32. Органические цепочки.

Задание №18

Задания №32. Органические цепочки.

Решение

Задания №32. Органические цепочки.

Задание №19

Задания №32. Органические цепочки.

Решение

Задания №32. Органические цепочки.

Задание №20

Задания №32. Органические цепочки.

Решение

Задания №32. Органические цепочки.

Задание №21

Задания №32. Органические цепочки.

Решение

Задания №32. Органические цепочки.

Задание №22

Задания №32. Органические цепочки.

Решение

Задания №32. Органические цепочки.

Задание №23

Задания №32. Органические цепочки.

Решение

Задания №32. Органические цепочки.

Задание №24

Задания №32. Органические цепочки.

Решение

Задания №32. Органические цепочки.

Задание №25

Задания №32. Органические цепочки.

Решение

Задания №32. Органические цепочки.

Задание №26

Задания №32. Органические цепочки.

Решение

Задания №32. Органические цепочки.

Задание №27

Задания №32. Органические цепочки.

Решение

Задания №32. Органические цепочки.

Задание №28

Задания №32. Органические цепочки.

Решение

Задания №32. Органические цепочки.

Задание №29

Задания №32. Органические цепочки.

Решение

Задания №32. Органические цепочки.

Задание №30

Задания №32. Органические цепочки.

Решение

Задания №32. Органические цепочки.

Задание №31

Задания №32. Органические цепочки.

Решение

Задания №32. Органические цепочки.

Задание №32

Задания №32. Органические цепочки.

Решение

Задания №32. Органические цепочки.

Задание №33

Задания №32. Органические цепочки.

Решение

Задания №32. Органические цепочки.

Задание №34

Задания №32. Органические цепочки.

Решение

Задания №32. Органические цепочки.

Задание №35

Задания №32. Органические цепочки.

Решение

Задания №32. Органические цепочки.

Задание №36

Задания №32. Органические цепочки.

Решение

Задания №32. Органические цепочки.

Задание №37

Задания №32. Органические цепочки.

Решение

Задания №32. Органические цепочки.

Задание №38

Задания №32. Органические цепочки.

Решение

Задания №32. Органические цепочки.

Задание №39

Задания №32. Органические цепочки.

Решение

Задания №32. Органические цепочки.

Задание №40

Задания №32. Органические цепочки.

Решение

Задания №32. Органические цепочки.

Задание №41

Задания №32. Органические цепочки.

Решение

Задания №32. Органические цепочки.

Задание №42

Задания №32. Органические цепочки.

Решение

Задания №32. Органические цепочки.

Задание №43

Задания №32. Органические цепочки.

Решение

Задания №32. Органические цепочки.

Задание №44

Задания №32. Органические цепочки.

Решение

Задания №32. Органические цепочки.

Задание №45

Задания №32. Органические цепочки.

Решение

Задания №32. Органические цепочки.

Задание №46

Задания №32. Органические цепочки.

Решение

Задания №32. Органические цепочки.

Задание №47

Задания №32. Органические цепочки.

Решение

Задания №32. Органические цепочки.

Задание №48

Задания №32. Органические цепочки.

Решение

Задания №32. Органические цепочки.

Задание №49

Задания №32. Органические цепочки.

Решение

Задания №32. Органические цепочки.

Задание №50

Задания №32. Органические цепочки.

Решение

Задания №32. Органические цепочки.

Задание №51

Задания №32. Органические цепочки.

Решение

Задания №32. Органические цепочки.

Задание №52

Задания №32. Органические цепочки.

Решение

Задания №32. Органические цепочки.

Задание №53

Задания №32. Органические цепочки.

Решение

Задания №32. Органические цепочки.

Задание №54

Задания №32. Органические цепочки.

Решение

Задания №32. Органические цепочки.

Задание №55

Задания №32. Органические цепочки.

Решение

Задания №32. Органические цепочки.

Задание №56

Задания №32. Органические цепочки.

Решение

Задания №32. Органические цепочки.

Задание №57

Задания №32. Органические цепочки.

Решение

Задания №32. Органические цепочки.

Задание №58

Задания №32. Органические цепочки.

Решение

Задания №32. Органические цепочки.

Задание №59

Задания №32. Органические цепочки.

Решение

Задания №32. Органические цепочки.

Задание №60

Задания №32. Органические цепочки.

Решение

Задания №32. Органические цепочки.

Задание №61

Задания №32. Органические цепочки.

Решение

Задания №32. Органические цепочки.

Задание №62

Задания №32. Органические цепочки.

Решение

Задания №32. Органические цепочки.

Задание №63

Задания №32. Органические цепочки.

Решение

Задания №32. Органические цепочки.

Задание №64

Задания №32. Органические цепочки.

Решение

Задания №32. Органические цепочки.

Задание №65

Задания №32. Органические цепочки.

Решение

Задания №32. Органические цепочки.

Задание №66

Задания №32. Органические цепочки.

Решение

Задания №32. Органические цепочки.

Задание №67

Задания №32. Органические цепочки.

Решение

Задания №32. Органические цепочки.

Задание №68

Задания №32. Органические цепочки.

Решение

Задания №32. Органические цепочки.

Задание №69

Задания №32. Органические цепочки.

Решение

Задания №32. Органические цепочки.

Задание №70

Задания №32. Органические цепочки.

Решение

Задания №32. Органические цепочки.

Задание №71

Задания №32. Органические цепочки.

Решение

Задания №32. Органические цепочки.

Задание №72

Задания №32. Органические цепочки.

Решение

Задания №32. Органические цепочки.

Задание №73

Задания №32. Органические цепочки.

Решение

Задания №32. Органические цепочки.

Задание №74

Задания №32. Органические цепочки.

Решение

Задания №32. Органические цепочки.

Задание №75

Задания №32. Органические цепочки.

Решение

Задания №32. Органические цепочки.

Задание №76

Задания №32. Органические цепочки.

Решение

Задания №32. Органические цепочки.

Задание №77

Задания №32. Органические цепочки.

Решение

Задания №32. Органические цепочки.

Задание №78

Задания №32. Органические цепочки.

Решение

Задания №32. Органические цепочки.

Задание №79

Задания №32. Органические цепочки.

Решение

Задания №32. Органические цепочки.

Задание №80

Задания №32. Органические цепочки.

Решение

Задания №32. Органические цепочки.

Задание №81

Задания №32. Органические цепочки.

Решение

Задания №32. Органические цепочки.

Задание №82

Задания №32. Органические цепочки.

Решение

Задания №32. Органические цепочки.

Задание №83

Задания №32. Органические цепочки.

Решение

Задания №32. Органические цепочки.

Задание №84

Задания №32. Органические цепочки.

Решение

Задания №32. Органические цепочки.

Задание №85

Задания №32. Органические цепочки.

Решение

Задания №32. Органические цепочки.

Задание №86

Задания №32. Органические цепочки.

Решение

Задания №32. Органические цепочки.

Задание №87

Задания №32. Органические цепочки.

Решение

Задания №32. Органические цепочки.

Задание №88

Задания №32. Органические цепочки.

Решение

Задания №32. Органические цепочки.

Задание №89

Задания №32. Органические цепочки.

Решение

Задания №32. Органические цепочки.

Задание №90

Задания №32. Органические цепочки.

Решение

Задания №32. Органические цепочки.

Задание №91

Задания №32. Органические цепочки.

Решение

Задания №32. Органические цепочки.

Задание №92

Задания №32. Органические цепочки.

Решение

Задания №32. Органические цепочки.

Задание №93

Задания №32. Органические цепочки.

Решение

Задания №32. Органические цепочки.

Задание №94

Задания №32. Органические цепочки.

Решение

Задания №32. Органические цепочки.

Задание №95

Задания №32. Органические цепочки.

Решение

Задания №32. Органические цепочки.

Задание №96

Задания №32. Органические цепочки.

Решение

Задания №32. Органические цепочки.

Задание №97

Задания №32. Органические цепочки.

Решение

Задания №32. Органические цепочки.

Задание №98

Задания №32. Органические цепочки.

Решение

Задания №32. Органические цепочки.

Задание №99

Задания №32. Органические цепочки.

Решение

Задания №32. Органические цепочки.

Задание №100

Задания №32. Органические цепочки.

Решение

Задания №32. Органические цепочки.

Задание №101

Задания №32. Органические цепочки.

Решение

Задания №32. Органические цепочки.

Задание №102

Задания №32. Органические цепочки.

Решение

Задания №32. Органические цепочки.

Задание №103

Задания №32. Органические цепочки.

Решение

Задания №32. Органические цепочки.

Задание №104

Задания №32. Органические цепочки.

Решение

Задания №32. Органические цепочки.

Задание №105

Задания №32. Органические цепочки.

Решение

Задания №32. Органические цепочки.

Задание №106

Задания №32. Органические цепочки.

Решение

Задания №32. Органические цепочки.

Задание №107

Задания №32. Органические цепочки.

Решение

Задания №32. Органические цепочки.

Задание №108

Задания №32. Органические цепочки.

Решение

Задания №32. Органические цепочки.

Задание №109

Задания №32. Органические цепочки.

Решение

Задания №32. Органические цепочки.

Задание №110

Задания №32. Органические цепочки.

Решение

Задания №32. Органические цепочки.

Задание №111

Задания №32. Органические цепочки.

Решение

Задания №32. Органические цепочки.

Задание №112

Задания №32. Органические цепочки.

Решение

Задания №32. Органические цепочки.

Задание №113

Задания №32. Органические цепочки.

Решение

Задания №32. Органические цепочки.

Задание №114

Задания №32. Органические цепочки.

Решение

Задания №32. Органические цепочки.

Задание №115

Задания №32. Органические цепочки.

Решение

Задания №32. Органические цепочки.

Задание №116

Задания №32. Органические цепочки.

Решение

Задания №32. Органические цепочки.

Задание №117

Задания №32. Органические цепочки.

Решение

Задания №32. Органические цепочки.

Задание №118

Задания №32. Органические цепочки.

Решение

Задания №32. Органические цепочки.

Задание №119

Задания №32. Органические цепочки.

Решение

Задания №32. Органические цепочки.

Задание №120

Задания №32. Органические цепочки.

Решение

Задания №32. Органические цепочки.

Задание №121

Задания №32. Органические цепочки.

Решение

Задания №32. Органические цепочки.

Задание №122

Задания №32. Органические цепочки.

Решение

Задания №32. Органические цепочки.

Задание №123

Задания №32. Органические цепочки.

Решение

Задания №32. Органические цепочки.

Задание №124

Задания №32. Органические цепочки.

Решение

Задания №32. Органические цепочки.

Задание №125

Задания №32. Органические цепочки.

Решение

Задания №32. Органические цепочки.

Задание №126

Задания №32. Органические цепочки.

Решение

Задания №32. Органические цепочки.

Задание №127

Задания №32. Органические цепочки.

Решение

Задания №32. Органические цепочки.

Задание №128

Задания №32. Органические цепочки.

Решение

Задания №32. Органические цепочки.

Задание №129

Задания №32. Органические цепочки.

Решение

Задания №32. Органические цепочки.

Задание №130

Задания №32. Органические цепочки.

Решение

Задания №32. Органические цепочки.

Задание №131

Задания №32. Органические цепочки.

Решение

Задания №32. Органические цепочки.

Задание №132

Задания №32. Органические цепочки.

Решение

Задания №32. Органические цепочки.

Задание №133

Задания №32. Органические цепочки.

Решение

Задания №32. Органические цепочки.

Задание №134

Задания №32. Органические цепочки.

Решение

Задания №32. Органические цепочки.

Задание №135

Задания №32. Органические цепочки.

Решение

Задания №32. Органические цепочки.

Задание №136

Задания №32. Органические цепочки.

Решение

Задания №32. Органические цепочки.

Задание №137

Задания №32. Органические цепочки.

Решение

Задания №32. Органические цепочки.

Задание №138

Задания №32. Органические цепочки.

Решение

Задания №32. Органические цепочки.

Задание №139

Задания №32. Органические цепочки.

Решение

Задания №32. Органические цепочки.

Задание №140

Задания №32. Органические цепочки.

Решение

Задания №32. Органические цепочки.

Задание №141

Задания №32. Органические цепочки.

Решение

Задания №32. Органические цепочки.

Задание №142

Задания №32. Органические цепочки.

Решение

Задания №32. Органические цепочки.

Задание №143

Задания №32. Органические цепочки.

Решение

Задания №32. Органические цепочки.

Задание №144

Задания №32. Органические цепочки.

Решение

Задания №32. Органические цепочки.

Задание №145

Задания №32. Органические цепочки.

Решение

Задания №32. Органические цепочки.

Задание №146

Задания №32. Органические цепочки.

Решение

Задания №32. Органические цепочки.

Задание №147

Задания №32. Органические цепочки.

Решение

Задания №32. Органические цепочки.

Задание №148

Задания №32. Органические цепочки.

Решение

Задания №32. Органические цепочки.

Задание №149

Задания №32. Органические цепочки.

Решение

Задания №32. Органические цепочки.

Задание №150

Задания №32. Органические цепочки.

Решение

Задания №32. Органические цепочки.

Задание №151

Задания №32. Органические цепочки.

Решение

Задания №32. Органические цепочки.

Задание №152

Задания №32. Органические цепочки.

Решение

Задания №32. Органические цепочки.

Задание №153

Задания №32. Органические цепочки.

Решение

Задания №32. Органические цепочки.

Задание №154

Задания №32. Органические цепочки.

Решение

Задания №32. Органические цепочки.

Задание №155

Задания №32. Органические цепочки.

Решение

Задания №32. Органические цепочки.

Задание №156

Задания №32. Органические цепочки.

Решение

Задания №32. Органические цепочки.

Задание №157

Задания №32. Органические цепочки.

Решение

Задания №32. Органические цепочки.

Задание №158

Задания №32. Органические цепочки.

Решение

Задания №32. Органические цепочки.

Задание №159

Задания №32. Органические цепочки.

Решение

Задания №32. Органические цепочки.

Задание №160

Задания №32. Органические цепочки.

Решение

Задания №32. Органические цепочки.

Задание №161

Задания №32. Органические цепочки.

Решение

Задания №32. Органические цепочки.

Задание №162

Задания №32. Органические цепочки.

Решение

Задания №32. Органические цепочки.

Задание №163

Задания №32. Органические цепочки.

Решение

Задания №32. Органические цепочки.

Задание №164

Задания №32. Органические цепочки.

Решение

Задания №32. Органические цепочки.

Задание №165

Задания №32. Органические цепочки.

Решение

Задания №32. Органические цепочки.

Задание №166

Задания №32. Органические цепочки.

Решение

Задания №32. Органические цепочки.

Задание №167

Задания №32. Органические цепочки.

Решение

Задания №32. Органические цепочки.

Задание №168

Задания №32. Органические цепочки.

Решение

Задания №32. Органические цепочки.

Задание №169

Задания №32. Органические цепочки.

Решение

Задания №32. Органические цепочки.

Задание №170

Задания №32. Органические цепочки.

Решение

Задания №32. Органические цепочки.

Задание №171

Задания №32. Органические цепочки.

Решение

Задания №32. Органические цепочки.

Задание №172

Задания №32. Органические цепочки.

Решение

Задания №32. Органические цепочки.

Задание №173

Задания №32. Органические цепочки.

Решение

Задания №32. Органические цепочки.

Задание №174

Задания №32. Органические цепочки.

Решение

Задания №32. Органические цепочки.

Задание №175

Задания №32. Органические цепочки.

Решение

Задания №32. Органические цепочки.

Задание №176

Задания №32. Органические цепочки.

Решение

Задания №32. Органические цепочки.

Задание №177

Задания №32. Органические цепочки.

Решение

Задания №32. Органические цепочки.

Задание №178

Задания №32. Органические цепочки.

Решение

Задания №32. Органические цепочки.

Задание №179

Задания №32. Органические цепочки.

Решение

Задания №32. Органические цепочки.

Задание №180

Задания №32. Органические цепочки.

Решение

Задания №32. Органические цепочки.

Задание №181

Задания №32. Органические цепочки.

Решение

Задания №32. Органические цепочки.

Задание №182

Задания №32. Органические цепочки.

Решение

Задания №32. Органические цепочки.

Задание №183

Задания №32. Органические цепочки.

Решение

Задания №32. Органические цепочки.

Задание №184

Задания №32. Органические цепочки.

Решение

Задания №32. Органические цепочки.

Задание №185

Задания №32. Органические цепочки.

Решение

Задания №32. Органические цепочки.

Задание №186

Задания №32. Органические цепочки.

Решение

Задания №32. Органические цепочки.

Задание №187

Задания №32. Органические цепочки.

Решение

Задания №32. Органические цепочки.

Задание №188

Задания №32. Органические цепочки.

Решение

Задания №32. Органические цепочки.

Задание №189

Задания №32. Органические цепочки.

Решение

Задания №32. Органические цепочки.

Задание №190

Задания №32. Органические цепочки.

Решение

Задания №32. Органические цепочки.

Задание №191

Задания №32. Органические цепочки.

Решение

Задания №32. Органические цепочки.

Задание №192

Задания №32. Органические цепочки.

Решение

Задания №32. Органические цепочки.

Задание №193

Задания №32. Органические цепочки.

Решение

Задания №32. Органические цепочки.

Задание №194

Задания №32. Органические цепочки.

Решение

Задания №32. Органические цепочки.

Задание №195

Задания №32. Органические цепочки.

Решение

Задания №32. Органические цепочки.

Задание №196

Задания №32. Органические цепочки.

Решение

Задания №32. Органические цепочки.

Задание №197

Задания №32. Органические цепочки.

Решение

Задания №32. Органические цепочки.

Задание №198

Задания №32. Органические цепочки.

Решение

Задания №32. Органические цепочки.

Задание №199

Задания №32. Органические цепочки.

Решение

Задания №32. Органические цепочки.

Задание №200

Задания №32. Органические цепочки.

Решение

Задания №32. Органические цепочки.

Задание №201

Задания №32. Органические цепочки.

Решение

Задания №32. Органические цепочки.

Задание №202

Задания №32. Органические цепочки.

Решение

Задания №32. Органические цепочки.

Задание №203

Задания №32. Органические цепочки.

Решение

Задания №32. Органические цепочки.

Задание №204

Задания №32. Органические цепочки.

Решение

Задания №32. Органические цепочки.

Задание №205

Задания №32. Органические цепочки.

Решение

Задания №32. Органические цепочки.

Задание №206

Задания №32. Органические цепочки.

Решение

Задания №32. Органические цепочки.

Задание №207

Задания №32. Органические цепочки.

Решение

Задания №32. Органические цепочки.

Задание №208

Задания №32. Органические цепочки.

Решение

Задания №32. Органические цепочки.

Задание №209

Задания №32. Органические цепочки.

Решение

Задания №32. Органические цепочки.

Задание №210

Задания №32. Органические цепочки.

Решение

Задания №32. Органические цепочки.

Задание №211

Задания №32. Органические цепочки.

Решение

Задания №32. Органические цепочки.

Задание №212

Задания №32. Органические цепочки.

Решение

Задания №32. Органические цепочки.

Задание №213

Задания №32. Органические цепочки.

Решение

Задания №32. Органические цепочки.

Задание №214

Задания №32. Органические цепочки.

Решение

Задания №32. Органические цепочки.

Задание №215

Задания №32. Органические цепочки.

Решение

Задания №32. Органические цепочки.

Задание №216

Задания №32. Органические цепочки.

Решение

Задания №32. Органические цепочки.

Задание №217

Задания №32. Органические цепочки.

Решение

Задания №32. Органические цепочки.

Задание №218

Задания №32. Органические цепочки.

Решение

Задания №32. Органические цепочки.

Задание №219

Задания №32. Органические цепочки.

Решение

Задания №32. Органические цепочки.

Задание №220

Задания №32. Органические цепочки.

Решение

Задания №32. Органические цепочки.

Задание №221

Задания №32. Органические цепочки.

Решение

Задания №32. Органические цепочки.

Задание №222

Задания №32. Органические цепочки.

Решение

Задания №32. Органические цепочки.

Задание №223

Задания №32. Органические цепочки.

Решение

Задания №32. Органические цепочки.

Задание №224

Задания №32. Органические цепочки.

Решение

Задания №32. Органические цепочки.

Задание №225

Задания №32. Органические цепочки.

Решение

Задания №32. Органические цепочки.

Задание №226

Задания №32. Органические цепочки.

Решение

Задания №32. Органические цепочки.

Задание №227

Задания №32. Органические цепочки.

Решение

Задания №32. Органические цепочки.

Задание №228

Задания №32. Органические цепочки.

Решение

Задания №32. Органические цепочки.

Задание №229

Задания №32. Органические цепочки.

Решение

Задания №32. Органические цепочки.

Задание №230

Задания №32. Органические цепочки.

Решение

Задания №32. Органические цепочки.

Задание №231

Задания №32. Органические цепочки.

Решение

Задания №32. Органические цепочки.

Задание №232

Задания №32. Органические цепочки.

Решение

Задания №32. Органические цепочки.

Задание №233

Задания №32. Органические цепочки.

Решение

Задания №32. Органические цепочки.

Задание №234

Задания №32. Органические цепочки.

Решение

Задания №32. Органические цепочки.

Задание №235

Задания №32. Органические цепочки.

Решение

Задания №32. Органические цепочки.

Задание №236

Задания №32. Органические цепочки.

Решение

Задания №32. Органические цепочки.

Задание №237

Задания №32. Органические цепочки.

Решение

Задания №32. Органические цепочки.

Задание №238

Задания №32. Органические цепочки.

Решение

Задания №32. Органические цепочки.

Задание №239

Задания №32. Органические цепочки.

Решение

Задания №32. Органические цепочки.

Задание №240

Задания №32. Органические цепочки.

Решение

Задания №32. Органические цепочки.

Задание №241

Задания №32. Органические цепочки.

Решение

Задания №32. Органические цепочки.

Задание №242

Задания №32. Органические цепочки.

Решение

Задания №32. Органические цепочки.

Задание №243

Задания №32. Органические цепочки.

Решение

Задания №32. Органические цепочки.

Задание №244

Задания №32. Органические цепочки.

Решение

Задания №32. Органические цепочки.

Задание №245

Задания №32. Органические цепочки.

Решение

Задания №32. Органические цепочки.

Задание №246

Задания №32. Органические цепочки.

Решение

Задания №32. Органические цепочки.

Задание №247

Задания №32. Органические цепочки.

Решение

Задания №32. Органические цепочки.

Задание №248

Задания №32. Органические цепочки.

Решение

Задания №32. Органические цепочки.

Задание №249

Задания №32. Органические цепочки.

Решение

Задания №32. Органические цепочки.

Задание №250

Задания №32. Органические цепочки.

Решение

Задания №32. Органические цепочки.

Задание №251

Задания №32. Органические цепочки.

Решение

Задания №32. Органические цепочки.

Задание №252

Задания №32. Органические цепочки.

Решение

Задания №32. Органические цепочки.

Задание №253

Задания №32. Органические цепочки.

Решение

Задания №32. Органические цепочки.

Задание №254

Задания №32. Органические цепочки.

Решение

Задания №32. Органические цепочки.

Задание №255

Задания №32. Органические цепочки.

Решение

Задания №32. Органические цепочки.

Задание №256

Задания №32. Органические цепочки.

Решение

Задания №32. Органические цепочки.

Задание №257

Задания №32. Органические цепочки.

Решение

Задания №32. Органические цепочки.

Задание №258

Задания №32. Органические цепочки.

Решение

Задания №32. Органические цепочки.

Задание №259

Задания №32. Органические цепочки.

Решение

Задания №32. Органические цепочки.

Задание №260

Задания №32. Органические цепочки.

Решение

Задания №32. Органические цепочки.

Задание №261

Задания №32. Органические цепочки.

Решение

Задания №32. Органические цепочки.

Задание №262

Задания №32. Органические цепочки.

Решение

Задания №32. Органические цепочки.

Задание №263

Задания №32. Органические цепочки.

Решение

Задания №32. Органические цепочки.

Задание №264

Задания №32. Органические цепочки.

Решение

Задания №32. Органические цепочки.

Задание №265

Задания №32. Органические цепочки.

Решение

Задания №32. Органические цепочки.

Задание №266

Задания №32. Органические цепочки.

Решение

Задания №32. Органические цепочки.

Задание №267

Задания №32. Органические цепочки.

Решение

Задания №32. Органические цепочки.

Задание №268

Задания №32. Органические цепочки.

Решение

Задания №32. Органические цепочки.

Задание №269

Задания №32. Органические цепочки.

Решение

Задания №32. Органические цепочки.

Задание №270

Задания №32. Органические цепочки.

Решение

Задания №32. Органические цепочки.

Задание №271

Задания №32. Органические цепочки.

Решение

Задания №32. Органические цепочки.

Задание №272

Задания №32. Органические цепочки.

Решение

Задания №32. Органические цепочки.

Задание №273

Задания №32. Органические цепочки.

Решение

Задания №32. Органические цепочки.

Задание №274

Задания №32. Органические цепочки.

Решение

Задания №32. Органические цепочки.

Задание №275

Задания №32. Органические цепочки.

Решение

Задания №32. Органические цепочки.

Задание №276

Задания №32. Органические цепочки.

Решение

Задания №32. Органические цепочки.

Задание №277

Задания №32. Органические цепочки.

Решение

Задания №32. Органические цепочки.

Задание №278

Задания №32. Органические цепочки.

Решение

Задания №32. Органические цепочки.

Задание №279

Задания №32. Органические цепочки.

Решение

Задания №32. Органические цепочки.

Задание №280

Задания №32. Органические цепочки.

Решение

Задания №32. Органические цепочки.

Задание №281

Задания №32. Органические цепочки.

Решение

Задания №32. Органические цепочки.

Задание №282

Задания №32. Органические цепочки.

Решение

Задания №32. Органические цепочки.

Задание №283

Задания №32. Органические цепочки.

Решение

Задания №32. Органические цепочки.

Задание №284

Задания №32. Органические цепочки.

Решение

Задания №32. Органические цепочки.

Задание №285

Задания №32. Органические цепочки.

Решение

Задания №32. Органические цепочки.

Задание №286

Задания №32. Органические цепочки.

Решение

Задания №32. Органические цепочки.

Задание №287

Задания №32. Органические цепочки.

Решение

Задания №32. Органические цепочки.

Задание №288

Задания №32. Органические цепочки.

Решение

Задания №32. Органические цепочки.

Задание №289

Задания №32. Органические цепочки.

Решение

Задания №32. Органические цепочки.

Задание №290

Задания №32. Органические цепочки.

Решение

Задания №32. Органические цепочки.

Задание №291

Задания №32. Органические цепочки.

Решение

Задания №32. Органические цепочки.

Задание №292

Задания №32. Органические цепочки.

Решение

Задания №32. Органические цепочки.

Задание №293

Задания №32. Органические цепочки.

Решение

Задания №32. Органические цепочки.

Задание №294

Задания №32. Органические цепочки.

Решение

Задания №32. Органические цепочки.

Задание №295

Задания №32. Органические цепочки.

Решение

Задания №32. Органические цепочки.

Задание №296

Задания №32. Органические цепочки.

Решение

Задания №32. Органические цепочки.

Задание №297

Задания №32. Органические цепочки.

Решение

Задания №32. Органические цепочки.
Задание №298

Задания №32. Органические цепочки.

Решение

Задания №32. Органические цепочки.

Задание №299

Задания №32. Органические цепочки.

Решение

Задания №32. Органические цепочки.

Задание №300

Задания №32. Органические цепочки.

Решение

Задания №32. Органические цепочки.

Задание №301

Задания №32. Органические цепочки.

Решение

Задания №32. Органические цепочки.

Задание №302

Задания №32. Органические цепочки.

Решение

Задания №32. Органические цепочки.

Задание №303

Задания №32. Органические цепочки.

Решение

Задания №32. Органические цепочки.

Задание №304

Задания №32. Органические цепочки.

Решение

Задания №32. Органические цепочки.

Задание №305

Задания №32. Органические цепочки.

Решение

Задания №32. Органические цепочки.

Задание №306

Задания №32. Органические цепочки.

Решение

Задания №32. Органические цепочки.

Задание №307

Задания №32. Органические цепочки.

Решение

Задания №32. Органические цепочки.

Задание №308

Задания №32. Органические цепочки.

Решение

Задания №32. Органические цепочки.

Задание №309

Задания №32. Органические цепочки.

Решение

Задания №32. Органические цепочки.

Задание №310

Задания №32. Органические цепочки.

Решение

Задания №32. Органические цепочки.

Задание №311

Задания №32. Органические цепочки.

Решение

Задания №32. Органические цепочки.

Задание №312

Задания №32. Органические цепочки.

Решение

Задания №32. Органические цепочки.

Задание №313

Задания №32. Органические цепочки.

Решение

Задания №32. Органические цепочки.

Задание №314

Задания №32. Органические цепочки.

Решение

Задания №32. Органические цепочки.

Задание №315

Задания №32. Органические цепочки.

Решение

Задания №32. Органические цепочки.

Задание №316

Задания №32. Органические цепочки.

Решение

Задания №32. Органические цепочки.

Задание №317

Задания №32. Органические цепочки.

Решение

Задания №32. Органические цепочки.

Задание №318

Задания №32. Органические цепочки.

Решение

Задания №32. Органические цепочки.

Задание №319

Задания №32. Органические цепочки.

Решение

Задания №32. Органические цепочки.

Задание №320

Задания №32. Органические цепочки.

Решение

Задания №32. Органические цепочки.

Задание №321

Задания №32. Органические цепочки.

Решение

Задания №32. Органические цепочки.

Задание №322

Задания №32. Органические цепочки.

Решение

Задания №32. Органические цепочки.

Задание №323

Задания №32. Органические цепочки.

Решение

Задания №32. Органические цепочки.

Задание №324

Задания №32. Органические цепочки.

Решение

Задания №32. Органические цепочки.

Задание №325

Задания №32. Органические цепочки.

Решение

Задания №32. Органические цепочки.

Задание №326

Задания №32. Органические цепочки.

Решение

Задания №32. Органические цепочки.

Задание №327

Задания №32. Органические цепочки.

Решение

Задания №32. Органические цепочки.

Задание №328

Задания №32. Органические цепочки.

Решение

Задания №32. Органические цепочки.

Задание №329

Задания №32. Органические цепочки.

Решение

Задания №32. Органические цепочки.

Задание №330

Задания №32. Органические цепочки.

Решение

Задания №32. Органические цепочки.

Задание №331

Задания №32. Органические цепочки.

Решение

Задания №32. Органические цепочки.

Задание №332

Задания №32. Органические цепочки.

Решение

Задания №32. Органические цепочки.

Задание №333

Задания №32. Органические цепочки.

Решение

Задания №32. Органические цепочки.

Задание №334

Задания №32. Органические цепочки.

Решение

Задания №32. Органические цепочки.

Задание №335

Задания №32. Органические цепочки.

Решение

Задания №32. Органические цепочки.

Задание №336

Задания №32. Органические цепочки.

Решение

Задания №32. Органические цепочки.

Задание №337

Задания №32. Органические цепочки.

Решение

Задания №32. Органические цепочки.

Задание №338

Задания №32. Органические цепочки.

Решение

Задания №32. Органические цепочки.

Задание №339

Задания №32. Органические цепочки.

Решение

Задания №32. Органические цепочки.

Задание №340

Задания №32. Органические цепочки.

Решение

Задания №32. Органические цепочки.

Задание №341

Задания №32. Органические цепочки.

Решение

Задания №32. Органические цепочки.

Задание №342

Задания №32. Органические цепочки.

Решение

Задания №32. Органические цепочки.

Задание №343

Задания №32. Органические цепочки.

Решение

Задания №32. Органические цепочки.

Задание №344

Задания №32. Органические цепочки.

Решение

Задания №32. Органические цепочки.

Задание №345

Задания №32. Органические цепочки.

Решение

Задания №32. Органические цепочки.

Задание №346

Задания №32. Органические цепочки.

Решение

Задания №32. Органические цепочки.

Задание №347

Задания №32. Органические цепочки.

Решение

Задания №32. Органические цепочки.

Задание №348

Задания №32. Органические цепочки.

Решение

Задания №32. Органические цепочки.

Задание №349

Задания №32. Органические цепочки.

Решение

Задания №32. Органические цепочки.

Задание №350

Задания №32. Органические цепочки.

Решение

Задания №32. Органические цепочки.

Задание №351

Задания №32. Органические цепочки.

Решение

Задания №32. Органические цепочки.

Задание №352

Задания №32. Органические цепочки.

Решение

Задания №32. Органические цепочки.

Задание №353

Задания №32. Органические цепочки.

Решение

Задания №32. Органические цепочки.

Задание №354

Задания №32. Органические цепочки.

Решение

Задания №32. Органические цепочки.

Задание №355

Задания №32. Органические цепочки.

Решение

Задания №32. Органические цепочки.

Задание №356

Задания №32. Органические цепочки.

Решение

Задания №32. Органические цепочки.

Задание №357

Задания №32. Органические цепочки.

Решение

Задания №32. Органические цепочки.

Задание №358

Задания №32. Органические цепочки.

Решение

Задания №32. Органические цепочки.

Задание №359

Задания №32. Органические цепочки.

Решение

Задания №32. Органические цепочки.

Задание №360

Задания №32. Органические цепочки.

Решение

Задания №32. Органические цепочки.

Задание №361

Задания №32. Органические цепочки.

Решение

Задания №32. Органические цепочки.

Задание №362

Задания №32. Органические цепочки.

Решение

Задания №32. Органические цепочки.

Задание №363

Задания №32. Органические цепочки.

Решение

Задания №32. Органические цепочки.

Задание №364

Задания №32. Органические цепочки.

(задание 2025 года)

Решение

Задания №32. Органические цепочки.

Задание №365

Задания №32. Органические цепочки.

(задание 2025 года)

Решение

Задания №32. Органические цепочки.

Задание №366

Задания №32. Органические цепочки.

(задание 2025 года)

Решение

Задания №32. Органические цепочки.

Задание №367

Задания №32. Органические цепочки.

(задание 2025 года)

Решение

Задания №32. Органические цепочки.

Задание №368

Задания №32. Органические цепочки.

(задание 2025 года)

Решение

Задания №32. Органические цепочки.

Задание №369

Задания №32. Органические цепочки.

(задание 2025 года)

Решение

Задания №32. Органические цепочки.

Задание №370

Задания №32. Органические цепочки.

(задание 2025 года)

Решение

Задания №32. Органические цепочки.

Задание №371

Задания №32. Органические цепочки.

(задание 2025 года)

Решение

Задания №32. Органические цепочки.

Задание №372

Задания №32. Органические цепочки.

(задание 2025 года)

Решение

Задания №32. Органические цепочки.

Задание №373

Задания №32. Органические цепочки.

(задание 2025 года)

Решение

Задания №32. Органические цепочки.

Задание №374

Задания №32. Органические цепочки.

(задание 2025 года)

Решение

Задания №32. Органические цепочки.

Задание №375

Задания №32. Органические цепочки.

(задание 2025 года)

Решение

Задания №32. Органические цепочки.

Задание №376

Задания №32. Органические цепочки.

(задание 2025 года)

Решение

Задания №32. Органические цепочки.

Задание №377

Задания №32. Органические цепочки.

(задание 2025 года)

Решение

Задания №32. Органические цепочки.

Задание №378

Задания №32. Органические цепочки.

(задание 2025 года)

Решение

Задания №32. Органические цепочки.

Задание №379

Задания №32. Органические цепочки.

(задание 2025 года)

Решение

Задания №32. Органические цепочки.

Задание №380

Задания №32. Органические цепочки.

(задание 2025 года)

Решение

Задания №32. Органические цепочки.

Задание №381

Задания №32. Органические цепочки.

(задание 2025 года)

Решение

Задания №32. Органические цепочки.

Баннер 10
А ты хочешь получить
100 баллов по Химии?
ЖМИ И УЗНАЙ КАК
Комментарии
Добавить комментарий
Ваш e-mail не будет опубликован

Введите корректный e-mail для получения уведомлений.

Мы уже начали готовиться к ЕГЭ по Химии
Прямо сейчас!
Баннер 5