



Запись на курс подготовки к ЕГЭ 2026
Установите соответствие между названием вещества и классом / группой органических соединений, к которому(-ой) оно принадлежит: к каждой позиции, обозначенной буквой, подберите соответствующую позицию, обозначенную цифрой.
| НАЗВАНИЕ ВЕЩЕСТВА А) изооктан Б) ацетилен В) изопрен | КЛАСС / ГРУППА ОРГАНИЧЕСКИХ СОЕДИНЕНИЙ 1) алкены 2) алкины 3) алканы 4) алкадиены |
324
Установите соответствие между названием вещества и классом / группой органических соединений, к которому(-ой) оно принадлежит: к каждой позиции, обозначенной буквой, подберите соответствующую позицию, обозначенную цифрой.
| НАЗВАНИЕ ВЕЩЕСТВА А) декан Б) стирол В) глицерин | КЛАСС / ГРУППА ОРГАНИЧЕСКИХ СОЕДИНЕНИЙ 1) аминокислоты 2) углеводороды 3) спирты 4) фенолы |
223
Установите соответствие между формулой вещества и классом / группой органических соединений, к которому(-ой) оно принадлежит: к каждой позиции, обозначенной буквой, подберите соответствующую позицию, обозначенную цифрой.
| ФОРМУЛА ВЕЩЕСТВА А) C12H22O11 Б) C17H35COOH В) CH3OC2H5 | КЛАСС / ГРУППА ОРГАНИЧЕСКИХ СОЕДИНЕНИЙ 1) сложные эфиры 2) простые эфиры 3) карбоновые кислоты 4) углеводы |
432
Установите соответствие между формулой вещества и классом / группой органических соединений, к которому(-ой) оно принадлежит: к каждой позиции, обозначенной буквой, подберите соответствующую позицию, обозначенную цифрой.
| ФОРМУЛА ВЕЩЕСТВА А) C6H14 Б) C2H6O2 В) C6H6 | КЛАСС / ГРУППА ОРГАНИЧЕСКИХ СОЕДИНЕНИЙ 1) арены 2) алканы 3) спирты 4) карбоновые кислоты |
231
Установите соответствие между формулой вещества и классом / группой органических соединений, к которому(-ой) оно принадлежит: к каждой позиции, обозначенной буквой, подберите соответствующую позицию, обозначенную цифрой.
| ФОРМУЛА ВЕЩЕСТВА А) C6H12O6 Б) HCOOCH3 В) CH3OCH3 | КЛАСС / ГРУППА ОРГАНИЧЕСКИХ СОЕДИНЕНИЙ 1) сложные эфиры 2) простые эфиры 3) кетоны 4) углеводы |
412
Установите соответствие между названием вещества и классом / группой органических соединений, к которому(-ой) оно принадлежит: к каждой позиции, обозначенной буквой, подберите соответствующую позицию, обозначенную цифрой.
| НАЗВАНИЕ ВЕЩЕСТВА А) этилен Б) толуол В) ацетилен | КЛАСС / ГРУППА ОРГАНИЧЕСКИХ СОЕДИНЕНИЙ 1) алкены 2) алкины 3) арены 4) фенолы |
132
Установите соответствие между формулой вещества и классом / группой органических соединений, к которому(-ой) оно принадлежит: к каждой позиции, обозначенной буквой, подберите соответствующую позицию, обозначенную цифрой.
| ФОРМУЛА ВЕЩЕСТВА А) C6H5COOC2H5 Б) C6H5CH2OH В) C6H5CHO | КЛАСС / ГРУППА ОРГАНИЧЕСКИХ СОЕДИНЕНИЙ 1) альдегиды 2) спирты 3) фенолы 4) сложные эфиры |
421
Установите соответствие между формулой вещества и его названием: к каждой позиции, обозначенной буквой, подберите соответствующую позицию, обозначенную цифрой.
| ФОРМУЛА ВЕЩЕСТВА А) CH3–CH(NH2)COOH Б) C2H5–COO–C2H5 В) C6H5–CH3 | НАЗВАНИЕ ВЕЩЕСТВА 1) этилпропионат 2) толуол 3) метилэтиловый эфир 4) аланин |
412
Установите соответствие между формулой вещества и классом / группой органических соединений, к которому(-ой) оно принадлежит: к каждой позиции, обозначенной буквой, подберите соответствующую позицию, обозначенную цифрой.
| ФОРМУЛА ВЕЩЕСТВА А) HCOOH Б) CH3CH2OCH3 В) CH3CH2C(O)CH2CH3 | КЛАСС / ГРУППА ОРГАНИЧЕСКИХ СОЕДИНЕНИЙ 1) карбоновые кислоты 2) спирты 3) кетоны 4) простые эфиры |
143
Установите соответствие между формулой вещества и классом / группой органических соединений, к которому(-ой) оно принадлежит: к каждой позиции, обозначенной буквой, подберите соответствующую позицию, обозначенную цифрой.
| ФОРМУЛА ВЕЩЕСТВА А) целлюлоза Б) сахароза В) фруктоза | КЛАСС / ГРУППА ОРГАНИЧЕСКИХ СОЕДИНЕНИЙ 1) моносахариды 2) дисахариды 3) полисахариды 4) сложные эфиры |
321
Установите соответствие между формулой вещества и классом / группой органических соединений, к которому(-ой) оно принадлежит: к каждой позиции, обозначенной буквой, подберите соответствующую позицию, обозначенную цифрой.
| ФОРМУЛА ВЕЩЕСТВА А) HCOOC2H5 Б) CH3OCH3 В) HCOOCH3 | КЛАСС / ГРУППА ОРГАНИЧЕСКИХ СОЕДИНЕНИЙ 1) кетоны 2) сложные эфиры 3) карбоновые кислоты 4) простые эфиры |
242
Установите соответствие между названием вещества и общей формулой класса / группы органических соединений, к которому(-ой) оно принадлежит: к каждой позиции, обозначенной буквой, подберите соответствующую позицию, обозначенную цифрой.
| НАЗВАНИЕ ВЕЩЕСТВА А) циклогексан Б) дивинил В) 2,2,4-триметилпентан | ОБЩАЯ ФОРМУЛА 1) CnH2n 2) CnH2n-2 3) CnH2n+2 4) CnH2n-4 |
123
Установите соответствие между названием вещества и общей формулой класса / группы органических соединений, к которому(-ой) оно принадлежит: к каждой позиции, обозначенной буквой, подберите соответствующую позицию, обозначенную цифрой.
| НАЗВАНИЕ ВЕЩЕСТВА А) 1,2-диметилбензол Б) бутадиен-1,3 В) 2,2-диметилпентан | ОБЩАЯ ФОРМУЛА 1) CnH2n+2 2) CnH2n-6 3) CnH2n-2 4) CnH2n |
231
Установите соответствие между названием вещества и общей формулой класса / группы органических соединений, к которому(-ой) оно принадлежит: к каждой позиции, обозначенной буквой, подберите соответствующую позицию, обозначенную цифрой.
| НАЗВАНИЕ ВЕЩЕСТВА А) пропин Б) пропен В) пропадиен | ОБЩАЯ ФОРМУЛА 1) CnH2n-4 2) CnH2n-6 3) CnH2n-2 4) CnH2n |
343
Установите соответствие между названием вещества и классом / группой органических соединений, к которому(-ой) оно принадлежит: к каждой позиции, обозначенной буквой, подберите соответствующую позицию, обозначенную цифрой.
| НАЗВАНИЕ ВЕЩЕСТВА А) стирол Б) аланин В) толуол | КЛАСС / ГРУППА ОРГАНИЧЕСКИХ СОЕДИНЕНИЙ 1) фенолы 2) углеводороды 3) спирты 4) аминокислоты |
242
Установите соответствие между названием соединения и общей формулой гомологического ряда, к которому оно принадлежит: к каждой позиции, обозначенной буквой, подберите соответствующую позицию, обозначенную цифрой.
| НАЗВАНИЕ ВЕЩЕСТВА А) бутин-1 Б) циклогексан В) пропан | ОБЩАЯ ФОРМУЛА 1) CnH2n+2 2) CnH2n 3) CnH2n-2 4) CnH2n-4 |
321
Установите соответствие между общей формулой гомологического ряда и названием вещества, принадлежащего к этому ряду: к каждой позиции, обозначенной буквой, подберите соответствующую позицию, обозначенную цифрой.
| ОБЩАЯ ФОРМУЛА А) CnH2n+2O2 Б) CnH2nO2 В) CnH2n+2O | НАЗВАНИЕ ВЕЩЕСТВА 1) глицерин 2) пропанол-1 3) этиленгликоль 4) муравьиная кислота |
342
Установите соответствие между названием соединения и его формулой: к каждой позиции, обозначенной буквой, подберите соответствующую позицию, обозначенную цифрой.
| НАЗВАНИЕ ВЕЩЕСТВА А) 1,3-диметилбензол Б) кумол В) стирол | ФОРМУЛА СОЕДИНЕНИЯ 1) C6H4(CH3)2 2) C6H5–CH(CH3)2 3) C6H5–CH=CH2 4) C6H5–CH2CH2CH3 |
123
Установите соответствие между названием вещества и классом / группой органических соединений, к которому(-ой) оно принадлежит: к каждой позиции, обозначенной буквой, подберите соответствующую позицию, обозначенную цифрой.
| НАЗВАНИЕ ВЕЩЕСТВА А) этаналь Б) пропин В) этилацетат | КЛАСС / ГРУППА ОРГАНИЧЕСКИХ СОЕДИНЕНИЙ 1) сложные эфиры 2) алкины 3) спирты 4) альдегиды |
421
Установите соответствие между названием органического вещества и классом / группой органических соединений, к которому(-ой) оно принадлежит: к каждой позиции, обозначенной буквой, подберите соответствующую позицию, обозначенную цифрой.
| НАЗВАНИЕ ВЕЩЕСТВА А) этиленгликоль Б) метилацетат В) стирол | КЛАСС / ГРУППА ОРГАНИЧЕСКИХ СОЕДИНЕНИЙ 1) сложные эфиры 2) углеводороды 3) спирты |
312
Установите соответствие между формулой вещества и классом / группой органических соединений, к которому(-ой) оно принадлежит: к каждой позиции, обозначенной буквой, подберите соответствующую позицию, обозначенную цифрой.
| ФОРМУЛА ВЕЩЕСТВА А) HCOOCH3 Б) C6H5CHO В) C6H5OC6H5 | КЛАСС / ГРУППА ОРГАНИЧЕСКИХ СОЕДИНЕНИЙ 1) простые эфиры 2) кетоны 3) сложные эфиры 4) альдегиды |
341
Установите соответствие между формулой вещества и классом / группой органических соединений, к которому(-ой) оно принадлежит: к каждой позиции, обозначенной буквой, подберите соответствующую позицию, обозначенную цифрой.
| ФОРМУЛА ВЕЩЕСТВА А) HCOOH Б) C2H5OH В) C6H5OH | КЛАСС / ГРУППА ОРГАНИЧЕСКИХ СОЕДИНЕНИЙ 1) фенолы 2) алкадиены 3) спирты 4) карбоновые кислоты |
431
Установите соответствие между названием вещества и общей формулой гомологического ряда, к которому(-ой) оно принадлежит: к каждой позиции, обозначенной буквой, подберите соответствующую позицию, обозначенную цифрой.
| НАЗВАНИЕ ВЕЩЕСТВА А) стеариновая кислота Б) бутанон В) пропаналь | ОБЩАЯ ФОРМУЛА 1) CnH2nO2 2) CnH2nO 3) CnH2n+2O 4) CnH2n-6O2 |
122
Установите соответствие между общей формулой гомологического ряда и названием вещества, принадлежащего к нему: к каждой позиции, обозначенной буквой, подберите соответствующую позицию, обозначенную цифрой.
| ОБЩАЯ ФОРМУЛА А) CnH2n-6 Б) CnH2n+2 В) CnH2n | НАЗВАНИЕ ВЕЩЕСТВА 1) толуол 2) гексан 3) изопрен 4) метилциклопропан |
124
Установите соответствие между названием вещества и классом / группой органических соединений, к которому(-ой) оно принадлежит: к каждой позиции, обозначенной буквой, подберите соответствующую позицию, обозначенную цифрой.
| НАЗВАНИЕ ВЕЩЕСТВА А) аланин Б) глицин В) глицерин | КЛАСС / ГРУППА ОРГАНИЧЕСКИХ СОЕДИНЕНИЙ 1) амины 2) альдегиды 3) спирты 4) аминокислоты |
443
Установите соответствие между названием вещества и классом / группой органических соединений, к которому(-ой) оно принадлежит: к каждой позиции, обозначенной буквой, подберите соответствующую позицию, обозначенную цифрой.
| НАЗВАНИЕ ВЕЩЕСТВА А) аланин Б) глицин В) глицерин | КЛАСС / ГРУППА ОРГАНИЧЕСКИХ СОЕДИНЕНИЙ 1) амины 2) альдегиды 3) спирты 4) аминокислоты |
443
Установите соответствие между названием вещества и классом / группой органических соединений, к которому(-ой) оно принадлежит: к каждой позиции, обозначенной буквой, подберите соответствующую позицию, обозначенную цифрой.
| НАЗВАНИЕ ВЕЩЕСТВА А) этилформиат Б) глицилаланин В) винилацетилен | КЛАСС / ГРУППА ОРГАНИЧЕСКИХ СОЕДИНЕНИЙ 1) спирты 2) углеводороды 3) сложные эфиры 4) пептиды |
342
Установите соответствие между названием вещества и классом / группой органических соединений, к которому(-ой) оно принадлежит: к каждой позиции, обозначенной буквой, подберите соответствующую позицию, обозначенную цифрой.
| НАЗВАНИЕ ВЕЩЕСТВА А) дезоксирибоза Б) цис-бутен-2 В) крахмал | КЛАСС / ГРУППА ОРГАНИЧЕСКИХ СОЕДИНЕНИЙ 1) спирты 2) углеводороды 3) углеводы 4) пептиды |
323
Установите соответствие между систематическим и тривиальным названиями органических соединений: к каждой позиции, обозначенной буквой, подберите соответствующую позицию, обозначенную цифрой.
| СИСТЕМАТИЧЕСКОЕ НАЗВАНИЕ А) фенилэтен Б) 1,2-диметилбензол В) 1,4-диметилбензол | ТРИВИАЛЬНОЕ НАЗВАНИЕ 1) пара-ксилол 2) орто-ксилол 3) мета-ксилол 4) дивинил 5) ацетилен 6) стирол |
621
Установите соответствие между формулой аминокислоты и ее названием: к каждой позиции, обозначенной буквой, подберите соответствующую позицию, обозначенную цифрой.
| ФОРМУЛА КИСЛОТЫ А) NH2–CH2–COOH Б) CH3–CH(NH2)–COOH В) NH2–CH2–CH2–CH2–COOH | НАЗВАНИЕ 1) фенилаланин 2) аланин 3) валин 4) глицин 5) 3-аминобутановая кислота 6) 4-аминобутановая кислота |
426
Установите соответствие между названием эфира и его формулой: к каждой позиции, обозначенной буквой, подберите соответствующую позицию, обозначенную цифрой.
| НАЗВАНИЕ ЭФИРА А) метилпропионат Б) метилэтиловый эфир В) этиловый эфир бензойной кислоты | ФОРМУЛА ЭФИРА 1) C3H7–O–C3H7 2) C2H5–O–CH3 3) CH3COOC3H7 4) C2H5COOCH3 5) C6H5COOC2H5 6) C6H5COOCH3 |
425
Установите соответствие между формулой вещества и его названием: к каждой позиции, обозначенной буквой, подберите соответствующую позицию, обозначенную цифрой.
| ФОРМУЛА ВЕЩЕСТВА А) C6H5–CH=CH2 Б) C6H5–C2H5 В) C6H5–CH3 | НАЗВАНИЕ ВЕЩЕСТВА 1) изопропилбензол 2) пропилбензол 3) этилбензол 4) бензол 5) толуол 6) стирол |
635
Установите соответствие между названием соединения и формулой этого соединения: к каждой позиции, обозначенной буквой, подберите соответствующую позицию, обозначенную цифрой.
| НАЗВАНИЕ СОЕДИНЕНИЯ А) тристеарат глицерина Б) пальмитиновая кислота В) триолеат глицерина | ФОРМУЛА СОЕДИНЕНИЯ 1) C15H31COOH 2) C3H5(OCOC17H33)3 3) C3H5(OCOC17H35)3 4) C17H33COOC3H7 |
312
Установите соответствие между названием соединения и его формулой: к каждой позиции, обозначенной буквой, подберите соответствующую позицию, обозначенную цифрой.
| НАЗВАНИЕ СОЕДИНЕНИЯ А) 1,3-диметилбензол Б) кумол В) стирол | ФОРМУЛА СОЕДИНЕНИЯ 1) C6H4(CH3)2 2) C6H5–CH(CH3)2 3) C6H5–C2H5 4) C6H5–CH=CH2 |
124
Установите соответствие между названием вещества и классом / группой органических соединений, к которому(-ой) это вещество принадлежит: к каждой позиции, обозначенной буквой, подберите соответствующую позицию, обозначенную цифрой.
| НАЗВАНИЕ ВЕЩЕСТВА А) метилбензол Б) анилин В) 3-метилбутаналь | КЛАСС / ГРУППА 1) альдегиды 2) амины 3) аминокислоты 4) углеводороды |
421
Установите соответствие между формулой вещества и его названием: к каждой позиции, обозначенной буквой, подберите соответствующую позицию, обозначенную цифрой.
| ФОРМУЛА ВЕЩЕСТВА А) CH3CH(NH2)COOH Б) CH3NH2 В) CH3NO2 | НАЗВАНИЕ ВЕЩЕСТВА 1) анилин 2) нитрометан 3) метиламин 4) аланин |
432
Установите соответствие между классом / группой органических соединений, к которому(-ой) принадлежит вещества и формулой этого вещества: к каждой позиции, обозначенной буквой, подберите соответствующую позицию, обозначенную цифрой.
| КЛАСС / ГРУППА ОРГАНИЧЕСКИХ СОЕДИНЕНИЙ А) простые эфиры Б) алкадиены В) альдегиды | ФОРМУЛА ВЕЩЕСТВА 1) C6H5CHO 2) CH3COCH3 3) CH2=C(CH3)–CH=CH2 4) C6H5CH2OCH2C6H5 |
431
Установите соответствие между названием вещества и его молекулярной формулой: к каждой позиции, обозначенной буквой, подберите соответствующую позицию, обозначенную цифрой.
| НАЗВАНИЕ ВЕЩЕСТВА А) этандиол-1,2 Б) метилформиат В) метилэтиловый эфир | МОЛЕКУЛЯРНАЯ ФОРМУЛА 1) C2H4O2 2) C2H6O2 3) C2H4O 4) C3H8O |
214
Установите соответствие между общей формулой гомологического ряда и названием вещества: к каждой позиции, обозначенной буквой, подберите соответствующую позицию, обозначенную цифрой.
| ОБЩАЯ ФОРМУЛА А) CnH2nO2 Б) CnH2nO В) CnH2n+2O | НАЗВАНИЕ ВЕЩЕСТВА 1) бензойная кислота 2) пентанон-3 3) изопропилформиат 4) диэтиловый эфир |
324
Установите соответствие между формулой вещества и классом / группой соединений, к которому(-ой) оно принадлежит: к каждой позиции, обозначенной буквой, подберите соответствующую позицию, обозначенную цифрой.
| ФОРМУЛА ВЕЩЕСТВА А) C6H5–CH(NH2)–COOH Б) C6H5–NH–CH3 В) C6H5–NO2 | КЛАСС / ГРУППА СОЕДИНЕНИЙ 1) нитросоединения 2) сложные эфиры 3) амины 4) аминокислоты |
431
Установите соответствие между формулой вещества и его названием: к каждой позиции, обозначенной буквой, подберите соответствующую позицию, обозначенную цифрой.
| ФОРМУЛА ВЕЩЕСТВА А) CH3–CH(NH2)–COOH Б) CH3–COO–CH(CH3)2 В) CH3–CO–C2H5 | НАЗВАНИЕ ВЕЩЕСТВА 1) этилацетат 2) аланин 3) бутанон 4) изопропилацетат |
243
Установите соответствие между названием вещества и классом / группой органических соединений, к которому(-ой) оно принадлежит: к каждой позиции, обозначенной буквой, подберите соответствующую позицию, обозначенную цифрой.
| НАЗВАНИЕ ВЕЩЕСТВА А) толуол Б) метаналь В) изопрен | КЛАСС / ГРУППА ОРГАНИЧЕСКИХ СОЕДИНЕНИЙ 1) спирты 2) альдегиды 3) арены 4) диены |
324
Установите соответствие между названием вещества и классом / группой органических соединений, к которому(-ой) оно принадлежит: к каждой позиции, обозначенной буквой, подберите соответствующую позицию, обозначенную цифрой.
| НАЗВАНИЕ ВЕЩЕСТВА А) винилацетилен Б) этилформиат В) глицилаланин | КЛАСС / ГРУППА ОРГАНИЧЕСКИХ СОЕДИНЕНИЙ 1) спирты 2) пептиды 3) углеводороды 4) сложные эфиры |
342
Установите соответствие между названием вещества и классом / группой органических соединений, к которому(-ой) оно принадлежит: к каждой позиции, обозначенной буквой, подберите соответствующую позицию, обозначенную цифрой.
| НАЗВАНИЕ ВЕЩЕСТВА А) целлюлоза Б) дезоксирибоза В) фруктоза | КЛАСС / ГРУППА ОРГАНИЧЕСКИХ СОЕДИНЕНИЙ 1) олигосахариды 2) моносахариды 3) полисахариды |
322
Установите соответствие между названием вещества и классом / группой органических соединений, к которому(-ой) оно принадлежит: к каждой позиции, обозначенной буквой, подберите соответствующую позицию, обозначенную цифрой.
| НАЗВАНИЕ ВЕЩЕСТВА А) глицин Б) этиленгликоль В) метаналь | КЛАСС / ГРУППА ОРГАНИЧЕСКИХ СОЕДИНЕНИЙ 1) алкины 2) альдегиды 3) аминокислоты 4) спирты |
342
Установите соответствие между формулой вещества и классом / группой органических соединений, к которому(-ой) оно принадлежит: к каждой позиции, обозначенной буквой, подберите соответствующую позицию, обозначенную цифрой.
| ФОРМУЛА ВЕЩЕСТВА А) C6H14 Б) C2H4 В) C2H4O | КЛАСС / ГРУППА ОРГАНИЧЕСКИХ СОЕДИНЕНИЙ 1) арены 2) алканы 3) альдегиды 4) алкены |
243
Установите соответствие между систематическим и тривиальным названиями органического соединения: к каждой позиции, обозначенной буквой, подберите соответствующую позицию, обозначенную цифрой.
| СИСТЕМАТИЧЕСКОЕ НАЗВАНИЕ А) этаналь Б) метилпропан В) метилбензол | ТРИВИАЛЬНОЕ НАЗВАНИЕ 1) изобутан 2) ацетальдегид 3) толуол 4) стирол |
213
Установите соответствие между общей формулой гомологического ряда и названием вещества: к каждой позиции, обозначенной буквой, подберите соответствующую позицию, обозначенную цифрой.
| ОБЩАЯ ФОРМУЛА А) CnH2n-5N Б) CnH2n+1NO2 В) CnH2n+2O2 | НАЗВАНИЕ ВЕЩЕСТВА 1) этиленгликоль 2) глицерин 3) анилин 4) глицин |
341
Установите соответствие между названием вещества и классом / группой органических соединений, к которому(-ой) оно принадлежит: к каждой позиции, обозначенной буквой, подберите соответствующую позицию, обозначенную цифрой.
| НАЗВАНИЕ ВЕЩЕСТВА А) глицерин Б) стирол В) толуол | КЛАСС / ГРУППА ОРГАНИЧЕСКИХ СОЕДИНЕНИЙ 1) углеводороды 2) аминокислоты 3) спирты 4) амины |
311
Установите соответствие между общей формулой класса веществ и веществом, которое принадлежит этому классу: к каждой позиции, обозначенной буквой, подберите соответствующую позицию, обозначенную цифрой.
| ОБЩАЯ ФОРМУЛА А) CnH2nO Б) CnH2n-6O В) CnH2n-8O | ВЕЩЕСТВО 1) бензальдегид 2) бутаналь 3) бутанол-2 4) фенол |
241
Установите соответствие между названием вещества и классом / группой органических соединений, к которому(-ой) это вещество принадлежит: к каждой позиции, обозначенной буквой, подберите соответствующую позицию, обозначенную цифрой.
| НАЗВАНИЕ ВЕЩЕСТВА А) бутаналь Б) диэтиловый эфир В) бензилацетат | КЛАСС / ГРУППА ОРГАНИЧЕСКИХ СОЕДИНЕНИЙ 1) альдегиды 2) сложные эфиры 3) фенолы 4) простые эфиры |
142
Установите соответствие между названием вещества и общей формулой класса органических веществ, к которому это вещество принадлежит: к каждой позиции, обозначенной буквой, подберите соответствующую позицию, обозначенную цифрой.
| НАЗВАНИЕ ВЕЩЕСТВА А) анилин Б) аланин В) нитроэтан | ОБЩАЯ ФОРМУЛА 1) CnH2n-7NO2 2) CnH2n+1NO2 3) CnH2n-5N 4) CnH2n+1N |
322
Установите соответствие между классом / группой органических веществ и веществом, которое принадлежит этому(-ой) классу / группе: к каждой позиции, обозначенной буквой, подберите соответствующую позицию, обозначенную цифрой.
| КЛАСС / ГРУППА ОРГАНИЧЕСКИХ СОЕДИНЕНИЙ А) сложные эфиры Б) спирты В) углеводороды | ВЕЩЕСТВО 1) дибутиловый эфир 2) изопрен 3) триолеат глицерина 4) этиленгликоль |
342
Установите соответствие между названием вещества и общей формулой гомологического ряда, к которому принадлежит это вещество: к каждой позиции, обозначенной буквой, подберите соответствующую позицию, обозначенную цифрой.
| НАЗВАНИЕ ВЕЩЕСТВА А) нитроэтан Б) глицин В) этиламин | ОБЩАЯ ФОРМУЛА 1) CnH2n-5N 2) CnH2n+3N 3) CnH2n-1NO2 4) CnH2n+1NO2 |
442
Установите соответствие между названием вещества и классом / группой органических соединений, к которому(-ой) оно принадлежит: к каждой позиции, обозначенной буквой, подберите соответствующую позицию, обозначенную цифрой.
| НАЗВАНИЕ ВЕЩЕСТВА А) формиат калия Б) глицерин В) пропилацетат | КЛАСС / ГРУППА ОРГАНИЧЕСКИХ СОЕДИНЕНИЙ 1) простые эфиры 2) сложные эфиры 3) спирты 4) соли |
432
Установите соответствие между классом / группой органических соединений и формулой вещества, принадлежащего к этому(-ой) классу / группе: к каждой позиции, обозначенной буквой, подберите соответствующую позицию, обозначенную цифрой.
| КЛАСС / ГРУППА ОРГАНИЧЕСКИХ СОЕДИНЕНИЙ А) алкен Б) алкин В) алкан | ФОРМУЛА ВЕЩЕСТВА 1) CH3–CH2–CH2–CH3 2) CH3–CH2–C≡CH 3) CH3–CH2–CH=CH2 4) CH3–CH2–CH2–OH |
321
Установите соответствие между формулой вещества и классом / группой органических соединений, к которому(-ой) оно принадлежит: к каждой позиции, обозначенной буквой, подберите соответствующую позицию, обозначенную цифрой.
| ФОРМУЛА ВЕЩЕСТВА А) H2C2O4 Б) C2H5–CO–CH3 В) C2H5OCH3 | КЛАСС / ГРУППА ОРГАНИЧЕСКИХ СОЕДИНЕНИЙ 1) спирты 2) кетоны 3) карбоновые кислоты 4) простые эфиры |
324
Установите соответствие между общей формулой гомологического ряда и названием вещества, принадлежащего к этому ряду: к каждой позиции, обозначенной буквой, подберите соответствующую позицию, обозначенную цифрой.
| ОБЩАЯ ФОРМУЛА А) CnH2nO2 Б) CnH2nO В) CnH2n+2O | НАЗВАНИЕ ВЕЩЕСТВА 1) стеариновая кислота 2) пентаналь 3) пропанол-1 4) фенол |
123
Установите соответствие между названием вещества и классом / группой органических соединений, к которому(-ой) оно принадлежит: к каждой позиции, обозначенной буквой, подберите соответствующую позицию, обозначенную цифрой.
| НАЗВАНИЕ ВЕЩЕСТВА А) пропанол-1 Б) пропен В) пропаналь | КЛАСС / ГРУППА ОРГАНИЧЕСКИХ СОЕДИНЕНИЙ 1) простые эфиры 2) спирты 3) углеводороды 4) альдегиды |
234
Установите соответствие между веществом и его молекулярной формулой: к каждой позиции, обозначенной буквой, подберите соответствующую позицию, обозначенную цифрой.
| НАЗВАНИЕ ВЕЩЕСТВА А) метилацетат Б) пропанон В) глицерин | МОЛЕКУЛЯРНАЯ ФОРМУЛА 1) C3H6O2 2) C3H6O 3) C4H8O2 4) C3H8O3 |
124
Установите соответствие между формулой вещества и его названием: к каждой позиции, обозначенной буквой, подберите соответствующую позицию, обозначенную цифрой.
| ФОРМУЛА ВЕЩЕСТВА А) C12H22O11 Б) (C6H10O5)n В) C6H12O6 | НАЗВАНИЕ ВЕЩЕСТВА 1) рибоза 2) глюкоза 3) целлюлоза 4) сахароза |
432
Установите соответствие между классом / группой органических соединений и названием вещества, принадлежащего к этому(-ой) классу / группе: к каждой позиции, обозначенной буквой, подберите соответствующую позицию, обозначенную цифрой.
| КЛАСС / ГРУППА ОРГАНИЧЕСКИХ СОЕДИНЕНИЙ А) галогенопроизводные углеводородов Б) простые эфиры В) сложные эфиры | НАЗВАНИЕ ВЕЩЕСТВА 1) метилфениловый эфир 2) хлоруксусная кислота 3) этилацетат 4) бромэтан |
413
Установите соответствие между общей формулой гомологического ряда и названием вещества, принадлежащего к этому ряду: к каждой позиции, обозначенной буквой, подберите соответствующую позицию, обозначенную цифрой.
| ОБЩАЯ ФОРМУЛА А) CnH2n+1NO2 Б) CnH2n-7NO2 В) CnH2n-5N | НАЗВАНИЕ ВЕЩЕСТВА 1) дифениламин 2) анилин 3) фенилаланин 4) аланин |
432
Установите соответствие между названием вещества и классом / группой органических соединений, к которому(-ой) это вещество принадлежит: к каждой позиции, обозначенной буквой, подберите соответствующую позицию, обозначенную цифрой.
| НАЗВАНИЕ ВЕЩЕСТВА А) метилбензол Б) метаналь В) метилацетат | КЛАСС / ГРУППА ОРГАНИЧЕСКИХ СОЕДИНЕНИЙ 1) одноатомные спирты 2) альдегиды 3) арены 4) сложные эфиры |
324
Установите соответствие между названием вещества и функциональной группой, которую это вещество содержит: к каждой позиции, обозначенной буквой, подберите соответствующую позицию, обозначенную цифрой.
| НАЗВАНИЕ ВЕЩЕСТВА А) этиленгликоль Б) пропионовая кислота В) этаналь | ФУНКЦИОНАЛЬНАЯ ГРУППА 1) карбонильная 2) карбоксильная 3) гидроксильная |
321
Установите соответствие между молекулярной формулой вещества и классом / группой органических соединений, к которому(-ой) это вещество принадлежит: к каждой позиции, обозначенной буквой, подберите соответствующую позицию, обозначенную цифрой.
| МОЛЕКУЛЯРНАЯ ФОРМУЛА А) C4H8O2 Б) C6H12O6 В) C4H10O3 | КЛАСС / ГРУППА ОРГАНИЧЕСКИХ СОЕДИНЕНИЙ 1) карбоновые кислоты 2) предельные многоатомные спирты 3) углеводы 4) альдегиды |
132
Установите соответствие между названием вещества и формулой этого вещества: к каждой позиции, обозначенной буквой, подберите соответствующую позицию, обозначенную цифрой.
| НАЗВАНИЕ ВЕЩЕСТВА А) ацетальдегид Б) ацетон В) формальдегид | ФОРМУЛА ВЕЩЕСТВА 1) HCHO 2) CH3CHO 3) CH3COCH3 4) C2H5CHO |
231
Установите соответствие между классом / группой органических соединений и названием вещества, принадлежащего к этому(-ой) классу / группе: к каждой позиции, обозначенной буквой, подберите соответствующую позицию, обозначенную цифрой.
| КЛАСС / ГРУППА ОРГАНИЧЕСКИХ СОЕДИНЕНИЙ А) альдегиды Б) алкины В) амины | НАЗВАНИЕ ВЕЩЕСТВА 1) нитробензол 2) анилин 3) 3-метилбутаналь 4) ацетилен |
342
Установите соответствие между классом / группой органических соединений и веществом, которое принадлежит к этому(-ой) классу / группе: к каждой позиции, обозначенной буквой, подберите соответствующую позицию, обозначенную цифрой.
| КЛАСС / ГРУППА ОРГАНИЧЕСКИХ СОЕДИНЕНИЙ А) сложные эфиры Б) спирты В) нитросоединения | ВЕЩЕСТВО 1) глицерин 2) тринитроглицерин 3) тринитротолуол 4) диизопропиловый эфир |
213
Установите соответствие между общей формулой класса (группы) органических соединений и названием вещества, которое принадлежит к этому(-ой) классу (группе): к каждой позиции, обозначенной буквой, подберите соответствующую позицию, обозначенную цифрой.
| ОБЩАЯ ФОРМУЛА А) (CnH2n+1)2O Б) Cn(H2O)m В) CnH2n-2 | НАЗВАНИЕ ВЕЩЕСТВА 1) изопрен 2) 2,3-диметилбутан 3) диметиловый эфир 4) глюкоза |
341
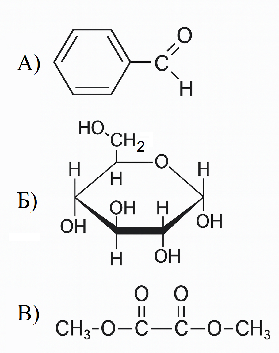
Установите соответствие между формулой вещества и классом / группой органических соединений, к которому(-ой) оно принадлежит: к каждой позиции, обозначенной буквой, подберите соответствующую позицию, обозначенную цифрой.
| ФОРМУЛА ВЕЩЕСТВА
| КЛАСС / ГРУППА ОРГАНИЧЕСКИХ СОЕДИНЕНИЙ 1) углеводы 2) альдегиды 3) карбоновые кислоты 4) сложные эфиры |
214
Установите соответствие между формулой вещества и классом / группой органических соединений, к которому(-ой) это вещество принадлежит: к каждой позиции, обозначенной буквой, подберите соответствующую позицию, обозначенную цифрой.
| ФОРМУЛА ВЕЩЕСТВА
| КЛАСС / ГРУППА ОРГАНИЧЕСКИХ СОЕДИНЕНИЙ 1) вторичные амины 2) первичные амины 3) аминокислоты 4) третичные амины |
311
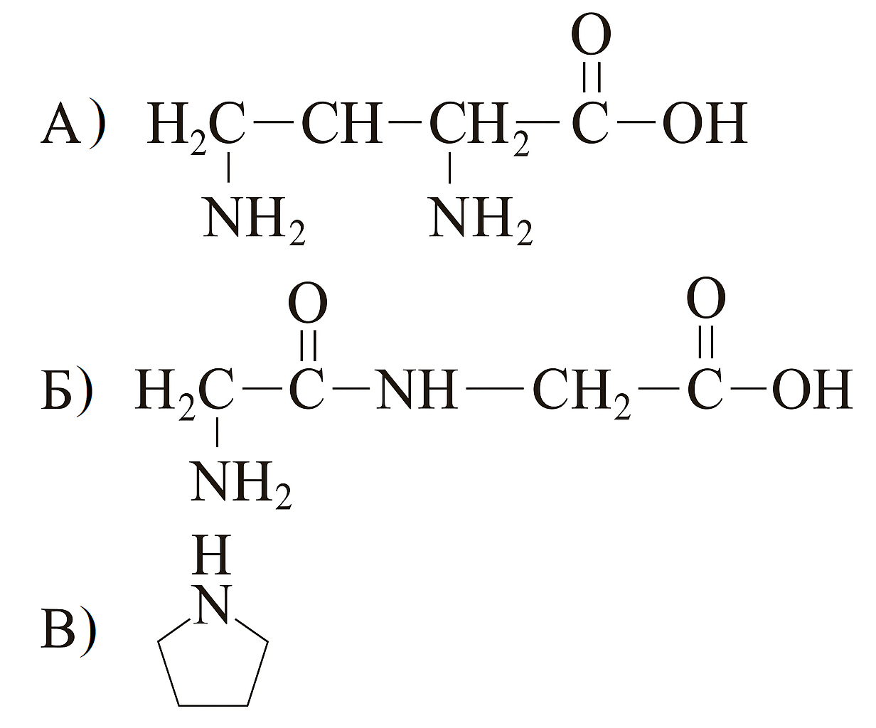
Установите соответствие между формулой вещества и классом / группой органических соединений, к которому(-ой) это вещество принадлежит: к каждой позиции, обозначенной буквой, подберите соответствующую позицию, обозначенную цифрой.
| ФОРМУЛА ВЕЩЕСТВА
| КЛАСС / ГРУППА ОРГАНИЧЕСКИХ СОЕДИНЕНИЙ 1) аминокислоты 2) карбоновые кислоты 3) дипептиды 4) амины |
134
